POLYNOMIALS AND SIGNALS: AN ALGEBRAIC PROOF OF DESCARTES’ RULE FOR TEACHERS AND STUDENTS
REGISTRO DOI: 10.69849/revistaft/dt10202508292238
Carlos Kleber Alves do Nascimento
RESUMO
Este artigo apresenta uma prova algébrica e indutiva da Regra de Sinais de Descartes, evitando o uso de ferramentas de Análise como o Teorema de Rolle ou o Teorema do Valor Intermediário. O teorema estabelece um limite superior para o número de raízes reais positivas (ou negativas) de um polinômio real em função do número de variações de sinal de seus coeficientes. A novidade desta demonstração reside em seu caráter puramente algébrico e construtivo, estruturado em lemas elementares sobre sinais e indução no número de raízes positivas, o que lhe confere valor didático para o ensino médio e superior inicial. Discutimos a história do teorema, diferentes provas existentes e indicamos como o tema pode ser explorado pedagogicamente em sala de aula.
Palavras-chave: Prova algébrica, Teorema de Descartes, lemas, indução, valor didático, Ensino Médio.
ABSTRACT
This article presents an algebraic and inductive proof of Descartes’ Rule of Signs, dispensing with the use of Analysis tools.
This article presents an algebraic and inductive proof of Descartes’ Rule of Signs, avoiding the use of Analysis tools such as Rolle’s Theorem or the Intermediate Value Theorem. The theorem establishes an upper bound on the number of positive (or negative) real roots of a real polynomial based on the number of sign variations of its coefficients. The novelty of this proof lies in its purely algebraic and constructive nature, structured around elementary lemmas on signs and induction on the number of positive roots, which gives it educational value for secondary and lower secondary education. We discuss the history of the theorem, various existing proofs, and indicate how the topic can be explored pedagogically in the classroom.
Keywords: Algebraic proof, Descartes’ Theorem, lemmas, induction, didactic value, High School.
1. INTRODUÇÃO
A Regra de Sinais de Descartes, formulada em La Géométrie (1637), é um dos resultados mais clássicos da teoria dos polinômios. Ela estabelece que o número de raízes reais positivas de um polinômio com coeficientes reais não excede o número de mudanças de sinais em sua sequência de coeficientes, diferindo desta quantidade por um número par. Para raízes negativas, aplica-se o mesmo raciocínio ao polinômio p(−x).
Descartes não apresentou prova de sua regra, e somente em meados do século XVIII surgiram as primeiras demonstrações conhecidas (de Gua, 1740). Posteriormente, Budan (1807) e Fourier (1820) generalizaram o resultado para intervalos arbitrários, e Sturm (1829) desenvolveu uma técnica ainda mais poderosa para contar raízes reais em intervalos via sequências de Sturm.
Apesar de existirem muitas provas conhecidas, a maioria recorre a argumentos analíticos (Cálculo) ou algoritmos mais sofisticados. A contribuição deste artigo é destacar uma prova essencialmente algébrica, que se baseia em raciocínios de sinais, divisões sucessivas por fatores lineares e argumentos de indução, tornando-se especialmente adequada para alunos e professores de ensino médio.
2. DEMONSTRAÇÃO ALGÉBRICA DA REGRA DE SINAIS
Nesta seção, será demonstrado a Regra de Sinais de Descartes que afirma que em uma equação polinomial com coeficientes reais, o número de raízes positivas nunca é maior que o número de mudanças de sinais na sequência de seus coeficientes não nulos, e se for menor, então a diferença é sempre por um número par.
Ao dividir p(x) pelo seu coeficiente líder, não alteramos o número de raízes positivas de p(x) nem o padrão de varia o nos sinais dos seus coeficientes, com isso podemos supor, sem perda de generalidade, que p(x) mônico.
Outra observação importante que se p(x) tem termo independente a0 nulo, então podemos dividir p(x) por alguma potência conveniente de x de forma a obter um polinômio com termo constante não nulo com o mesmo número de raízes positivas e o mesmo padrão de variação no sinal de p(x), visto que essa potência não contribuiu com raízes positivas nem nas variações nos sinais de p(x). Assim, sem perda de generalidade, podemos supor que o termo constante do nosso polinômio é não nulo.
Comeremos a demonstração do Teorema de Descartes com o caso em que o polinômio p(x) só possui raízes complexas não reais. Para isso, considere a seguinte
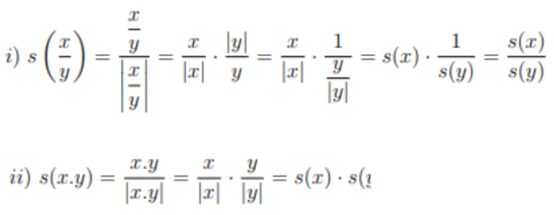
Definição: O sinal de um número real x não nulo dado por

