REGISTRO DOI: 10.69849/revistaft/ch10202512102021
Saint-Clair Asafe Araujo Neves; Luis Fernando Soeiro; Giovanna Garcia Vieira; Willy Leite Lima; Orientadora: Profª. Me. Melissa de Almeida Melo; Maciel Mangueira; Co-orientador: Prof. Pós Doc. Nilton Maciel Mangueira
RESUMO
Diabetes mellitus (DM) é uma doença crônica não transmissível. Indivíduos com DM apresentam um processo inflamatório sistêmico podendo causar aparecimento de lesões de difícil cicatrização, evoluindo em alguns casos com amputação. Alguns tratamentos já foram propostos como eficazes na cicatrização e cura das feridas, como a terapia laser de baixa intensidade, que promove arranjos morfológicos no tecido de reparação pela proliferação e diferenciação celular, e a terapia com óleo de girassol que acelera o processo de formação do tecido de granulação, e o óleo ozonizado, que remove a secreção e a matéria orgânica, facilitando o reparo tecidual. O objetivo foi comparar os efeitos entre óleo de girassol, óleo ozonizado, o laser 660 e laser 808, na re-epitelização de feridas cutâneas em modelos experimentais de ratos diabéticos e não diabéticos. Foram utilizados 60 ratos Wistar divididos em dois grandes grupos com 30 animais cada, sendo um grupo com diabetes induzido por aloxana monoidratada e o outro sem diabetes. Todos estes animais sofreram procedimento cirúrgico de lesão excisional cutânea no dorso e, em seguida, foram aleatoriamente subdivididos em cinco subgrupos de 6 animais cada: Grupo controle (sem tratamento com óleo de girassol, óleo ozonizado e laser), Grupo óleo de girassol, Grupo óleo ozonizado, Grupo laser 660 nm e Grupo laser 808 nm. A avaliação do fechamento da ferida operatória (FO) foi realizada por meio de quatro medidas de área da FO no software ImageJ. Do total de 60 ratos, 4 (6,25%) foram a óbito por complicações na indução do DM e canibalismo, os 4 ratos foram substituídos, nos demais grupos, a FO teve uma área média inicial dos grupos de 6,683 ± 1,525 cm2 e uma área média final dos grupos de 0,239 ± 0,250 cm2. Pode-se afirmar que o processo de cicatrização ocorreu a partir do 14º dia de pós-operatório (DPO), sendo o grupo laser 808nm apresentando uma área média final de 0,075 ± 0,053 cm2 o mais eficiente do que os grupos controle, óleo de girassol, óleo ozonizado e laser 660.
Palavras-chave: Cicatrização. Diabetes mellitus. Óleo de Girassol. Óleo Ozonizado; Laser 660. Laser 808.
ABSTRACT
Diabetes mellitus (DM) is a chronic non-communicable disease. Individuals with DM present a systemic inflammatory process that can cause the appearance of injuries that are difficult to heal, progressing in some cases to amputation. Some treatments have already been proposed as effective in healing and healing wounds, such as low intensity laser therapy, which promotes morphological arrangements in the repair tissue through cell proliferation and differentiation, and sunflower oil therapy, which accelerates the process of wound formation. granulation tissue, and ozonized oil, which removes secretions and organic matter, facilitating tissue repair. The objective was to compare the effects of sunflower oil, ozonized oil, laser 660 and laser 808, on the re-epithelialization of skin wounds in experimental models of diabetic and non diabetic rats. We used 60 Wistar rats divided into two large groups with 30 animals each, one group with diabetes induced by alloxan monohydrate and the other without diabetes. All these animals underwent a surgical procedure for exci skin lesions on the back and were then randomly subdivided into five subgroups of 6 animals each: Control group (without treatment with sunflower oil, ozonized oil and laser), Sunflower oil group, Group ozonized oil, 660 nm laser group and 808 nm laser group. The assessment of surgical wound (FO) closure was performed using four measurements of the FO area in ImageJ software. Of the total of 60 rats, 4 (6.25%) died due to complications in the induction of DM and cannibalism, the 4 rats were replaced, in the other groups, the FO had an initial mean area of the groups of 6.683 ± 1.525 cm2 and a final average area of the groups of 0.239 ± 0.250 cm2. It can be stated that the healing process occurred from the 14th postoperative day (POD), with the 808nm laser group presenting an average final area of 0.075 ± 0.053 cm2 being more efficient than the control groups, sunflower oil, ozonized oil, and laser 660.
Keywords: Healing. Diabetes mellitus. Sunflower oil. Ozonated Oil; Laser 660. Laser 808.
1 INTRODUÇÃO
Diabetes mellitus (DM) é uma doença crônica não transmissível (DCNT), que tem como característica um déficit metabólico na produção de insulina ou na sua ação ou em ambos os mecanismos, levando a um quadro de hiperglicemia persistente. O DM é dividido em DM Tipo 1 (DMT1), DM Tipo 2 (DMT2), DM Gestacional (DMG) (SBD, 2020).
O DM representa um grande desafio de saúde pública devido a sua alta prevalência, De acordo com a Sociedade Brasileira de Diabetes existem atualmente, no Brasil, mais de 13 milhões de pessoas vivendo com a doença, o que representa 6,9% da população nacional (SBD, 2020).
A hiperglicemia descontrolada leva o organismo a um processo inflamatório sistêmico, contribuindo para o aparecimento de complicações como neuropatias e vasculopatias responsáveis pelo aparecimento de feridas em membros inferiores e pé, o aparecimento dessas lesões são de difícil cicatrização, evoluindo em muitos casos com amputação (RAZAQUE et al., 2022).
A incidência de pé diabético tem aumentado devido à prevalência mundial de DM e ao prolongamento da expectativa de vida dos pacientes com a doença. A prevalência global de úlceras de pé diabético foi de 6,3%, sendo maior entre os homens do que entre as mulheres, é maior em pacientes com DM2 do que nos com Diabetes Mellitus Tipo 1 (ZHANG, 2017).
As feridas crônicas, possuem altas taxas de incidência, com isso geram uma diminuição na qualidade de vida dos pacientes e causam impactos socioeconômicos nos serviços de saúde. As úlceras venosas crônicas são as mais frequentes e mais de 70% delas não cicatrizam, levando sempre a reincidência. As arteriais, por sua vez, são as principais causas de amputação (OLIVEIRA et al., 2019).
Vários tratamentos foram propostos como eficazes na cicatrização e curas das feridas decorrentes da DM, como óleo de girassol, acelerando o processo de formação do tecido de granulação, através dos ácidos graxos essenciais com suas propriedades emolientes, óleo ozonizado, que remove a secreção e a matéria orgânica, facilitando o processo de reparo tecidual e a terapia de laser de baixa intensidade (TLBI), que promove arranjos morfológicos no tecido de reparação pela proliferação e diferenciação celular. (BRANDÃO, 2020; SANGUANINI,2019).
Considerando os fatos mencionados, a presente pesquisa visa verificar a eficácia dos tratamentos com óleo de girassol, óleo ozonizado e laser terapêutico de baixa intensidade na cicatrização de feridas em ratos diabéticos e não diabéticos. Além de complementar estudos já existentes sobre a temática, que futuramente auxiliará para fins acadêmicos, e de certo modo, na contribuição do bem-estar desses pacientes.
O objetivo geral deste estudo foi verificar os efeitos do óleo de girassol, óleo ozonizado, laser 660 e laser 808 no tratamento de feridas de ratos diabéticos e não diabéticos e, quanto aos objetivos específicos: Comparar os efeitos do laser de 660 nm com o de 808 nm no processo de cicatrização de feridas cutâneas em ratos diabéticos e não diabéticos; Comparar do óleo ozonizado e com o AGE com os grupos laser 660nm e laser 808 nm no processo de cicatrização de feridas cutâneas em ratos diabéticos e não diabéticos; Analisar o tecido cicatricial das feridas cutâneas dos ratos diabéticos e não diabéticos pós-tratamento por meio de técnica macroscópica
Este trabalho encontra-se dividido nas respectivas seções: Introdução, Referencial teórico: (abordando assuntos relacionados a diabetes mellitus, reparo tecidual, recursos terapêuticos: óleo de girassol (AGE), óleo ozonizado, terapia laser de baixa intensidade (TLBI)), seguido de metodologia, resultados e discussões finalizando com a conclusão.
Sua justificativa se baseia nos resultados divergentes encontrados na literatura em que se diz respeito a tratamento da cicatrização de feridas em diabéticos, e na necessidade de compreender os efeitos dos diferentes modelos de tratamento proposto neste estudo experimental, para tornar a aplicabilidade da modalidade mais eficaz cientificamente e confiável nós seres humanos.
O interesse por entender a ação de agentes químicos e físicos no tratamento de lesões cutâneas, se desenvolveu através da oportunidade de participação na iniciação científica voluntária, participando da pesquisa de doutorado do professor Willy Leite Lima, preceptor do estágio supervisionado, o intenso e árduo trabalho na experimentação junto com as leituras referente a temática, intensificou o interesse pela pesquisa e produção deste trabalho.
2 REFERENCIAL TEÓRICO
2.1 Diabetes Mellitus
O Diabetes Mellitus é caracterizado como um distúrbio sistêmico metabólico, ocasionado pela produção insuficiente ou não produção de insulina, levando a um quadro de hiperglicemia persistente (RODACKI et al., 2022).
O DM faz parte das Doenças Crônicas Não Transmissíveis (DCNT) que representam 38 milhões de casos de óbitos por ano no mundo, e, desses casos, mais de 14 milhões de mortes ocorrem entre as idades de 30 a 70 anos, sendo 85% destas em países em desenvolvimento. No Brasil, as DCNT têm igual importância, destacando-se as doenças do aparelho circulatório (31%), neoplasias (17%), doenças respiratórias crônicas (6%) e DM (6%) (OLIVEIRA et al., 2019).
O DM é classificado em DM tipo1, DM tipo 2 e DMG. O DM1 é mais comum em crianças e adolescentes, de origem congênita muitas vezes. Apresenta deficiência grave de insulina devido a destruição das células ß, associada à autoimunidade. A apresentação clínica é abrupta, com propensão à cetose e cetoacidose, com necessidade de insulinoterapia plena desde o diagnóstico ou após curto período (SBD, 2020).
O DM2 é o tipo mais comum, associado aos fatores de obesidade e envelhecimento. Tem início insidioso e é caracterizado por resistência à insulina e deficiência parcial de secreção de insulina pelas células pancreáticas, além de alterações na secreção de incretinas. Apresenta frequentemente características clínicas associadas à resistência à insulina, como acantose nigricans e hipertrigliceridemia. O diabetes mellitus gestacional (DMG) é definido como intolerância à glicose de grau variável com início ou primeiro reconhecimento durante a gravidez (SBD, 2020; ZAJDENVERG et al., 2022).
O processo inflamatório interno do organismo de forma exacerbada e prolongada presente em pacientes diabéticos favorece para que a cicatrização seja falha ou mais lenta, tornando o processo crônico e pouco resolutivo, ocasionando a ulceração das lesões (GUIMARÃES et al., 2018; GOIS et al., 2021).
As consequências mais graves nesses casos é a amputação parcial ou total de um dos membros, ou ainda o aparecimento de feridas de difícil cicatrização, sendo que a causa mais comum para o aparecimento de lesões é a perda da sensibilidade cutânea resultante da neuropatia diabética. A intervenção precoce e adequada nas feridas de pacientes diabéticos colabora de forma crucial para evitar complicações locais mais graves (SBD, 2020).
O pé diabético tem aumentado devido à prevalência mundial de DM e ao prolongamento da expectativa de vida dos pacientes com a doença. A prevalência global de úlceras de pé diabético foi de 6,3%, sendo maior entre os homens do que entre as mulheres, é maior em pacientes com DM2 do que nos com Diabetes Mellitus Tipo 1 (ZHANG, 2017) abaixo podemos ver a figura 1 representando a complicação do pé diabético.
Figura 1 – Pé diabético observado na planta do pé.

