DESIGN AND CONSTRUCTION OF A PHYSIOLOGICAL SIGNAL METER FOR RADIOTHERAPY PATIENTS
REGISTRO DOI: 10.69849/revistaft/cl10202511301755
Jean Felippe Batista da Silva1
Marcelo Andrade Macêdo1
Divanizia do Nascimento Souza1
Resumo
Neste artigo é apresentado um sistema integrado para medição não invasiva de sinais fisiológicos. O sistema medidor emprega sensores acoplados a uma plataforma Arduino, com circuito eletrônico projetado para cada tipo de medição. O sistema é também capaz de mostrar em uma interface, em tempo real, dados de sinais fisiológicos captados pelo software, tais como batimento cardíaco, saturação de oxigênio e temperatura, e registrá-los. O sistema medidor está sendo testado para medição dos sinais fisiológicos de pacientes durante sessões de radioterapia. Com a finalidade de uso em medições na rotina, o sistema medidor foi projetado para ser acoplado ao dedo do paciente durante as sessões. Nos testes iniciais, o sistema medidor apresentou desempenho adequado quando testado na presença de feixes de radiação de um acelerador linear, mantendo eficiência semelhante à quando estava em um ambiente sem radiação ionizante.
Palavras-chave: Física Médica; Radioterapia; Arduino; Sinais Vitais.
Abstract
This article presents an integrated system for noninvasively measuring physiological signals. The measurement system uses sensors connected to an Arduino platform, and the electronic circuitry is designed specifically for each type of measurement. The system can display and record physiological signal data, such as heart rate, oxygen saturation, and temperature, captured by the software in real time. The system is currently being tested to measure patients’ physiological signals during radiotherapy sessions. For routine use, the system is designed to be attached to a patient’s finger during sessions. Initial tests showed that the system performed adequately in the presence of radiation beams from a linear accelerator, maintaining efficiency similar to that in an environment without ionizing radiation.
Keywords: Medical Physics; Radiotherapy; ; Vital Signs.
1. Introdução
A radioterapia é uma modalidade de tratamento médico que utiliza radiações ionizantes, na faixa de energia de megavoltagem, para destruir células tumorais ou impedir que se multipliquem. A radiação emitida durante o tratamento não pode ser vista e nem sentida (1). Atualmente, a radioterapia é muito utilizada para tratar diversos tipos de tumores em diferentes regiões do corpo humano, principalmente, por ser um meio mais rápido e eficaz comparado com a quimioterapia. Atualmente, a tecnologia empregada na radioterapia é bastante avançada e, os aparelhos utilizados possibilitam diversas técnicas para entregar o melhor resultado possível para cada paciente.
A radioterapia pode ser dividida em duas modalidades: braquiterapia e teleterapia. O foco deste trabalho é a teleterapia. Na teleterapia, utiliza-se, atualmente, aceleradores lineares que são equipamentos que possibilitam diversas formas de tratamentos. Diferentemente dos equipamentos de cobaltoterapia que eram utilizados em radioterapia até há alguns anos, os aceleradores lineares são mais seguros porque seus feixes são gerados por meio eletrônico e não necessitam da fonte de radiação ionizante composta por material radioativo.
Os sinais vitais, a exemplo de batimento cardíaco, saturação de oxigênio e temperatura, são indicadores do estado de saúde e da garantia das funções circulatória, respiratória, neural e endócrina do corpo. A monitoração desses sinais pode indicar como está o funcionamento do organismo do paciente, servindo como parâmetros de comunicação universal sobre o estado do paciente e a gravidade da sua doença (2).
Dessa forma, com o intuito de contribuir para procedimentos de monitoração dos sinais fisiológicos vitais dos pacientes durante as sessões de radioterapia e visualizar esses dados em tempo real, o projeto foi desenvolvido. Esse desenvolvimento ocorreu como projeto de iniciação tecnológica em que foi construído um aparelho (sistema medidor) para medições dos sinais.