Dessa forma, para quaisquer x e y números reais não nulos, temos as seguintes propriedades

Adotaremos a notação abaixo:
Notação: Seja V [p(x)] o número de variações de sinal de um polinômio p(x) e P [p(x)] o número de raízes positivas de p(x) contadas com multiplicidade.
Dessa forma, comecemos a demonstra o do seguinte Lema 1: Se p(x) um polinômio mônico com coeficientes em R, e a0/= 0 :
p(x) = xn + an—1xn—1 + … + a1x + a0,
então podemos afirmar que
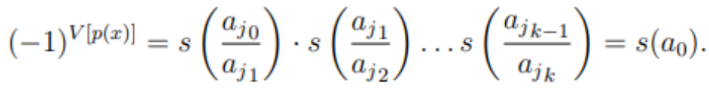
s(a0) = (—1)V [p(x)]
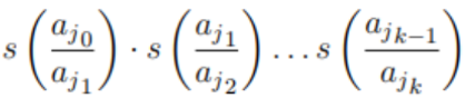
Prova: Vamos definir j0 como o primeiro índice em ordem crescente tal que aj0 ≠ 0, j1 como o segundo índice tal que aj1 ≠ 0, e assim por diante, até ajk como o último índice tal que ajk ≠ 0. Assim, temos a sequência de coe cientes n o nulos (aj0, aj1, …, ajk), com aj0 = a0 e ajk = an = 1. Dessa forma, considerando o produto telescópico

e aplicando a função sinal em ambos os membros, segue que

Utilizando a propriedade da função sinal e substituindo aj0 = a0 e ajk = 1:

Haja vista que s(aji / aji+1) vale ±1, sendo -1 em cada mudança de sinal entre aji e aji+1 e 1, caso contrário, então o número de fatores iguais a -1 no produto

é igual ao número de mudanças de sinais nos coeficientes de p(x), logo

Proposição: Considere o polinômio mônico
p(x) = xn + an—1xn—1 + … + a2x2 + a1x + a0
Se o polinômio p(x) não possui raízes reais, então a0 > 0 e V [p(x)] par.
Prova: Seja α1, …, αn as raízes complexas do polinômio p(x). Como as raízes complexas sempre ocorrem aos pares, então n é par. Dessa forma, pelas relações de Girard, podemos escrever p(x) assim