Fonte: Disponível em: https://static.tuasaude.com/media/article/ky/kq/sintomas-e tratamento-para-pe-diabetico_59303_l.jpg.
De acordo com a OMS o Diabetes Mellitus é responsável por 70% das amputações dos membros inferiores. Estima-se que 40% a 45% de todos as pessoas com amputação de membros inferiores sejam portadores de DM (SBD, 2020). O número de amputações em diabéticos se mostra elevado, essas amputações iniciam com pequenas lesões, que quando não tratadas de forma precoce, levam a um processo de necrose, isso porque a DM interfere na circulação sanguínea gerando um estreitamento das artérias causando diminuição no índice de oxigenação e nutrição dos tecidos alterando a sensibilidade do tecido, aumentando a chance do surgimento de pequenos ferimentos que podem ser potenciais para evolução de casos mais graves como a perca do membro, como mostra a figura 2 entretanto as pequenas lesões iniciais podem ser prevenidas ou tratadas corretamente, evitando assim a complicação da amputação. (SBACV, 2023)
Figura 2– Amputação trans tibial devido a complicação de DM.

Fonte: Disponível em: https://www.jornalmedico.pt/atualidade/34302-diabetes-10-mil-amputacoes em-sete-anos.html.
2.2 Reparo Tecidual
O Reparo tecidual é a capacidade que o organismo possui de restaurar o tecido lesionado ao seu estado original ou próximo do original, recuperando sua integridade anatômica e funcional do tecido (EMING; WYNN; MARTIN, 2017).
A reparação tecidual é um evento biológico onde o organismo busca regenerar tecidos danificados, restaurando assim integridade funcional e anatômica. Esse processo é influenciado por fatores como as características do agente nocivo, extensão do dano tecidual e propriedades do tecido envolvido. Por exemplo, pequenas feridas tendem a regenerar; no entanto, feridas grandes geralmente envolvem camadas mais profundas de tecido e o mecanismo de reparo é mais complexo (BRITO, 2022).
A reparação tecidual pode ser por regeneração ou cicatrização, a depender de fatores como: tecido envolvido, tipo de lesão tecidual, extensão da lesão, agente causador, cronicidade da lesão. A regeneração ocorre quando geralmente as feridas são de pequena gravidade; já a cicatrização do tecido acometido acontece quando há um comprometimento das camadas mais profundas do tecido, representadas por perdas significativas de tecidos (SANGUANINI, 2019).
O processo de cicatrização, envolve a recuperação das estruturas lesionadas com a proliferação celular em conjunto com a deposição de proteínas da matriz celular (colágeno), responsáveis pela formação da cicatriz, todo esse processo é mediado por complexas interações entre eventos celulares e bioquímicos (GOIS et al., 2021).
É necessária uma resposta pró-inflamatória tecidual para que haja a homeostase, a fim de controlar a perda de sangue e a invasão de micróbios na área ferida, sendo sobreposta por uma fase inflamatória, na qual os neutrófilos das células pró-inflamatórias se regulam, seguidos por macrófagos que limpam os detritos e patógenos junto com fatores de crescimento e outras citocinas e células. A fase proliferativa sucede à fase inflamatória na qual novo tecido, novos vasos sanguíneos (angiogênese) e construção da matriz são iniciados para preencher a área da ferida (BALBINO, 2005). Abaixo observa-se a figura 3, mostrando as fases de reparo tecidual.
Figura 3 – Fases de reparo tecidual.

Fonte: Disponível em: https://lapefe.paginas.ufsc.br/files/2021/04/Picture1-27- 768×346.png.
A fase de remodelação final, consequentemente, aumenta a resistência à tração da matriz extracelular e reduz o suprimento de sangue para a área danificada (PATEL et al., 2019). No caso da DM, o processo de cicatrização não ocorre de maneira normal devido, principalmente, à diminuição da circulação sanguínea, assim como redução da oxigenação que ocorre como complicações vasculares na DM (DE MEDEIROS et al., 2017).
Nestes casos, o processo de cicatrização segue as fases normais da cicatrização, contudo, acontece de forma lentificado com dificuldades na reparação de feridas devido a macro e micro angiopatia, caracterizada pela incapacidade das artérias e arteríolas em desempenhar suas funções na regulação do tônus vascular, em resposta a um estímulo apropriado, leva a um microambiente isquêmico além da neuropatia (LIMA, 2013).
São observadas falhas em todas as fases do reparo tecidual em níveis celulares e moleculares, sendo as mais importantes ocorrendo nos estágios iniciais do reparo, ocasionando a acentuação e persistência da inflamação, redução da proliferação vascular e diminuição dos elementos celulares, tais como leucócitos, macrófagos e fibroblastos. Com isso, há uma baixa síntese de colágeno, o que pode levar a uma cicatrização danificada, além de contribuírem para aumentar os riscos de infecções no paciente diabético (SUZUKI; MELLO; BALAN, 2012).
A cicatrização é dividida por dois tipos, a de primeira intenção acontece quando o ferimento tem margens distintas em que o espaço incisional é estreito. Melhor exemplo é a cicatrização de uma incisão cirúrgica limpa e não infectada, como foi o caso da experimentação. Esse processo segue as etapas cronológicas descritas a seguir (UFAC, 2017)
Na primeira etapa, que ocorre em 24 horas, os neutrófilos aparecem nas margens da ferida, movendo-se em direção ao coágulo de fibrina e células sanguíneas. Na segunda etapa, entre 24 a 48 horas, as células epiteliais movem se para fechar a ferida. A partir do terceiro dia (terceira etapa) começa a formação do tecido de granulação com o surgimento de macrófagos no local. Já no quinto dia (quarta etapa), que ocorre o ponto máximo da neovascularização, o colágeno fica mais abundante, a epiderme recupera a espessura normal e ocorre a diferenciação das células epidérmicas. Na segunda semana (quinta etapa), ocorre aumento do colágeno, proliferação de fibroblastos e regressão dos vasos. No final do primeiro mês (sexta etapa) a cicatriz se encontra coberta por pele intacta, porém não ocorre a regeneração dos anexos dérmicos (UFAC, 2017).
Já a cicatrização de segunda intenção ocorre quando existe uma grande perda de células e tecidos, deixando as margens separadas. Esse processo de reparação é mais demorado, pois a regeneração das células parenquimatosas não pode restaurar totalmente a arquitetura original. Além disso, o processo inflamatório é mais intenso devido fato que o coágulo formado é maior em comparação a feridas com margens opostas. Porém, o que mais se diferencia no processo de cicatrização de feridas com margens separadas é o fenômeno de contração da ferida. Esse acontecimento é possível devido à ação de uma rede de fibroblastos contendo actina na margem da ferida. (UFAC,2017). Pode-se observar na figura 4 o processo de cicatrização de primeira e segunda intenção.
Figura 4 – Cicatrização de primeira e segunda intenção.