Atualmente, pode-se contar com diversos mecanismos para medição de sinais vitais de uma pessoa, porém, utilizando-se de eletrônicas e meios para fazer a aquisição de dados, diferentes dos apresentados neste trabalho. No entanto, pouco tem sido discutido sobre a aquisição desses dados em pacientes durante sessão de radioterapia. Neste artigo é apresentado detalhes do desenvolvimento de um instrumento de aquisição de alguns desses dados.
Para a construção do sistema de aquisição de dados de sinais vitais, utilizou-se da plataforma Arduino, Arduino Nano e sensores acoplados. A partir desses materiais, foi possível desenvolver um instrumento (unidade monitora) que realiza medidas de sinais vitais do paciente e, esses dados podem ser visualizados em tempo real e registrados.
O Arduino apresenta como principal atrativo ser de baixo custo e possibilitar o uso de sensores diversos para efetuar a coleta e monitoramento de sinais vitais. A unidade medidora desenvolvida coleta dados da temperatura, saturação de oxigênio e batimentos cardíacos da pessoa monitorada (3). Os dados de cada variável medida são processados em tempo real pela plataforma Arduino que foi programada para apresentá-los graficamente em função do tempo.
Com a finalidade de identificar dados vitais dos pacientes durante as sessões de radioterapia e, dessa forma, poder monitorá-los para avaliar se estão dentro da normalidade, foi desenvolvido um sistema integrado para medição não invasiva de sinais fisiológicos (sistema medidor), que é de baixo custo e apresenta alto potencial de utilização de pacientes para realização de medidas dos sinais vitais em tempo real.
2. Materiais e Métodos
2.1 Acelerador Linear
Os aparelhos mais utilizados na radioterapia com fontes externas são os aceleradores lineares (LINACs). Os LINACs são dispositivos que emitem feixes de radiação de alta energia direcionados com precisão para certa região no corpo do paciente, a qual é o alvo específico do tratamento. Em sua trajetória, os feixes diminuem exponencialmente a deposição de dose de radiação em função da distância e da interação com o material que atravessam. Esses feixes de alta energia são produzidos por meio de um processo de aceleração de elétrons direcionados por campos magnéticos até atingirem uma peça de metal chamada de alvo. O resultado desta interação é a produção de fótons de alta energia que compõem o feixe de radiação emitido (4).
2.2 Arduino
O projeto Arduino teve início na Itália em 2005 e se tornou muito popular entre os pesquisadores para o desenvolvimento de protótipos. McRoberts (2011) define o Arduino como um pequeno computador, de baixo custo, que pode ser programado para processar entradas e saídas de dados entre o dispositivo e os componentes externos conectados a ele (5). Conforme Moura (2012) o Arduino é uma plataforma de prototipagem eletrônica de hardware e software com melhor custo-benefício projetada com um microcontrolador Atmel AVR (6). Uma placa Arduino é artefato muito simples, sendo composta apenas por um controlador, por algumas linhas de entrada e saída (E/S) digital e analógica e uma interface serial ou USB para conectar o Arduino a outros dispositivos e permitir a programação dele. A programação computacional do dispositivo é baseada na linguagem C. Segundo McRoberts (2011) qualquer placa clone é compatível com o Arduino. Também é possível acoplar diversos tipos de sensores à placa (3).
2.3 Sensores
Tendo o Arduino como peça-chave, para o desenvolvimento da parte eletrônica do sistema medidor ainda se necessitava de sensores que seriam acoplados para realizar as medições dos sinais vitais de interesse neste projeto. Os sensores são dispositivos eletroeletrônicos capazes de transformar em sinais elétricos as informações relacionadas a alguma grandeza física, como temperatura, velocidade, batimentos cardíacos e pressão arterial (3).
O sensor escolhido para aquisição de dados de saturação de oxigênio e batimento cardíaco foi o MAX30102. Esse sensor é um moderno (sucessor do MAX30100) oxímetro de pulso integrado e sensor de frequência cardíaca IC, da Analog Devices. Ele combina dois LEDs, um fotodetector, óptica otimizada e processamento de sinal analógico de baixo ruído para detectar sinais de oximetria de pulso (SpO2) e frequência cardíaca (FC) (7). Para aquisição dos dados referentes à temperatura foi utilizado outro sensor, chamado de MLX90614. O sensor de IR MLX90614 (datasheet) é o responsável por realizar a medição da temperatura. Ele opera em uma faixa de medição entre -40 °C a 125 °C para temperatura ambiente e entre -70 °C a 380 °C para medição de temperatura de objetos. Além disso, esse sensor é capaz de realizar duas medições, tanto a do corpo quanto a do ambiente simultaneamente, com precisão de 0,5 °C (8).