Fonte: Disponível em: https://www.indagacao.com.br/2020/02/enade-2019-cicatrizacao-e-uma sequencia-corrdenada-de-eventos-celulares-e-moleculares.html#google_vignette.
2.3 Recursos Terapêuticos
2.3.1 Óleo de Girassol
Dentre as diversas substâncias ativas, pode-se destacar o girassol (Helianthus annuus L). Trata-se de uma planta oleaginosa de grande importância devido à excelente qualidade do óleo extraído de suas sementes que pode ser utilizado em diversas formas, tais como fonte de alimento, combustível e matéria-prima em cosméticos (CORREIA et al., 2014). O óleo de girassol é rico em ácidos graxos essenciais, principalmente ácido linoleico e oleico, que exercem importante papel como mediador pró-inflamatório, a fim de promover um aumento considerável da migração de leucócitos e macrófagos para a região lesada (ASSIS et al., 2020).
O ácido linoléico é classificado como um ácido graxo essencial, que apresenta na sua composição química 18 átomos de carbono, sendo um precursor do ácido araquidônico, que contém 20 átomos de carbono. Este último ácido participa da síntese de mediadores biologicamente ativos, como prostaglandinas, tromboxanos e leucotrienos. Essas substâncias atuam como mediadores inflamatórios, estimulando a vascularização local, a migração celular, a proliferação e a diferenciação de fibroblastos, juntamente com a síntese da matriz extracelular (MEC) que atua diretamente na cicatrização. A presença de ácido linoléico torna o óleo vegetal mais suscetível a processos de oxidação lipídica. Este ponto favorece a formação de substâncias, tais como, por exemplo, peróxidos, hidroperóxidos e radicais livres, que causam deterioração, além da genotoxicidade causada pela reação entre essas substâncias e moléculas de DNA (MORAIS et al., 2013).
Estudo utilizando óleo de girassol e TLBI comparando a eficácia de ambos como estimulante de cicatrização em enxertos cutâneos em coelhos, concluiu que o óleo de girassol pode predispor a maceração tecidual, interferindo na neoangiogênese e sendo inferior a TLBI para este fim. Já a TLBI mostrou-se eficiente na estimulação da cicatrização destes enxertos (REIS FILHO, 2019).
2.3.2 Óleo Ozonizado
A ozonioterapia é uma terapia bio-oxidativa baseada na utilização da mistura gasosa de oxigênio e ozônio medicinal, e entre seus efeitos terapêuticos destacam se a melhora do metabolismo e da oxigenação dos tecidos periféricos (PIRES et al., 2021)
A ozonioterapia baseia-se no uso da molécula de O3 como uma terapia que possui boa eficiência e viabilidade econômica. sendo empregada na América Latina e Estados Unidos como uma alternativa eficiente e de baixo custo, auxiliando no tratamento de feridas de difícil cicatrização, principalmente em pacientes diabéticos e na desinfecção de feridas contaminadas (MARCHESINI; RIBEIRO, 2020).
Com avanços recentes nas áreas de bioquímica, imunologia e microbiologia, esse recurso vem sendo observado como uma importante alternativa terapêutica em diversas condições clínicas, como as doenças vasculares periféricas, o tratamento de artrose e o tratamento de feridas de difícil cicatrização (MOTA et al., 2020; FRANCO et al., 2019).
As aplicações locais do O3 podem ser realizadas tanto com a mistura gasosa, como com água e óleo ozonizado. Na aplicação tópica cutânea, pode ser utilizado gás, que deve ser mantido na área a ser tratada com o auxílio de um saco (bagging) ou recipiente (cupping) resistente ao ozônio, de forma a evitar a inalação dele. Irrigação ou utilização de gazes embebidas com água ozonizada e aplicação de óleo ozonizado também podem ser realizadas, com bons resultados (BORGES et al., 2017).
Os óleos de girassol, gergelim e oliva são os mais comumente utilizados para serem ozonizados. A ozonização de óleos produz peróxidos e a quantificação destes indica o grau de ozonização. Não há ainda um protocolo padrão para a ozonização de óleos, porém sabe-se que ozonização prolongadas, de dois dias, produz a solidificação do óleo. Quando refrigerado, o produto se mantém estável por até dois anos, sendo necessário diluí-lo com óleo puro (SANGUININI, 2019).
O óleo ozonizado é produzido por meio do borbulhamento de uma mistura de ozônio-oxigênio em óleo vegetal à temperatura ambiente até que se solidifique. É utilizado no tratamento de queimaduras, feridas traumáticas e infecções locais, lesões de pele. É aplicado também no tratamento de feridas crônicas como pé diabético, úlceras por pressão, úlceras arteriais ou úlceras venosas do membro inferior (ANDRADE, 2019).
O óleo ozonizado possui componentes ativos resultantes da ozonização dos hidroperóxidos e outros produtos da peroxidação lipídica, que possuem peculiaridades germicidas e bactericidas e estão envolvidos nos processos de cicatrização e reparo tecidual. Devido a estas características, os óleos são valiosos no tratamento de úlceras, processos sépticos, infecções locais e fístulas (ZENG; LU, 2018).
Estudos clínicos demonstraram que os óleos ozonizados têm várias propriedades terapêuticas antimicrobianas, bem como a capacidade de estimular a reparação tecidual (ZENG et al., 2020).
No Brasil, a ozonioterapia é reconhecida pela Atenção Primária à Saúde (APS), trazida pela Política Nacional de Práticas Integrativas e Complementares (PNPIC). Por ser considerada um tratamento complementar promissor minimamente invasivo, de baixo custo e com boa resolutividade terapêutica tornando-se um método de abordagem do cuidado na Estratégia de Saúde da Família (ESF) (BRASIL, 2018).
2.3.3 Terapia laser de baixa intensidade (TLBI)
A Terapia a Laser de Baixa Intensidade (TLBI) é apresentada como um recurso terapêutico de baixo custo e eficiência comprovada no tratamento de úlceras, capaz de acelerar o processo de reparo em tecidos distintos por meio do emprego de fontes de luz de baixa potência, como diodos emissores de luz (Light Emitting Diode – LED) (CARVALHO et al., 2015).
Os lasers (Light Amplification by Stimulated Emission of Radiation) são classificados em alta e baixa potência. Os primeiros geralmente aplicados para a remoção, corte e coagulação de tecidos, enquanto os Lasers de baixa potência são mais comumente aplicados em processos de reparação tecidual, tais como traumatismos musculares, articulares, nervosos, ósseos e cutâneos (CAVALCANTI et al., 2011).
O laser em tecidos epiteliais possui a capacidade de proliferação, migração e adesão de células e ativa os fatores de crescimento. Entretanto, no tecido conjuntivo aumenta a síntese de colágeno por fibroblastos, além de aumentar a vascularização ao promover angiogênese (SILVA, 2010).
Os efeitos do LTBI podem ser observados no comportamento dos linfócitos aumentando sua proliferação e ativação; sobre os macrófagos, aumentando a fagocitose; elevando a secreção de fatores de crescimento de fibroblasto e intensificando a reabsorção tanto de fibrina quanto de colágeno (ANDRADE; CLARK; FERREIRA, 2014). Além disso, contribuem para elevar a motilidade de células epiteliais, a quantidade de tecido de granulação e, podem diminuir a síntese de mediadores inflamatórios (EISSA; SALIH, 2017).
As feridas tratadas em um período de 14 dias em ratos, objetivando examinar o efeito da TLBI na cicatrização destas feridas, apresentaram tecido de granulação com respostas inflamatórias abundantes, predominantemente neutrófilos e linfócitos, bem como leucócitos associados a uma crosta de fibrina e proliferação de vasos sanguíneos (MEDEIROS et al., 2017). Neste mesmo estudo, o laser proporcionou uma reparação mais rápida e uma maior qualidade no tecido formado, principalmente aos 14 dias após a indução da lesão (MEDEIROS et al., 2017).
A TLBI ainda contribui para o alcance de um equilíbrio entre pró-oxidantes e antioxidantes, eventos que favorecem o processo de cicatrização (GONÇALVES et al., 2013). Concomitantemente, o laser de baixa intensidade, estimula os processos normais de cicatrização de feridas aumentando a angiogênese, a expressão de interleucina-6 (IL-6), a proliferação celular e, consequentemente, a re-epitelização, além disso, a irradiação do laser estimula a proliferação celular e a síntese de colágeno nas células de fibroblasto de diabético. Sendo então, um possível recurso terapêutico para diabéticos, proporcionando uma aceleração do processo de cicatrização de feridas (EISSA; SALIH, 2017).
A TLBI possui ação no tratamento de lesões cutâneas através dos seus efeitos analgésicos e antiflamatórios e biomodulação tecidual. A terapia de laser de baixa potência se destaca na regeneração e reparação de diferentes tipos de lesão, sendo um tratamento seguro de baixo custo, de amplo espectro e sem interações medicamentosas (OTSUKA et al., 2022)
Existem dois tipos de LASER de baixa potência: o vermelho e infravermelho. O LASER vermelho de comprimento de onda 660 Nanômetros (±10nM) que é o Laser He-Ne, indicado para regular a cicatrização e a drenagem linfática local. O LASER infravermelho com comprimento entre 808 nM(±10nM) que é o Laser AsGa alcança maiores profundidades, sendo então aplicado para efeito analgésico, processo inflamatório, reparação tecidual e disfunções neuromusculares. Além disso ele também é indicado para o controle de sintomatologia dolorosa, para o reparo neural e drenagem local sobre os linfonodos (TANTAWY, 2018).
O efeito do laser na reparação tecidual vai acontecer de acordo com a absorção da radiação e a condução dessa energia no tecido tratado, na Figura 5 representa o tamanho da onda de laser e a quantidade de absorção e condução da energia no tecido.
Figura 5 – Tamanho de onda do laser e porcentagem de absorção.

Fonte: Disponível em: https://hpvonline.com.br/wp-content/uploads/2014/07/historico-laser9.jpg.
3 METODOLOGIA
3.1 Considerações sobre os aspectos éticos
A pesquisa obedeceu às premissas do Colégio Brasileiro de Experimentação Animal (COBEA) e foi devidamente aprovada pela Comissão de Ética no Uso de Animais (CEUA/UFMA), conforme processo no 23115.013312/2019-18 (Anexo I).
Todos os cuidados devidos para evitar o sofrimento do animal, desde sua aclimatação na sala, com ração e água livre, até cuidados especiais no pós operatório imediato com administração de analgésico diluído em água.
Para a indução do diabetes: os animais foram avaliados e acompanhados pelo médico veterinário, diariamente. Foram observados: peso corporal, aparência física, comportamento não provocado, resposta a estímulos externos e sinais clínicos, com o intuito de garantir que nenhum deles apresentasse sofrimento desnecessário. Caso os animais apresentassem algum dos sinais clínicos acima mencionados e/ou hipoglicemia severa e persistente (≤ 50 mg/dL), caquexia, dificuldades de locomoção, letargia, dificuldades de respiração ou de se alimentar, estes seriam avaliados pelo médico veterinário responsável pelos experimentos e retirados do estudo para imediata eutanásia.
Para o procedimento cirúrgico: em caso de sofrimento antes do término da cirurgia, será administrado complementação anestésica para prolongar seus efeitos durante a cirurgia e analgésico livre na água após a cirurgia.
3.2 Desenho do estudo
Pesquisa de caráter experimental realizada nos Laboratórios de Morfologia e Histologia do Departamento de Morfologia da Universidade Federal do Maranhão – UFMA (DEMOR/UFMA), no período de 01 de março de 2021 a 28 de fevereiro de 2023.
3.3 Animais e desenho experimental
Foram utilizados 60 ratos da linhagem Wistar, machos, com sete semanas de vida, fornecidos pelo Biotério Central da UFMA. O cálculo amostral dos animais da pesquisa foi realizado no software G*Power 3.1 for mac, por meio de análise de poder, com duas extremidades e tamanho do efeito |ρ| de 0,5, probabilidade de erro de 0,05 e poder de 0,95, com 1-β probabilidade de erro (CHARAN; KANTHARIA, 2013).
Os ratos foram acomodados durante todo o experimento em gaiolas, com seis animais em cada, com ração comercial e água ad libitum, em salas climatizadas com temperatura controlada (22-23°) e com ciclos de luz de 12 horas. Com o objetivo de adaptá-los às condições ambientais e alimentares, os animais foram alimentados e treinados por um período de sete dias antes do início do experimento.
3.4 Definição dos grupos
3.4.1 Cálculo amostral
O cálculo amostral dos animais da pesquisa foi realizado no software G*Power 3.1 for mac por meio de análise de poder com duas extremidades e tamanho do efeito |ρ| de 0,5, adotando probabilidade de erro de 0,05 e poder de 0,95 (1-β probabilidade de erro), acrescido 10% (cinco animais) para prováveis perdas (CHARAN; KANTHARIA, 2013), resultando em 32 ratos. Todos os 32 ratos eram da linhagem Wistar, machos, com sete semanas de vida, fornecidos pelo Biotério Central da UFMA.
3.4.2. Definição dos grupos
Os animais ficaram acomodados durante todo o experimento em gaiolas (quatro animais por gaiola), com ração comercial e água ad libitum, em salas climatizadas com temperatura controlada (22-23°) e com ciclos de luz de 12 horas. Com o objetivo de adaptarem às condições ambientais e alimentares, os animais foram alimentados e treinados por um período de sete dias antes do início do experimento.
Todos os animais foram divididos aleatoriamente em cinco grupos de seis animais cada e submetidos aos procedimentos cirúrgicos de excisão circular cutânea na região do dorso com 3 cm de diâmetro. Antes de quaisquer procedimentos terapêuticos, previstos para cada grupo, os pesquisadores realizavam limpeza simples da ferida operatória (FO) com soro fisiológico 0,9%.
Divisão dos grupos:
Os 60 animais foram divididos em dois grandes grupos com 30 animais cada: a) Grupo um (G1-G5) – animais com diabetes; b) Grupo dois (G6-G10) – animais sem diabetes induzida por meio da aloxana monoidratada (Sigma-Aldrich, Merck KGaA, Alemanha). Todos os 60 animais foram submetidos ao procedimento cirúrgico de lesão cutânea circular no dorso com o punch metálico, com 3 cm de diâmetro. Após a cirurgia, tanto os animais do G1 como do G2 foram aleatoriamente subdivididos em cinco grupos de seis animais cada e conduzidos durante o experimento da seguinte forma:
• Grupos Controle (G1_Sham e G6_Sham): animais com lesão cutânea e sem tratamento com age, ozônio, laser.
• Grupos Óleo Age (G2_Age e G7_Age): animais com lesão cutânea tratada apenas com óleo age.
• Grupos Óleo Ozonizado (G3_Ozônio e G8_Ozônio): animais com lesão cutânea tratada apenas com óleo ozonizado.
• Grupos Laser 660 nm (G4_L660 e G9_L660): animais com lesão cutânea tratada apenas com a terapia laser de baixa intensidade com 660 nm (vermelho).
• Grupos laser 808 nm (G5_L808 e G10_L808): animais com lesão cutânea tratada apenas com a terapia laser de baixa intensidade com 808 nm (infravermelho).
3.5 Indução do diabetes em modelo experimental
Após jejum de 12 horas, todos os animais dos três grupos passaram pela indução medicamentosa do diabetes por meio da administração de uma única dose de aloxana monoidratada, (150 mg/kg preparada em solução salina 0,9%; i.p; Sigma-Aldrich, EUA) conservada no gelo para evitar o processo de oxidação (LENZEN, 2008). Para prevenir a hipoglicemia fatal resultante da liberação rebote de insulina, foi adicionada nas mamadeiras uma solução de glicose 10% imediatamente após a indução, que foi mantida por um período de 12 horas. A alimentação foi reintroduzida uma hora após a indução.
Após 72 h da indução do diabetes, a glicemia dos animais foi aferida em amostras de sangue periférico coletadas por seção da cauda e analisadas em glicosímetro Accu-chek Active® (Roche), sendo classificados como diabéticos aqueles animais que apresentaram índices glicêmicos acima de 200 mg/dL (TUHIN et al., 2017).
3.6 Lesão Excisional
Os animais foram anestesiados com agulha de injeção subcutânea (25 x 5 mm), pela via intraperitoneal (IP) e de acordo com o protocolo modificado do Instituto de Ciências Biomédicas/Universidade de São Paulo (ICB/USP) (SEABRA; POMPEU; VALENTI, 2014). Posteriormente, foi administrado a associação de quetamina 10% (90mg/Kg) com xilazina 2% (10mg/kg) na dose de 0,1mL/100g de peso corporal por via IP.
A contenção do animal foi realizada pelo dorso e a anestesia foi injetada na cavidade peritoneal, entre os órgãos abdominais, na metade posterior do abdome. A indução anestésica foi confirmada por meio do reflexo da cauda e da córnea, bem como por mudanças nas frequências cardíacas e respiratórias. Em seguida, foi realizada depilação da face do dorso do animal numa área circular de ≅ 7 cm2 como mostra na figura 6 e, após antissepsia do campo operatório, posicionado em decúbito dorsal coberto por um campo fenestrado estéril.
Em sequência, foi realizada uma ferida excisional circular padronizada em três centímetros de diâmetro no dorso do animal (Figura 7 e Figura 8) por meio de um punch metálico posicionado perpendicularmente sobre o dorso, realizando fricção contra a pele até a exposição da camada muscular penetração de ≈ 1 mm – limitada mecanicamente pelo equipamento (SÉRVIO et al., 2011, PATIL; KULKARNI, 1984). Após os procedimentos cirúrgicos, foram colocados seis animais por gaiola, em repouso, e com água contendo analgésico (dipirona sódica, 150 ml/Kg) ad libitum.
Figura 6 – Depilação da face do dorso do rato.

Fonte: Autor, (2023).
Figura 7 – Ilustração do modelo de lesão excisional no dorso do animal, com demonstração da área circular e do diâmetro.

Fonte: Autor, (2023).
Figura 8 – Cirurgia da lesão excisional com campo fenestrado estéril

Fonte: Autor, (2023).
3.7 Tratamento com ácidos graxos essenciais (AGE)
O tratamento com AGE (Nutriex, Aparecida de Goiânia – Goiás, Brasil, 2022) foi realizado diariamente após passados 24 horas da indução da lesão cutânea. Foi usado óleo AGE comercial composto de triglicerídes cáprico caprílico, ácido láurido, palmitato de retinila (vitamina A), acetato de tocoferol (vitamina E), BHT – Butil Hidroxi Tolueno, lecitina de soja, óleo de girassol, óleo de soja. Os pesquisadores aplicaram o óleo AGE por via tópica, com auxílio de gazes, evitando o excesso e formação de crostas. Antes do início do tratamento era realizado limpeza diária com solução de soro fisiológico cloreto de sódio 0,9%.
3.8 Tratamento com óleo ozonizado
O tratamento com óleo ozonizado (Natulab Laboratório, S. A., Santo Antônio de Jesus – BA, Brasil, 2022) foi realizado diariamente após passados 24 horas da indução da lesão cutânea. Foi usado óleo ozonizado comercial com 800mg de peróxido de ozônio, preparado com óleo de girassol e borbulhado com gás ozônio na concentração de 80 mg/ml. Os pesquisadores aplicaram o óleo ozonizado por via tópica, com auxílio de gazes, evitando o excesso e formação de crostas. Antes do início do tratamento era realizado limpeza diária com solução de soro fisiológico cloreto de sódio 0,9%.
3.9 Terapia laser de baixa intensidade (TLBI)
Foi utilizado um equipamento laser/led TF Premier Plus (MMO Optics, São Carlos, SP, Brasil), com dois aplicadores lasers, sendo um no infravermelho (808 nm ± 10 nm de GaAlAs e potência de 150 mW) e outro no vermelho (660 nm ± 10 nm de InGaAlP e potência de 100 mW) representado na Figura 9.
A TLBI foi realizada diariamente após transcorridas 24 horas da indução da lesão cutânea, com o animal contido manualmente e o pesquisador fez a irradiação do laser com a caneta aplicada perpendicularmente sobre a área da lesão cutânea em dois pontos distintos distante entre si ≅ 1 cm (Figura 10), com um tempo de 30 segundos em cada ponto. Ambos os lasers foram ajustados com a mesma potência de 100 mW para irradiar com densidade de energia igual a 133 J.cm-2, sendo o feixe de saída do laser de 0,03 cm2. Antes do início do tratamento era realizado limpeza diária com solução de soro fisiológico cloreto de sódio 0,9%.
Figura 9 – Laser/Led TF Premier Plus (MMO Optics, São Carlos, SP, Brasil).

Fonte: Disponível em: https://mmo.com.br/odontologia-en/.
Figura 10 – Modelo de aplicação da irradiação laser de baixa intensidade.

Fonte: Autor, (2023).
3.10 Captura de imagens fotográficas
A evolução macroscópica da retração e da reepitelização das lesões foi acompanhada por medições e fotografias. As medidas foram realizadas com o auxílio de um papel celofane e uma caneta permanente no dia da lesão (D0) e nos dias 1, 3, 5, 7, 9, 11, 13 e 15 dias após a lesão. Os desenhos das lesões foram digitalizados e levados para um software de análise de imagens (Image J) onde foram obtidas as áreas em cm2. Depois as áreas foram transformadas em porcentagem de área inicial e porcentagem de área re-epitelizada. Para analisar de forma macroscópica o processo cicatricial foi elaborado uma tabela de avaliação diária contendo 3 fotos de cada rato por dia, para assim realizar a média da ferida do dia, os ratos foram analisados sistematicamente e fotografados, para ser verificado como o tratamento de cada grupo interveria na cicatrização no processo inflamatório, proliferativo e remodelamento
3.11 Eutanásia e descarte do material biológico
A eutanásia ocorreu no 15o dia, 24 horas após o último dia de tratamento, em ambiente silencioso, realizado por equipe treinada, de forma individual e isolada dos demais animais. Os animais foram anestesiados para remoção do tecido cutâneo e, com o animal ainda anestesiado, foi aplicado uma sobredose de 0,2 mL/100g da associação de quetamina 10% (90 mg/kg) com xilazina 2% (10 mg/kg) intraperitoneal.
A confirmação da morte do animal foi dada pela observação dos sinais de apneia, assistolia, palidez das mucosas e ausência de reflexo da córnea. As carcaças foram colocadas em saco plástico branco, devidamente identificado e congelado em freezer até serem entregues para posterior incineração pela empresa de coleta seletiva de resíduos biológicos da unidade.
No dia do sacrifício (15º dias após a lesão), os animais foram pesados, a glicemia foi verificada em glicosímetro Accu-chek Active® (Roche) e a área da lesão junto com a pele sã adjacente foi coletada. As amostras foram fixadas em formol 4% pH 7,2 (48h) e processadas histologicamente até a inclusão em parafina ou congeladas em nitrogênio líquido e armazenadas à -20ºC.
3.12 Infraestrutura disponível
No desenvolvimento desta pesquisa estão sendo utilizados os Laboratórios de Morfologia e de Histologia do Departamento de Morfologia e os Laboratórios de Microscopia de Força Atômica e de Espectroscopia Vibracional e Impedância (LEVI) do Programa de Pós-Graduação em Física, ambos da Universidade Federal do Maranhão (UFMA) e devidamente equipados para o desenvolvimento da pesquisa. Os procedimentos cirúrgicos e armazenamento dos animais são feitos no Laboratório do Departamento de Morfologia, serão em sala climatizada, espaço exclusivo para o desenvolvimento dos procedimentos de lesão do tecido cutâneo, além da disponibilização de instrumentais cirúrgicos e meios para esterilização dos materiais utilizados.
A análise histopatológica e imuno-histoquímica das lesões serão realizados nos Laboratórios de Microscopia e Imunopatologia, localizados na Disciplina de Patologia Geral da Faculdade de Ciências Médicas da Universidade do Estado do Rio de Janeiro (UERJ), que possui toda infraestrutura para a realização dessas etapas do projeto.
3.13 Análise Estatística
Todos os dados coletados neste trabalho foram processados e analisados por meio do software SPSS e pelo GraphPrism versão 6.1.
Os dados foram processados e analisados no software de estatística Statistical Package for the Social Sciences (SPSS) 28.0.1 (International Business Machine – IMB, Armonk, NY, 2023). Inicialmente foram calculadas as respectivas áreas das lesões com base em figura geométrica elíptica. Posteriormente foi realizada análise estatística descritiva (média e desvio padrão) e análises de inferências analíticas para comparação de médias entre os grupos por meio do teste de análise de variância (ANOVA), one-way, seguida do pós-teste de Tukey. Para a comparação das médias entre os grupos com e sem diabetes mellitus foi aplicado o teste t de Stundant, com objetivo de verificar diferença entre eles. Foi adotado como hipótese de nulidade p < 0.05.
4 RESULTADOS E DISCUSSÕES
No presente estudo, foi analisado a ação terapêutica do óleo de girassol, óleo ozonizado, do laser 660 e laser 808, na re-epitelização de feridas cutâneas, sendo utilizado ratos como modelos experimentais, dividido entre ratos diabéticos Grupos G1 a G5. G1: Sham_comDM; G2: AGE_comDM; G3: OZO_comDM; G4: L660_comDM; G5: L808_comDM. Sendo os grupos não diabéticos G6 a G10. G6: Sham_semDM; G7: AGE_semDM; G8: OZON_semDM; G9: L660_semDM; G10: L808_semDM.
Ressalta-se que cada grupo continha 6 ratos, em que todas as condições e peculiaridades do experimento foram controladas em ensaios laboratoriais, permitindo analisar comparativamente a cicatrização de lesões cutâneas. Foi realizado a captura das fotografias da área da ferida nos dias 0, 1, 3, 5, 7, 9, 11,13 e 15 de pós-operatório (DPO), para analisar a média da área da ferida no decorrer dos dias de tratamento como mostra a Tabela 1 com animais diabéticos e Tabela 2 com animais sem diabetes.
Tabela 1 – Média e Desvio padrão da área da ferida Grupos com Diabetes G1-G5.