2.4 Sinais Vitais
Os sinais vitais podem ser definidos como indicadores do estado de saúde e da garantia das funções circulatória, respiratória, neural e endócrina do corpo (2).
Um dos três sinais vitais medidos pelo sistema medidor é o batimento cardíaco. Esse sinal representa o número de vezes que os ventrículos cardíacos se contraem por unidade de tempo, geralmente por minuto (9). Em uma pessoa com a frequência cardíaca normal os seus batimentos cardíacos devem estar entre 60 a 100 por minuto.
A segunda variável medida é a saturação de oxigênio (SaO2). A SaO2 é definida como a porcentagem de oxigênio que seu sangue está transportando, comparada com o máximo da sua capacidade de transporte. Idealmente, mais de 89% das células vermelhas devem estar transportando oxigênio (10).
Por fim, a terceira e última variável medida é a temperatura. Medida por meio de um termômetro, a temperatura demonstra o resultado entre ganho e perda de calor do corpo para o ambiente. O valor de referência é de 36,5 ºC (graus Celsius), para qualquer idade. No entanto, existe uma variação aceitável, que fica entre 36,1 ºC e 37,2 ºC (11).
Este projeto foi desenvolvido utilizando-se de um notebook, Arduino e sensores acoplados. Inicialmente, foram escolhidos os sensores que seriam, posteriormente, utilizados para serem acoplados no Arduino. Após escolha dos sensores MAX30102 e MLX90614, foi realizada a montagem inicial do protótipo para cada sensor, como pode ser visto na Figura 1 a), b) e c).
Figura 1. a) Montagem inicial do protótipo do sensor MAX30102 já ligado ao Notebook. b) Parte eletrônica detalhada do sensor MAX30102. c) Parte eletrônica detalhada do sensor


A biblioteca utilizada na plataforma Arduino para o sensor MAX30102 foi SparkFun MAX3010x Pulse and Proximity Sensor, e para o sensor MLX90614 foi LiquidCrystal I2C e Adafruit MLX90614. A partir delas foi possível desenvolver a programação viável para cada sensor e poder modificá-las para a finalidade do projeto.
Nessa etapa inicial, a parte eletrônica ainda se encontrava exposta; porém, já era possível realizar as medidas dos sinais vitais de uma pessoa em um ambiente sem radiação ionizante. Foram simulados testes em laboratório, com o operador do instrumento, de forma a aferir o funcionamento dos sensores, para obtenção de dados em tempo real na plataforma Arduino.
Realizada a etapa de medições que resultou em dados de sinais vitais dentro dos parâmetros considerados normais para cada variável medida (saturação de oxigênio, temperatura e batimento cardíaco), em um ambiente sem radiação ionizante, o próximo passo foi testar em um ambiente com radiação ionizante. O sistema acoplado com unidade medidora de temperatura foi exposto a um feixe de fótons em um LINAC de 6 MV (modelo Primus Siemens).
O teste que demonstrou o êxito a unidade medidora consistiu em colocar o sistema medidor sobre a mesa de tratamento, na qual um paciente fica deitado ao longo das sessões de radioterapia, e realizar a exposição do medidor ao feixe. A medição foi realizada apenas da temperatura ambiente, devido a necessidade de expô-lo ao feixe de radiação para o teste. Não seria adequado medir em um paciente durante sessão de radioterapia sem previamente ter se obtido autorização para tal medição. Como resultado, foi atestado que o sistema mediu a temperatura ambiente sem alterar suas funções comparadas de quando estava realizando essa mesma aquisição em um ambiente sem radiação ionizante.