FONTE: Autor, (2023).
Tabela 2 – Média e Desvio padrão da área da ferida Grupos sem Diabetes G6-G10.


FONTE: Autor, (2023).
Para discussão foi escolhido o período de 1, 7, 9, 15 dias após a lesão excisional, para análise das imagens através das medidas que foram feitas pelo software Image j, por meio das medidas de maior diâmetro, menor diâmetro, área e perímetro da ferida.
Sobreleva que a deficiência de insulina determinada no organismo, o surgimento da síndrome do diabetes mellitus, um estado patológico representado pela hiperglicemia, polidipsia, polifagia e poliuria, respectivamente, que desencadeiam complicações metabólicas evidenciadas no organismo privado de insulina, que induz a alta dependência de vários órgãos ao hormônio (CARVALHO, 2010).
Verifica-se que tanto o estudo de Flor; Campos (2017) como o de Ferreira et al. (2011) possuem entendimento harmônico no que concerne afirmar, que a diabetes é uma doença grave, com complexa patogênese das modificações no âmbito fisiológico e metabólico, decorrente da hiperglicemia crônica, a qual, agrega procedimentos fisiológicos, biológicos e bioquímicos.
Após anotado as informações relevantes e os dados oriundos dos experimentos com aplicação de óleo de girassol, óleo ozonizado e laser 660 e 808 em experimentação in vitro, analisou-se a média e o desvio padrão da área de cicatrização da lesão excisional. Foi verificado que no 1 DPO não havia diferença entre a área de lesão entre os grupos, através do teste de ANOVA que mostrou um p>0,05, demonstrando a homogeneidade entre os grupos. Já no 7, 9 e 15 DPO o teste de ANOVA mostrou um p < 0,001, representando que houve significância entre os tratamentos.
Percebeu-se na análise da média e desvio padrão da área entre os dias 1, 7, 9 e 15 DPO que o grupo controle dos ratos com diabetes G1Sham_comDM: alcançou 3,39 ± 1,44 cm2; já no grupo contendo óleo de girassol aplicado em ratos com diabetes G2AGE_comDM: alcançou uma média de 3,46 ± 1,52 cm2; no grupo contendo óleo ozonizado aplicado em ratos com diabetes G3OZON_comDM alcançou média de 3,37 ± 1,80 cm2; no grupo contendo laser 660 aplicado em ratos com diabetes G4L660 alcançou média de 3,03 ± 1,48 cm2; e por fim, no grupo contendo laser 808 aplicado em ratos com diabetes, G5L808_comDM assumiu uma média de 2,42 ± 2,08 cm2 como demonstrado no gráfico 1. Mostrando que houve diferença entre os tratamentos na área de cicatrização da ferida, podendo observar que o Grupo Laser 808 foi o que obteve menor média da área da lesão excisional demonstrando um melhor tratamento na reepitelização, já o Grupo AGE foi o que obteve maior média da área da ferida operatória indicado um tratamento inferior ao grupo controle que não obteve tratamento (Gráfico 1).
Nesse mesmo gráfico foi realizado o pós-teste de Turkey, observando no 7º DPO maior diferença entre os dois grupos que realizaram a terapêutica Laser com os grupos controle, AGE e Ozônio (Gráfico 1 – B). Já no 9º DPO (Gráfico 1 – C) continua se a observar diferença significativa anteriormente relatada, e iniciou uma diferença entre as médias do Grupo L660 e L808, observando assim na comparação que o grupo L808 obteve melhor recuperação cicatricial. No 15º de DPO (Gráfico 1 – D), parâmetros anteriores mantidos com menor média observadas, principalmente no grupo L808.
Gráfico 1 – Média da área de cicatrização da ferida entre os grupos com DM no 1, 7, 9, 15 DPO.

Fonte: Autor, (2023).
Percebeu-se através da análise da média da área total da lesão durante o período de 1, 7, 9, 15 DPO de avaliação que o grupo controle sem diabetes G6Sham_semDM obteve média 3,76 ± 0,96 cm2 de redução da área total; enquanto que, o grupo óleo de girassol aplicado em ratos sem diabetes alcançou média G7AGE_semDM 3,93 ± 1,32 cm2 de redução média; o grupo óleo ozonizado aplicado em ratos sem diabetes G8OZO_semDM alcançou média de 3,87 ± 1,40 cm2 de redução média; o grupo laser 660 aplicado em ratos sem diabetes G9L660_semDM alcançou uma média de 3,13 ± 1,14 cm2 de redução média; e por fim, o grupo laser 808 aplicado em ratos sem diabetes G10L808_semDM assumiu uma média de 2,81 ± 1,59 cm2 de redução média, como demonstrado no gráfico 2.
Nesse mesmo gráfico foi realizado o pós-teste de Turkey, observando no 7º DPO já foi observado diferença estatística entre os dois grupos que realizaram a terapêutica Laser com os grupos controle, AGE e Ozônio (Gráfico 2 – B), como também diferença entre os dois grupos de Lesars L660 e L808, esse resultado já foi diferente do grupo tratado com diabetes e apresentado no gráfico anterior. Já no 9º DPO (Gráfico 2 – C) continua-se obtendo diferença significativa anteriormente relatada entre os grupos controle, AGE e Ozônio e com os grupos L660 e L808, porém nesse período não observa diferença significativa entre os dois grupos que foram tratados com terapia a Lasers. No 15º de DPO (Gráfico 2 – D), observa-se as diferenças relatadas no 7º DPO, porém com menores médias, neste período de análise o grupo que atingiu o pior resultado de cicatrização foi os animais tratados com óleo ozonizado, mostrado pela média da área maior.
Gráfico 2 – Média da área de cicatrização da ferida entre os grupos sem DM no 1, 7, 9, 15 DPO.

Fonte: Autor, (2023).
Outro ponto avaliado na pesquisa foi a evolução macroscópica da área total da lesão, os ratos foram submetidos a 14 dias de tratamento e no 15º dia foi realizado a eutanásia, durante os 15 dias de experimentação foram capturadas fotos no 0, 1, 3, 5, 7, 9, 11, 13, 15 DPO para após serem realizadas as medidas da área da ferida utilizando o sofware Image J, para analisar de forma macroscópica o processo cicatricial foi elaborado uma tabela de avaliação diária contendo 3 fotos de cada rato por dia, para assim realizar a média da ferida do dia, os ratos foram analisados sistematicamente e fotografados, para ser verificado como o tratamento de cada grupo interveria na cicatrização no processo inflamatório, proliferativo e remodelamento.
Contudo, com base nos dados do gráfico 3 foram comparados os tratamentos entre ratos diabéticos e não diabéticos, no 1 DPO pode-se verificar através do Teste de t de Stundent que não houve significância na área da ferida operatória no 1º DPO (p>0,05) (Gráfico 3 – A), provando a homogeneidade entre os grupos pesquisados. No 7º DPO foi encontrado diferença estatística (p<0,05) nos Grupos controle, óleo de girassol, óleo ozonizado, laser 660 e laser 808; mostrando diferencia na comparação entre os grupos com e sem diabetes mellitus, porém graficamente pelo grupo laser 808 observou-se uma menor média de área em ambos os animais com e sem diabetes (Gráfico 3 – B). No 9º DPO (Gráfico 3 – C) permaneceu a mesma análise observada no 7º DPO, exceto nos grupos tratados com o laser 660mm, pois não apresentou diferença estatística (p=0,351).
Já no 15º DPO (Gráfico 3 – D) os grupos com e sem diabetes mellitus que foram tratamentos com as terapias AGE e L808 mostraram diferença significativa (p<0,05), e os demais não apresentaram diferença estatística nesse período da pesquisa. Ainda no Gráfico 3 pode-se observar que o tratamento com laser 808 aplicados em ratos com diabetes e sem diabetes, foram o que mostraram os melhores processo de cicatrização, seguido do laser 660, observa-se ainda que visualmente as terapias realizadas nos animais com diabetes obtiveram as menores média de área em comparação com os animais sem a patologia.
Gráfico 3 – Comparação da área da ferida entre os grupos com diabetes e sem diabetes

Fonte: Autor, (2023).
Os eventos da cicatrização das feridas cutâneas são iniciados imediatamente após a lesão e divididos respectivamente em três fases, a saber: inflamação, proliferação e remodelação (EMING; MARTIN; TOMIC-CANIC, 2016).
A primeira fase da cicatrização, caracterizada como inflamação, acontece imediatamente após a lesão e ocorre a formação de um coágulo de sangue para interromper o sangramento, esta fase geralmente conclui-se após três dias. A fase de proliferação ocorre após quatro dias, sendo responsável pelo fechamento da ferida, e envolve o processo de reepitelização, com formação do tecido de granulação, angiogênese e transporte de oxigênio e nutrientes para o metabolismo celular local. Por fim, tem a fase de remodelação, que começa na terceira semana, sendo responsável pela formação da cicatriz que substitui o tecido original (CARVALHO JUNIOR et al., 2018).
Todavia, vale avultar que, alguns pacientes apresentam características ou comorbidades, como por exemplo, a isquemia, diabetes e infecções, que promovem a perpetuação do processo inflamatório, em detrimento, da fase proliferativa e de remodelação, o que culmina na propensão para a ferida crônica. Portanto, a proliferação dos patógenos altera o ambiente da ferida, fato que provoca a produção de biofilme e prolonga o processo de cicatrização (CALASANS; AMARAL; CARVALHO, 2012; KADAM et al., 2019).
O tratamento de feridas se dá por diversos fatores intrínsecos e extrínseco. O uso de ações terapêuticas é dinâmico e varia conforme a resposta da ferida. O uso da fitoterapia para o tratamento de feridas é milenar. A utilização de plantas e/ou de extratos está sendo bem documentada (SÜNTAR et al., 2012).
Barreto et al. (2014) sugerem que 90% dos óleos essenciais possuem benefício terapêuticos relevantes como antimicrobiana, anti-inflamatória, anti-oxidante, antipruriginosa, hipotensora e atividades analgésica.
Outro fator importante a ser considerado é que se espera maior presença fibras colágeno tipo I aos 14 dias, isso é indicativo de melhor evolução do processo de cicatrização, uma vez que o colágeno tipo I corresponde a forma madura do colágeno tipo III (RODRIGUES et al., 2018). Estudos apontam para a atividade do óleo ozonizado no processo de reparo de feridas dérmicas, observou-se melhor fechamento da ferida consequente melhor deposição de colágeno e maior atividade de fibroblastos após sete dias de ferida (NAKAMURA, 2020). Os estudos acima apresentados, mostram os benefícios do óleo ozonizado no processo de cicatrização, entretanto eles não tiveram dados científicos que comprovassem cientificamente a eficácia terapêutica, portanto este estudo experimental vem para elucidar qual tratamento seria mais eficaz na reparação tecidual em pacientes com diabetes e sem diabetes.
Ademais, o emprego do óleo ozonizado nesta pesquisa, não apresentou influência positiva sobre o processo de reparação da ferida cutânea dorsal em ratos, o mecanismo de ação deste composto sobre a ferida cutânea ainda não foi elucidado, no entanto, ainda observamos muito na prática clínica a utilização deste modelo de tratamento tanto com o óleo ozonizado quanto com o óleo de girassol, acredita-se que este modelo promova efeitos pró angiogênicos como foi descrito por Cabral. (2022). A necrose do retalho cutâneo se deve à reperfusão pós-isquêmica. Após injúria tecidual ocorre aumento de radicais livres de oxigênio a níveis críticos, logo após a reperfusão de sangue aos tecidos e os mecanismos antioxidantes endógenos são insuficientes para equilibrar o estresse oxidativo, o que gera lesão tecidual por peroxidação lipídica da membrana celular (BARBOSA, 2010).
De acordo com o presente estudo avaliando o efeito do óleo ozonizado em lesões cutâneas em ratos diabéticos e não diabéticos, os resultados macroscópicos demonstraram que os ratos do grupo tratado com óleo ozonizado tiveram suas lesões cicatrizadas mais lentamente quando comparado aos ratos do grupo controle e óleo de girassol, contudo, não houve diferença estatística na comparação do tamanho das lesões entre os ratos com e sem diabetes.
A presente pesquisa possibilitou verificar que as feridas em dorso de ratos submetidos ao tratamento tópico com óleo de girassol e óleo ozonizado, ao decimo quinto dia, possuíam área da ferida semelhante ou inferior ao grupo controle e em comparado o óleo de girassol e óleo ozonizado, o óleo de girassol mostrou uma área de ferida menor que a do óleo ozonizado.
A terapêutica laser dentro do estudo foi a que apresentou melhores efeitos notáveis sobre a remodelação de tecidos cicatriciais ocasionando redução da área da ferida mais cedo, o controle do processo inflamatório, aumento da fagocitose, da síntese de colágeno e da epitelização. Sobre o entendimento dos efeitos do laser podemos citar que a radiação estimula a proliferação de fibroblastos, sua modificação a mio fibroblastos, a produção de colágeno, a produção de ATP, acréscimo na atividade dos linfócitos com consequente efeito antibacteriano, e melhora na vascularização (LIMA; JUNQUEIRA, 2016).
Complementa o entendimento, quando se diz que a laserterapia de baixa potência quando aplicada sobre feridas cutâneas é capaz de promover como principais efeitos fisiológicos resolução anti-inflamatória, proliferação epitelial e de fibroblastos, síntese e deposição de colágeno, revascularização e contração da ferida. É possível afirmar ainda, que doses compreendidas entre 3-6 J/cm2 parecem ser mais eficazes e que doses acima de 10 J/cm2, estão associadas a efeitos deletérios. Os comprimentos de onda compreendidos entre 632,8 e 1000nm seguem como aqueles que apresentam resultados mais satisfatórios no processo de cicatrização tecidual (LIMA, 2016).
O efeito da terapia local com óleo de girassol e óleo ozonizado é mais demorado se comparado com a do laser em feridas, os grupos com óleo de girassol e óleo ozonizado apresentaram um maior tempo na fase de proliferação, apresentando um maior tecido de granulação que os grupos laser 660 e 808, que pode ser observada na Tabela 3 e 4.
Tabela 3 – Evolução da área total da lesão nos dias 1, 7, 9 e 15 dos grupos controle, AGE e óleo ozonizado, com e sem diabetes mellitus.


Fonte: Autor, (2023).
Tabela 4 – Evolução da área total da lesão nos dias 1, 7, 9 e 15 dos grupos de tratamento laser 660mm e laser 808mm, com e sem diabetes mellitus.


Fonte: Autor, (2023).
Agne (2009) discorre que os efeitos da radiação do laser sobre os tecidos dependem da absorção de sua energia e da transformação desta em determinados processos biológicos, uma vez que o efeito sobre a estrutura viva depende principalmente da quantidade de energia depositada e do tempo de absorção, fato que interfere na cicatrização de feridas.
Contudo nesse estudo comparativo foi visto que existe um efeito positivo da fototerapia para o tratamento de feridas crônicas, o experimento com os ratos diabéticos, visa a semelhança no tratamento de pacientes com pé diabéticos e úlceras diabéticas, os ratos diabéticos responderam positivamente à laserterapia apresentando uma cicatrização após 14 dias de tratamento, além disso foram encontrados resultados positivos do laser em feridas em ratos não diabéticos, entretanto a área da FO em ratos diabéticos foi menor que a do grupo de ratos não diabéticos, acredita-se que mostrando que outras feridas não crônicas e pacientes não diabéticos também se beneficiam da terapêutica, onde o grupo dos ratos sem diabetes apresentou a cura completa das feridas. Mostrando que laser de baixo nível é uma modalidade eficaz para facilitar a redução da ferida em pacientes que sofrem de diabetes e não diabéticos, sendo mais eficaz que os tratamentos alopáticos com por exemplo, uso de óleo de girassol e óleo ozonizado para cicatrização de feridas diabéticas (AGNE, 2009).
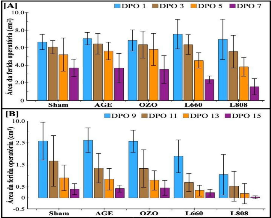
Quanto a avaliação da área total da ferida nos respectivos dias, entre o 1º e 3º DPO não foram encontradas mudanças significativas no tamanho da área da ferida, foi a partir do 3º DPO que pode ser visualizado uma menor área da ferida no Grupo Laser 808 com uma área média de 5,60 cm2, e os demais grupos apresentavam uma área média de aproximadamente 6,40 cm2, porém maiores mudanças significativas foram observadas a partir do 7º DPO em todos os grupos, prevalecendo ainda uma média de menor área de ferida no Grupo laser 808 com uma média de 1,59 cm2, seguindo depois o laser 660 com uma média de 2,41 cm2; óleo ozonizado com média de 3,57 cm2, e depois óleo de girassol com 3.71 cm2 (Gráfico 4 – A).
No 9º DPO foram encontrado as seguintes médias por grupo em ordem de menor área da ferida, laser 808 com média de 1,05 cm2; laser 660 com média de 1,89 cm2; óleo ozonizado com média de 2,57 cm2; óleo de girassol com média de 2,62 cm2; grupo controle com média de 2,58 cm2; no 9º dia de tratamento já pode ser visto que o grupo controle era superior ao grupo óleo de girassol, no 11º e 13º DPO obteve-se resultados muito próximo das médias e desvio padrão desse animais em todos os grupos de tratamento (Gráfico 4 – B).
No 15º DPO começou a encontrar a ausência das feridas, as médias por grupo em ordem de menor área da ferida, foram grupo laser 808 com média de 0,03 cm2; laser 660 com média de 0,23 cm2; grupo controle com média de 0,40 cm2; óleo de girassol com média de 0,42 cm2; óleo ozonizado com média de 0,45 cm2 (Gráfico 4 – B).
Gráfico 4 – Média da área total da lesão nos respectivos grupos de tratamento durante o 1º, 3º, 5º, 7º, 9º, 11º, 13º e 15º DPO.