Depois dessa etapa de teste, o protótipo foi separado da parte eletrônica, como pode ser mostrado na Figura 1 c), e colocado em uma caixa para ser posicionado no dedo do paciente e pode realizar as medidas, como pode ser visualizado na Figura 2. Nessa figura pode ser visualizado o sistema medidor montado e pronto para execução, medindo a temperatura em tempo real (Figura 2 a). A Figura 2 b) mostra a parte eletrônica já dentro da caixa envolvendo a ponta do dedo de uma mão.
Figura 2. a) Montagem final do sensor de temperatura realizando uma aquisição. b) Parte eletrônica dentro da caixa

3. Resultados
Os dados apresentados nas Figuras 3, 4 e 5 apresentam resultados obtidos na parte inicial do projeto, depois da montagem da parte eletrônica do protótipo e da adequação do código para a finalidade proposta. Nesses testes iniciais o sistema ainda não estava calibrado para a aquisição de dados de cada variável; posteriormente, o sistema medidor foi sendo calibrado. Conclui-se, com a análise dos gráficos de cada variável (temperatura, saturação de oxigênio e batimento cardíaco) que o sistema medidor, mesmo descalibrado, realizou a aquisição dos dados dos sinais vitais. As três medidas foram feitas pelo sensor MAX3012, que realiza medidas de saturação de oxigênio, batimento cardíaco e de temperatura (Figura 3).
Figura 3. Medição da temperatura

Figura 4. Medição da saturação de oxigênio.

Figura 5. Medição do batimento cardíaco.

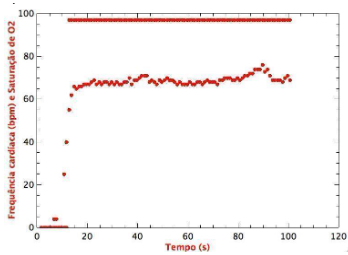
Após realizar essas medidas iniciais com o protótipo do sistema medidor, seguindo o mesmo passo a passo, novas aquisições foram realizadas após o aperfeiçoamento do sistema medidor. O sensor MAX30102 foi incorporado para a aquisição de dados de batimento cardíaco e saturação de oxigênio. A Figura 6 apresenta dados das medições obtidos com o sistema calibrado (batimento cardíaco e saturação de oxigênio), dentro dos parâmetros considerados normais.
Figura 6. Medição calibrada de saturação de oxigênio e batimento cardíaco.

Além disso, foi realizado um teste para comprovação de como se comportaria o sensor em um ambiente de exposição à radiação ionizante. Dessa forma, ao ser exposto ao feixe de fótons de um LINAC de 6 MV, o medidor se comportou perfeitamente, sem nenhum indício de problemas.
A Figura 7 mostra um gráfico da temperatura de uma pessoa saudável em função do tempo, medida com o sistema medidor. A pessoa acoplou o dedo sobre o sistema medidor e a medida foi realizada em tempo real. Essa medida foi realizada depois de a unidade medidora para temperatura estar pronta, como apresentado na Figura 2, porém sem ser em um ambiente de radiação ionizante.
Figura 7. Medição da temperatura pelo sensor MLX90614.

As Figuras 3, 4 e 5 mostram os gráficos para temperatura, batimento cardíaco e saturação de oxigênio. Em cada gráfico, o eixo x representa o tempo, em segundos, e o eixo y a quantidade da variável medida. Além disso, cada gráfico é definido em três momentos. O primeiro momento é quando o dedo do usuário não está acoplado no sistema medidor, o segundo momento é quando o dedo é acoplado no sistema e o terceiro momento quando se retira o dedo do sistema.
O processo para aquisição foi iniciado quando a pessoa acoplou o dedo sobre o sistema medidor e a medida. A quantidade medida foi visualizada em tempo real em um monitor de computador. A variável medida se comportou em alguns momentos dentro dos parâmetros considerados dentro da normalidade, conforme esperado. A medida foi realizada pelo sensor MLX90614. Por meio das análises, validou-se tanto o primeiro sensor (MAX30102) como o segundo sensor (MLX90614).