Fonte: Autor, (2023).
Observando-se que a intervenção fisioterapêutica através da irradiação a laser de baixa intensidade, colabora na viabilidade e proliferação celular, e contribui no processo de aceleração do processo de cicatrização de úlceras crônicas, diminuindo o período de cicatrização completa.
Os resultados da intervenção obtidos nessa pesquisa, mostraram melhora no processo de cicatrização de feridas associadas ao DM, com aumento da síntese de colágeno, proliferação de fibroblastos, angiogênese e re-epitelização. A atuação fisioterapêutica tem influência direta na qualidade de vida e funcionalidade, em que se observou melhora significativa no tratamento de pacientes diabético, com tratamento de laserterapia, as terapias com óleo de girassol e óleo ozonizado, demonstraram resultado inferiores a laserterapia e grupo controle.
5 CONCLUSÃO
A ferida crônica em diabéticos, representa um grave problema de saúde pública este estudo permitiu observa modelos de tratamento na cicatrização de feridas em ratos diabéticos e não diabéticos. Dentre os tratamentos conclui-se que, o laser 808 foi o que melhor se apresentou nos grupos com diabetes e sem diabetes, entretanto o grupo com diabetes foi o que apresentou menor área da ferida operatória comparado ao grupo sem diabetes. Mostrando uma menor área total da ferida em 14 dias de tratamento sendo superior ao Laser 660, óleo ozonizado, óleo de girassol. O óleo ozonizado foi o tratamento que menos teve efeito no processo de reparação do tecido cutâneo, apresentou uma área da ferida no dia final do tratamento maior que o grupo controle, mostrando que o tratamento com óleo ozonizado não foi superior a placebo, grupo controle sem tratamento. Os animais tratados com óleo de girassol também apresentaram área da ferida maior em comparado com o grupo controle, sem intervenção, elucidando que o tratamento foi placebo, e não possibilitou grandes repercussões no avanço do processo cicatricial, tanto nos ratos com diabetes quanto sem diabetes.
Percebeu-se através da análise das medidas da área da ferida em relação a redução da área da ferida, que os óleos de girassol e óleo ozonizado não alteram o processo fisiológico de reparação tecidual. Além disso, o estudo in vivo possibilitou concluir que a laserterapia foi o único tratamento que apresentou resultados superiores no processo de aceleração do reparo tecidual, a partir do 3º dia de tratamento já obtive significativos resultados na análise da área total da ferida dentre os grupos tratados, e o laser 808 foi o que melhor obteve resultado. A terapia com laser mostrou-se segura no tratamento da ferida diabética, não sendo relatado nenhum efeito adverso.
O paciente diabético necessita de uma abordagem com real comprovação cientifica para cura ou cicatrização da úlcera, melhora da sua condição clínica e racionalização sobre o problema. Para maior eficácia no tratamento de feridas cutânea é necessário se respaldar-se de evidências cientificas fortes como é o caso de um estudo experimental como esse, para que assim seja feito a escolha do tratamento. A pesquisa nos mostrou que o uso do laser de baixa intensidade na cicatrização de feridas tiveram bons resultados, no que tange a análise macroscópica, da ferida em relação a sua redução, porém são necessários estudos que se dediquem a análise microscópica, para a avaliação da qualidade histológica do tecido formado, para assim comparar qual o tecido teve melhor qualidade histológica no que se refere a cicatrização hipertrófica.
Vale ressaltar que estudos nessa temática são escassos, esta pesquisa abre portas para novos desenhos de estudos a exemplo é quando é feito o tratamento em conjunto a laserterapia associados a tratamentos alopáticos, como óleo de girassol e óleo ozonizado, não se sabe os resultados, portanto possibilitando novos estudos. Assim, pode-se concluir com este estudo que o laser 808 demonstrou maior redução da área da ferida, o óleo ozonizado e óleo de girassol não mostraram resultados superiores ao grupo controle na redução das feridas. Entretanto, investigações microscópicas adicionais são necessárias para identificar mais precisamente os efeitos do óleo de girassol, óleo ozonizado, laser 808 e laser 660 em feridas cutâneas de pacientes diabéticos. Portanto, ainda é necessário o estudo da análise microscópica, não contida nesse trabalho.
REFERÊNCIAS BIBLIOGRÁFICAS
AGNE, J.E. Eu sei eletroterapia. Santa Maria: Pallotti, 2009
ANDRADE, A. L. N., REVISÃO BIBLIOGRÁFICA SOBRE OZONIOTERAPIA TÓPICA NO TRATAMENTO DE ÚLCERAS EM MEMBROS INFERIORES. Pesquisa apresentada para trabalho de conclusão de curso de graduação em Fisioterapia da Universidade Federal de Uberlândia — UFU. Uberlândia-MG, 2019.
ANDRADE, F. S. S. D. CLARK, R. M. O.; FERREIRA, M. L. Efeitos da laserterapia de baixa potência na cicatrização de feridas cutâneas. Revista do Colégio Brasileiro de Cirurgiões, v. 41, n. 2, p. 129-133, 2014.
ASSIS, Thamaine Dos Passos De et al. Potencial efeito terapêutico do óleo de girassol na cicatrização cutânea: um estudo teórico. Anais do V CONAPESC… Campina Grande: Realize Editora, 2020. Disponível em: <https://editorarealize.com.br/artigo/visualizar/73119>. Acesso em: 02/11/2023 20:01
BALBINO, C. A., PEREIRA, L. M., & CURI, R.. (2005). Mecanismos envolvidos na cicatrização: uma revisão. Revista Brasileira De Ciências Farmacêuticas, 41(1), 27–51. https://doi.org/10.1590/S1516-93322005000100004
Barbosa KBF, Costa NMB, Alfenas R de CG, De Paula SO, Minim VPR, Bressan J. Estresse oxidativo: conceito, implicações e fatores modulatórios. Rev Nutr [Internet]. 2010Jul;23(4):629–43. Available from: https://doi.org/10.1590/S1415-52732010000400013
BARRETO, R. S. S.; et al. A systematic review of the wound-healing effects of monoterpenes and iridoid derivatives. Molecules, v. 19, n. 1, p. 846–862, 2014.
BORGES, G. A.; ELIAS, S. T.; DA SILVA, S. M. M.; MAGALHÃES, P. O.; MACEDO, S. B.; RIBEIRO, A. P. D. et al. In vitro evaluation of wound healing and antimicrobial potential of ozone therapy. Journal of Cranio-Maxillofacial Surgery, 45(3), 364–370. doi: 10.1016/j.jcms.2017.01.005. In vitro evaluation of wound healing and antimicrobial potential of ozone therapy. Journal of Cranio-Maxillo Facial Surgery, v. 45, n. 3, p. 364-370, 2017.
BRASIL, Ministério da Saúde. PORTARIA N° 702, DE 21 DE MARÇO DE 2018.
BRRANDÃO MGSA; XIMENES MAM; RAMALHO AO; VERAS VS; BARROS LM; ARAÚJO TM (2020) Efeitos da laserterapia de baixa intensidade na cicatrização de úlceras nos pés em pessoas com diabetes mellitus. ESTIMA, Braz. J. Enterostomal Ther., 18: e0320. https://doi.org/10.30886/estima.v18.844_PT
BRITO JÚNIOR AA de, CARNEIRO JKMP, REIS JVNA, OLIVEIRA TJS, DANTAS JB de L. Application of ozonized oils in human body and oral cavity systems. RGO, Rev Gaúch Odontol [Internet]. 2022;70: e20220027. Available from: https://doi.org/10.1590/1981-86372022002720200152
CABRAL DE SOUZA R, GONÇALVES DIAS RA, DE SANTOS JESUS M DE L, OLIVEIRA DE ARAÚJO BARRETO C, SANTOS DE ANDRADE E, CARNEIRO DE ARAÚJO MACHADO M. EFEITOS DO ÓLEO DE GIRASSOL OZONIZADO NO TRATAMENTO DE FERIDA CIRÚRGICA EM GATAS SUBMETIDAS A OVARIOHISTERECTOMIA ELETIVA. RVZ [Internet]. 15º de março de 2022 [citado 24º de novembro de 2023];29:1-10. Disponível em: https://rvz.emnuvens.com.br/rvz/article/view/681
CALASANS, M.; AMARAL, J.; CARVALHO, E.S.S. Manejo da dor nas pessoas com feridas – como cuidar de pessoas com feridas: desafios para a prática multiprofissional. 1ed. Salvador: Atualiza, 2012
CARVALHO, A. F. M. de et al. Low-level laser therapy and Calendula officinalis in repairing diabetic foot ulcers* * Extracted from the theses “Efeito da Terapia a Laser de Baixa Intensidade com Calendula officinalis no reparo de úlcera em pé diabético”, Universidade do Vale do Paraíba, Revista da Escola de Enfermagem da USP v. 50, n. 04 p. 628-634, 2015
CARVALHO JUNIOR, A.; et al. Use of Some Asteraceae Plants for the Treatment of Wounds: From Ethnopharmacological Studies to Scientific Evidences. Frontiers in pharmacology, vol. 61, n. 10, 2018.
CARVALHO, V.; Feridas em pacientes diabéticos. Rev Med (São Paulo) 2010;89 (3/4):164–9.
CAVALCANTI, T. M. et al. Conhecimento das propriedades físicas e da interação do laser com os tecidos biológicos na odontologia. Anais Brasileiros de Dermatologia, v. 86, n. 5 p. 955-960, 2011
CHARAN, J.; KANTHARIA, N. D. How to calculate sample size in animal studies? Journal of pharmacology & pharmacotherapeutics, v. 4, n. 4, p. 303, 2013.
DE MEDEIROS, M. L.; ARAÚJO-FILHO, I.; DA SILVA, E. M.; DE SOUSA QUEIROZ, W. S.; SOARES, C. D.; DE CARVALHO, M. G.; MACIEL, M. A. Effect of low-level laser therapy on angiogenesis and matrix metalloproteinase-2 immunoexpression in wound repair. Lasers in medical science, v. 32, n. 1, p. 35- 43, 2017.
EATON, P.; WEST, P. Atomic Force Microscopy. Nova York: Oxford University Press Inc., P. 448, 2010.
EISSA, M.; SALIH, W. H. M. The influence of low-intensity He-Ne laser on the wound healing in diabetic rats. Lasers in medical science, v. 32, n. 6, p. 1261-1267, 2017.
ELLIS, D. I.; BREWSTER, V. L.; DUNN, W. B.; ALLWOOD, J. W.; GOLOVANOV, A. P.; GOODACRE, R. Fingerprinting food: current technologies for the detection of food adulteration and contamination. Chemical Society Reviews. v. 41, n. 17, p. 5706-27, set., 2012.
EMING, S. A.; WYNN, T. A.; MARTIN, P. Inflammation and metabolismo in tissue repair and regeneration. Science, v. 356, n. 6342, p. 1026-1030, 2017.
EMING, S.; MARTIN, P.; TOMIC-CANIC, M. Wound repair and regenarations: Mechanisms signaling, and translation. Sci Transl Med, vol.4, n.9, 2016.
FERREIRA, L.; et al. Diabetes melito: hiperglicemia crônica e suas complicações. Arquivos Brasileiros de Ciências da Saúde, v.36, n. 3, p. 182-8, Set/Dez 2011.
FLOR, L.; CAMPOS, M.R. Prevalência de diabetes mellitus e fatores associados na população adulta brasileira: evidências de um inquérito de base populacional. Rev Bras Epidemiol., jan-mar 2017; 20(1): 16-29.
FRANCO, D. R.; BEZERRA, S. A. R.; SILVA, T. G. M.; MARTINS, C. C. Uso terapêutico do ozônio no tratamento de lesões cutâneas. UNIFUNEC Ciências da Saúde e Biológicas, v. 3. N. 5, 2019.
GOIS, T. S. et al. Physiopathology of healing in patients with diabetes mellitus. Brazilian Journal of Health Review, v. 4, n. 4, p. 14438-14452, 2021.
GONÇALVES, R. V.; NOVAES, R. D.; CUPERTINO, M. C.; MORAES, B.; LEITE, J. P.; PELUZIO, M. C.; PINTO, M. V.; DA MATTA, S. L. Time-dependent effects of low-level laser therapy on the morphology and oxidative response in the skin wound healing in rats. Lasers in medical science, v. 28, n. 2, p. 383-390, 2013.
GUIMARÃES, F.R.; SALES-CAMPOS H.; NARDINI V.; DA COSTA, T. A.; FONSECA, M. T. C.; JÚNIOR, V. R. et al. The inhibition of 5-Lipoxygenase (5- LO) products leukotriene B4 (LTB4) and cysteinyl leukotrienes (cysLTs) modulates the inflammatory response and improves cutaneous wound healing. Clinical Immunology, n. 190, p. 74- 83, 2018.
HANLON, E. B.; MANOHARAN, R.; KOO, T. W.; SHAFER, K. E.; MOTZ, J.T.; FITZMAURICE, M. et al. Prospects for in vivo Raman spectroscopy. Physics in Medicine & Biology, v. 45, n. 2, p. R1, 2000.
HERRMANN, P. S. P.; DA SILVA, M. A. P.; FILHO, R. B.; JOB, A. E.; A. E. COLNAGO, L. A.; FROMMER, J. E.; MATTOSO, L. H. C. Microscopia de varredura por força: uma ferramenta ponderosa no estudo de polímeros. Polímeros: ciência e tecnologia, out dez, p. 51-61, 1997.
KADAM, S.; et al. Recent Advances in Non-Conventional Antimicrobial Approaches for Chronic Wound Biofilms: Have We Found the ‘Chink in the Armor’? Biomedicines, vol. 66, n.31, 2019.
LENZEN, S. The mechanisms of alloxan- and streptozotocin-induced diabetes. Diabetologia, v. 51, n. 2, p. 216-226, 2008.
LIMA, C.; JUNQUEIRA, N.K.B. Efeitos de uma intervenção fisioterapêutica de equilíbrio, propriocepção e coordenação em diabéticos. 2016, (Monografia): Brasília, Universidade de Brasília, 2016.
LIMA, M. H. de M.; ARAUJO, E. P.. DIABETES MELLITUS E O PROCESSO DE CICATRIZAÇÃO CUTÂNEA. Cogitare Enfermagem, [S.l.], v. 18, n. 1, mar. 2013.
MARCHESINI, B. F.; RIBEIRO, S. B. Efeito da ozonoterapia na cicatrização de feridas. Fisioterapia Brasil, v. 21, n. 3, 2020.
MOTA, M. R.; RIBEIRO, W. S.; DANTAS, R. A. E.; SILVA, A. O.; ALVES, A. R.; CAVALCANTE, T. A. et al. Influência da ozonoterapia na cicatrização de úlceras do pé diabético. Brazilian Journal of Development, v. 6, n. 8, p.58274-58286, 2020.
NAKAMURA, A. M., Efeito do óleo ozonizado na reparação do retalho cutâneo em ratos, Dissertação (Mestrado), Unesp, Jaboticabal-SP, 2020
NOTINGHER, I.; JONES, J. R.; VERRIER, S.; BISSON, I. EMBANGA, P.; EDWARDS, P.; POLAK, J.M.; HENCH, L. L. Application of FTIR and Raman spectroscopy to characterisation of bioactive materials and living cells. Journal of Spectroscopy, v. 17, n. 2-3, p. 275-288, 2003.
OLIVEIRA, A. C..; ROCHA, D. M.; BEZERRA. S. M. G.; ANDRADE, E. M, L. R.; Ana Maria Ribeiro dos SANTOS; Lídya Tolstenko NOGUEIRA. Qualidade de vida de pessoas com feridas crônicas. Acta Paulista de Enfermagem, v. 32, n. 2, p. 194-201, 2019.
OLIVEIRA, M. F.; VIANA, B. J. F.; MATOZINHOS, F. P.; DA SILVA, M. M. S.; PINTO, D. M.; MOREIRA, A. D. Feridas em membros inferiores em diabéticos e não diabéticos: estudo de sobrevida. Revista Gaúcha de Enfermagem, v. 40, p. 1-10, 2019.
OTSUKA ACVG, MOREIRA CLV, PASQUARELLI EW, PAVANI KCP, ANJOS PPD, HASHIMOTO SY, et al., Terapia a laser de baixa potência no manejo da cicatrização de feridas cutâneas. Rev Bras Cir Plást [Internet]. 2022Oct;37(4):451–6. Available from: https://doi.org/10.5935/2177- 1235.2022RBCP.640-pt
PAPAS, D.; SMITH, B. W.; WINEFORDNER, J.D. Raman spectroscopy in bioanalysis. Talanta, v. 51, p. 131-144, 2000.
PATEL, S.; SRIVASTAVA S.; SINGH, M. R.; SINGH D. Mechanistic insight into diabetic wounds: Pathogenesis, molecular targets and tratament strategies to pace wound healing. Biomed. Pharmacother., v. 112, p. 108-615, 2019.
PIRES, J. R., KARAM, A. M., GARCIA, V. G., RIBEIRO, F. S., PONTES, A. E. F., ANDRADE, C. R. de., & ZUZA, E. C. (2021). Effect of systemic ozone therapy as a biomodulator of tissue regeneration and inflammatory response in rats. Revista De Odontologia Da UNESP, 50, e20210046. https://doi.org/10.1590/1807-2577.04621
Razaque, R. et al. Synthesis and evaluation of 2-phenylamino-1,4- naphthoquinones derivatives as potential hypoglycaemic agents. Brazilian Journal of Biology v. 84, 2022
REIS FILHO, N. P. Comparação entre diferentes ondas de laser e óleo de girassol ozonizado na epitelização de enxertos cutâneos aplicados em feridas recém-criadas de coelhos (Oryctolagus cuniculus). 2019. 78f. Tese (Doutorado) – Universidade Estadual Paulista – UNESP – Faculdade de Ciências Agrárias e Veterinárias; Jaboticabal, 2019.
RICHARDS-KORTUM, R.; SEVICK-MURACA, E. Quantitative optical spectroscopy for tissue diagnosis. Annual Review of Physical Chemistry, v.47, p. 555-606, 1996.
RODACKI M, Teles M, Gabbay M, Montenegro R, Bertoluci M. Classificação do diabetes. Diretriz Oficial da Sociedade Brasileira de Diabetes 2022.
RODRIGUES, F.; et al. Relação entre conhecimento, atitude, escolaridade e tempo de doença em indivíduos com diabetes mellitus. Acta Paulista de Enfermagem, v. 25, n. 2, p. 284-290, 2
SANGUANINI, R. C. Efeitos da água e do óleo ozonizados no reparo tecidual de feridas cutâneas experimentalmente induzidas em ratos. 2019. 49f. Dissertação (Mestrado) – Universidade Federal de Goiás, Escola de Veterinária e Zootecnia, Programa de Pós-graduação em Ciência Animal; Goiânia, 2019.
SANTOS, A. R. et al. Aplicação da espectroscopia raman na caracterização de minerais pertencentes a uma geocoleção. Química Nova, v. 42, n. 5, 2019.
SEABRA, I. D.; POMPEU, E.; VALENTI, M. L. G. Anestesia e analgesia de animais utilizados em protocolos experimentais. Biotério Central da Faculdade de Medicina da Universidade de São Paulo, 2014.
SÉRVIO, E. M. L; ARAÚJO, K. S.; NASCIMENTO, L. R. S.; COSTA, C. L. S.; MENDES, L. M. S.; ANTÔNIO, L. M. Cicatrização de feridas com a utilização do extrato de Chenopodium ambrosioides (matruz) e cobertura secundária estéril de gaze em ratos. ConScientiae Saúde, v. 10, n. 3, p. 441-447, 2011.
SILVA, E. C. O. Avaliação in vitro de alterações biomecânicas e bioquímicas induzidas por fármacos em células utilizando microscopia de força atômica e escpectroscopia Raman. 2019. 88f. Tese (Doutorado) – Universidade Federal de Alagoas. Instituto de Física; Maceió, 2019.
SILVA, T. S.; MENDES, F.; ALVES, A. M. P.; ALVES, E. P. B.; BERTOLINI, G. R. F. Estudo microscópio da lesão tecidual em pele de ratos Wistar tratados com laser de baixa potência. Revista Brasileira de Biociências, v. 8, n. 3, p. 264-7, 2010.
SOCIEDADE BRASILEIRA DE DIABETES. Diretrizes da Sociedade Brasileira de Diabetes. São Paulo: AC Farmacêutica; 2020.
SBACV, Sociedade Brasileira de Angiologia e Cirurgia Cardiovascular, Brasil bate recorde de amputações de pés e pernas em decorrência do diabetes, 2023 Disponível em: https://sbacv.org.br/brasil-bate-recorde-de amputacoes-de-pes-e-pernas-em-decorrencia-do-diabetes/
SOUZA, M. V.; CREPALDI, J.; Silva, T. O.; SILVA, M. B.; MELO NETO, G. B.; MOREIRA, J. C. L. Laserterapia para tratamento de tendinopatia induzida em ratos Wistar: Estudo histomorfométrico. Vet. e Zootec; v. 24, n. 3, p. 538-553, 2017.
STYLIANOU, A., Stylianos, V. K., Colin Grant, E. A., “Atomic Force Microscopy on Biological Materials Related to Pathological Conditions”, Scanning, 2019.
SÜNTAR, I. et al. Cicatrização de feridas e propriedades antioxidantes: coexistem nas plantas? Radicais livres e antioxidantes, vol. 2, ed. 2 , p. 1-7, 2012.
SUZUKI, S. M. L.; MELLO, E. V. S. L.; BALAN, M. A. J. Reparação tecidual em pacientes diabéticos. UNINGÁ Review, v.1, n. 11, p. 14-23, 2012.
TUHIN, R. H.; BEGUM, M. M.; RAHMAN, M.S.; KARIM, R.; BEGUM, T.; AHMED, S.U. et al. Wound healing effect of Euphorbia hirta linn. (Euphorbiaceae) in alloxan induced diabetic rats. BMC Complement Altern Med, v. 17, n. 1, p. 423, 2017.
TANTAWY SA, ABDELBASSET WK, KAMEL DM, ALRAWAILI SM. Um ensaio clínico randomizado comparando terapia com laser de hélio-neon de terapia com laser infravermelho em pacientes com úlcera no pé diabético. Lasers Med Sci. 2018; 33:1901-1906.
UFAC, UNIVERSIDADE FEDERAL DO ACRE, Patologia Geral: Tecido de renovação e reparação: regeneração e cicatrização, 2017
WANG, T.; ITO, A.; AOYAMA, T.; NAKAHARA, R.; NAKAHATA, A.; JI, X.;
ZHANG, J.; Functional evaluation outcomes correlate with histomorphometric changes in the rat sciatic nerve crush injury model: A comparison between sciatic functional index and kinematic analysis. PloS one, v. 13, n. 12, p. 208- 985, 2018.
WANG, W. T.; ZHANG, H.; YUAN, Y.; GUO, Y.; HE, S. X. Research Progress of Raman Spectroscopy in Drug Analysis. AAPS PharmSciTech; v. 19, n. 7, p. 2921, 2018.
ZAJDENVERG L, DUALIB P, FAÇANHA C, GOLDBERT A, NEGRATO C, FORTI A, BERTOLUCI M. Tratamento farmacológico do diabetes na gestação. Diretriz Oficial da Sociedade Brasileira de Diabetes, 2022.
ZENG J, LU J. Mechanisms of action involved in ozone-therapy in skin diseases. Int Immunopharmacol. 2018; 56:235-41.
ZHANG P, LU J, JING Y, TANG S, ZHU D, BI Y. Epidemiologia global da ulceração do pé diabético: uma revisão sistemática e meta-análise. Annals of medicine, 2017