5. Conclusões
O sistema medidor de sinais vitais (temperatura, batimento cardíaco e saturação de oxigênio) em desenvolvimento neste trabalho, atua por meio de uma interface que permite visualizar em tempo real os dados que são captados no Arduino e reportar, na tela do notebook ou afins, em sua respectiva unidade.
A unidade proposta apresenta caráter tecnológico, com o sistema medidor representando bom custo-benefício. Os dois sensores (MAX30102, MLX90614) usados para a unidade medidora mostraram eficiência, sendo útil para medição de sinais vitais de forma direta e simples.
Nos testes, o sistema medidor apresentou desempenho adequado quando testado na presença de feixes de radiação de um acelerador linear, mantendo eficiência semelhante à quando estava em um ambiente sem radiação ionizante.
A unidade medidora está em fase de testes finais; ao ser finalizada, será capaz de medir os sinais fisiológicos e registar como se comportam a temperatura, batimento cardíaco e saturação de oxigênio dos pacientes durante as sessões de radioterapia e em outras situações.
Agradecimentos
Ao CNPq pelo apoio financeiro.
Referências
- Instituto Nacional de Câncer (INCA). Radioterapia. Disponível em: https://www.gov.br/inca/pt-br/assuntos/cancer/tratamento/radioterapia#:~:text=A%20radioterapia%20%C3%A9%20um%20tratamento,sente%20nada%20durante%20a%20aplica%C3%A7%C3%A3o. Acesso em: 16 de setembro de 2023.
- TEIXEIRA, Cristiane Chagas.; Boaventura, R. P.; Souza, A. C. S.; Paranaguá, T. T. B.; Bachion, M. M.; Brasil, V. V. Vital Signs Measurement: an indicator of safe care delivered to elderly patients, 2015.
- SILVA, Vinicius. MCSV-a – Sistema de monitoramento contínuo de sinais vitais. Trabalho de Conclusão de Curso. Faculdades Integradas de Taquara.
- OLIVEIRA, Leo Souza Santiago. PHANTOM-TELLES: sistema de medidas ponto a ponto para procedimentos dosimétricos em radioterapia. 2023. Tese de Doutorado (Doutor em Física). Universidade Federal de Sergipe, 2023.
- MCROBERTS; M. Básico. São Paulo: Novatec Editora, 2011.
- JUNIOR, J. M. Protótipo de mão robótica de baixo custo para reabilitação. Trabalho de Conclusão de Curso (Bacharel em Sistemas de Informação). Sistemas de Informação, Unipar – Universidade Paranaense de Paranavaí, Paranavaí, 2012.
- Last Minute Engineers. Interfacing MAX30102 Pulse Oximeter and Heart Rate Sensor with. Disponível em: https://lastminuteengineers.com/max30102-pulse-oximeter-heart-rate-sensor–tutorial/. Acesso em: 16 de setembro de 2023.
- e Cia. Como usar o sensor de Temperatura MLX90614. Disponível em: https://www.ecia.com.br/sensor-de-temperatura-mlx90614-/. Acesso em: 16 de setembro de 2023.
- DeCS – Descritores em Ciências da Saúde. Número de vezes que os ventrículos cardíacos se contraem por unidade de tempo, geralmente por minuto. Disponível em: https://decs.bvsalud.org/ths/resource/?id=6493#:~:text=N%C3%BAmero%20de%20vezes%20que%20os,de%20tempo%2C%20geralmente%20por%20minuto. Acesso em: 16 de setembro de 2023.
- Sociedade Brasileira de Pneumologia e Tisiologia (SBPT). Oximetria de Pulso. Disponível em: https://sbpt.org.br/portal/publico-geral/doencas/oximetria-de-pulso/. Acesso em: 16 de setembro de 2023.
- Telemedicina Morsch. Quais são os sinais vitais normais e como fazer a verificação Disponível em: https://telemedicinamorsch.com.br/blog/sinais-vitais#:~:text=Medida%20por%20meio%20de%20um,%2C1%C2%BAC%20e%2037%2C2%C2%BAC. Acesso em: 16 de setembro de 2023.
1Universidade Federal de Sergipe, São Cristóvão – SE, Brasil.