onde

Como σn = (α1α2) … (αn—1αn) e já que podemos reordenar as raízes de modo que αk seja o conjugado de αk+1 para todo 1 ≤ k ≤ n — 1, ent o αkαk+1>0. Uma vez que σn = a0>0, segue, pelo Lema 1, que V [p(x)] par.
Dessa forma, caso o polinômio p(x) só possua raízes complexas não reais, então como p(x) não tem raízes reais positivas, é imediato que o número de raízes positivas de p(x) não excede o número de trocas de sinais dos seus coeficientes não nulos e o número de mudanças de sinais é um número par. Assim doravante, assumimos que p(x) um polinômio mônico, com termo independente não nulo e que possui raiz real.
Analisemos os casos em que esses polinômios são lineares e quadráticos:
Se p(x) = x + b um polinômio do primeiro grau, então temos que p(x) tem uma única raiz real x = —b. Se b > 0, então x < 0 e daí não temos nenhuma raiz positiva nem troca de sinal em p(x). Se b < 0, então x > 0 e portanto, temos 1 raiz positiva e 1 troca de sinal em p(x).
Seja p(x) um polinômio quadrático da forma p(x) = x2 + bx + c com c ≠ 0. Como estamos assumindo que p(x) tem raiz real, segue que ambas as raízes são reais. Suponha que nós identificamos as duas raízes reais r e s de p(x). Assim, pelas relações de Girard, podemos escrever p(x) na forma,
p(x) = x2 — (r+s)x + rs.
Comparando os coeficientes b = – (r + s) e c = rs, temos dois casos a considerar:
i. Se c for positivo, então como c = r.s devemos ter r e s com o mesmo sinal. Se r e s forem ambos positivos ento b < 0 e daí haverá duas variações de sinais e duas raízes positivas. Se r e s forem ambos negativos então b > 0 e da não haverá mudança de sinal nem raiz positiva.
ii. Se c for negativo, p(x) tem exatamente uma varia o de sinal em p(x), independente de b ser positivo, negativo ou nulo e como c = r.s < 0, concluímos que r e s têm sinais contrários, isto , p(x) tem exatamente uma raiz positiva. Assim, p(x) tem exatamente uma variação de sinal e uma raiz positiva.
Em todos os casos, o número de raízes positivas é igual ao número de trocas de sinais dos coeficientes. Afim de que tratemos dos casos dos polinômios de grau mais elevado, considere o seguinte
Lema 2: Seja p(x) um polinômio mônico com a0 ≠ 0 :
p(x) = xn + an—1xn—1 + … + a1x + a0
i. s(a0) = (—1)P[p(x)]
ii. V [p(x)] ≡ P [p(x)] (mod 2)
i. Prova: Façamos indução sobre o grau do polinômio p(x). Para polinômios de grau 1 e 2 já vimos que o resultado se verifica. Suponhamos que tal afirmação seja verdadeira para todo polinômio de grau k – 1 e consideremos o polinômio a seguir de grau k:
p(x) = xk + ak—1xk—1 + … + a1x + a0.
Como estamos assumindo que p(x) tem raiz real α, então podemos definir o polinômio g(x) mônico de grau k – 1, quociente da divisão de p(x) por x — α,
g(x) = xk—1 + bk—2xk—2 + … + b1x + b0.
De tal forma que
p(x) = (x — α)(xk—1 + bk—2xk—2 + … + b1x + b0) = xk + … + (b0 — b1α)x — αb0,
então a0 = —b0α e utilizando a hipótese de indução temos que
s(a0) = (—1) · s(b0) · s(α)
= (—1) · (—1)P[g(x)]· s(α)
= (—1)P[g(x)]+1· s(α)
Desse modo, temos apenas dois casos a considerar:
1o caso: Se P [p(x)] > 0, podemos tomar α > 0, da P [p(x)] = P [g(x)] + 1 e segue que
s(a0) = (—1)P[p(x)]
2o caso: Se, P [p(x)] = 0, só podemos tomar α < 0 e P [g(x)] = 0, portanto
s(a0) = (—1) · s(α) = (—1)(—1) = 10 = (—1)P[p(x)].
ii. Combinando i. com o Lema 1 temos que V [p(x)] e P [p(x)] são ambos ímpares ou ambos pares, ou seja, V [p(x)] ≡ P [p(x)] (mod 2).
Lema 3: Se um polinômio q(x) com coeficientes reais exibe m mudanças de sinais, então para qualquer α>0, o polinômio p(x) = (x- α)q(x) exibe pelo menos m+1 mudanças de sinais.
Considere q(x) de grau n. Em seguida, formando p(x) = (x- α) . q(x) obtemos
p(x) = (x — α)(qnxn + qn—1xn—1… + q1x + q0)
= qnxn+1 + qn—1xn + … + q1x2 + q0x — αqnxn — αqn—1xn—1 — … — αq1x — αq0
= qnxn+1 + (qn—1 — αqn)xn + … + (q0 — αq1)x — αq0
Logo,

Como pn+1 = qn = 1, e portanto, tem o mesmo sinal (lembre que p(x) mônico). Além disso, como fizemos j decrescendo de n até 1, temos que a cada mudança de sinal entre qj e qj—1 o valor de pj = qj—1 — αqj tem o mesmo sinal de qj—1.
De fato, se qj—1 > 0 e qj < 0, então como α > 0 temos que pj = qj—1 — αqj > 0 e da pj tem o mesmo sinal de qj—1 e se qj—1 < 0 e qj > 0, então como α > 0 temos que pj = qj—1 — αqj < 0 e pj também tem o mesmo sinal de qj—1. Assim, começando com pn+1, existe uma sequência de pj, chamada pjk que tem os mesmos sinais dos termos da subsequência qjk-1 dos coeficientes de q(x). Dessa forma, sendo
q(x) = qnxn + qn—1xn—1 + … + qjxj + … + qLxL + … + q1x + q0
podemos definir j1 como o menor índice dos coeficientes de q(x) antes da primeira mudança de sinal e qj1 o último coeficiente antes dessa primeira mudança. Definimos j2 como o menor índice antes da segunda mudança de sinal e assim por diante até jk. Da , temos:
j1 = min {j ∈ N; qj.qL > 0, ∀j ≤ l <n, com qL /= 0} .
j2 = min {j ∈ N; qj.qL > 0, ∀j ≤ l < j1} .
j3 = min {j ∈ N; qj.qL > 0, ∀j ≤ l < j2} .
…
jk = min {j ∈ N; qj.qL > 0, ∀j ≤ l < jk—1} .
Portanto, obteremos {qj1, qj2, qj3, …, qjk } como o conjunto dos coeficientes de q(x) antes da primeira, segunda,…, k- ésima mudança no sinal. Esquematicamente:

Assim, a cada transição no sinal entre qjk e qjk-1 valor de pjk tem o mesmo sinal de qjk-1. Desde que o número de mudanças nos sinais da sequência completa pj é maior que o número de mudanças nos sinais em qualquer subsequência, nós temos pelo menos m mudanças de sinais em p(x). Finalmente, p0tem sinal oposto ao de q0 e consequentemente, oposto ao de pjm. Portanto, p(x) tem pelo menos m + 1 mudança nos sinais.
Como já provamos no Lema 2 que o número de raízes positivas de um polinômio p(x) difere do número de mudanças de sinais nos seus coeficientes por um múltiplo de 2, para concluir a demonstração do Teorema de Descartes, basta provar que esse número de raízes positivas não excede o número de mudanças de sinais nos seus coeficientes.
Teorema: O número de raízes positivas de um polinômio p(x) não excede o número de mudanças de sinais nos seus coeficientes.
Prova: Façamos indução sobre o número de raízes positivas de p(x).
Se p(x) não tem raízes positivas, o resultado é imediato, uma vez que o número de mudanças de sinais sempre é um número maior que ou igual a zero. Suponha agora que a afirmação seja verdadeira para polinômios que possuam k – 1 raízes positivas e que nós temos um polinômio p(x) com k raízes positivas. Então, para uma certa raiz α > 0,
p(x) = (x — α)q(x)
para algum q(x) com k – 1 raízes positivas. Por hipótese de indução, q(x) tem pelo menos k – 1 mudança de sinais. Portanto, pelo Lema 3, p(x) tem pelo menos k -1 + 1 = k mudanças de sinais.
Observação: A mesma regra pode ser aplicada para o número de raízes reais negativas de p(x), calculando-se p(-x), pois as raízes positivas de p(-x) são as negativas de p(x).
Corolário: Se um polinômio p(x) de grau n tem raízes positivas então seus coeficientes são todos diferentes de zero e os sinais dos coeficientes alternam.
Prova: Considere o polinômio p(x) de grau n com raízes positivas {α1, …, αn}
p(x) = anxn + an—1xn—1 + … + a1x + a0.
Uma vez que o polinômio p(x) tem fatoração
p(x) = an(x — α1)(x — α2)(x — α3)…(x — αn),
sabemos pelas relações de Girard que podemos escrever p(x) na forma
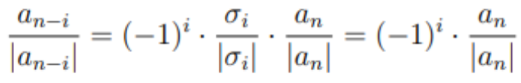
p(x) = anxn — σ1anxn—1 + σ2anxn—2 + … + (—1)iσianxn—i + … + (—1)nσnan
onde

Já que σi > 0, para i ∈ {1, …, n} e an/= 0, então todos os coeficientes de p(x) são não nulos. Ademais, como an—i = (—1)iσian, e σi > 0, segue que

Isso nos diz que s(an—i) = (—1)is(an), portanto, os sinais nos coeficientes de p(x) alternam.
Corolário: Se todos os coeficientes de p(x) são diferentes de zero e alternam de sinal, então o p(x) não tem raízes negativas.
Prova: Considere o polinômio p(x) de coeficientes não nulos
p(x) = anxn + an—1xn—1 + … + a1x + a0
tal que os sinais nos seus coeficientes alternam, ou seja,

Tendo em vista que
p(—x) = (—1)nanxn + (—1)n—1an—1xn—1 + … + (—1)a1x + a0,
segue que qualquer coeficiente de p(-x) da forma bj = (—1)jaj, logo

Desse modo, como não ocorre mudança de sinal nos coe cientes de p(-x), pelo Regra de Descartes p(-x) não tem raízes positivas. Como as raízes positivas de p(-x) são as raízes negativas de p(x), então o p(x) não tem raízes negativas.
Exemplo: Seja p(x) = x3 + 2x2 — 3x — 5. A sequência de sinais + + – -. Logo, V [p(x)] =1 e pode-se afirmar com exatidão que p(x) tem uma raiz positiva. Temos que p(—x) = —x3 + 2x2 + 3x — 5 e a sequência de sinais – + + – . Logo, temos duas trocas de sinais e da p(x) pode ter duas ou zero raízes negativas. Se p(x) tiver duas raízes negativas, então não terá nenhuma raiz complexa. Se, contudo, não tiver raízes negativas, então terá duas complexas conjugadas.
Exemplo: Seja p(x) = x4 — x3 + x2 — x + 1. A sequência de sinais + – + – +. Logo, V [p(x)]= 4, então p(x) tem 4, 2 ou 0 ra zes positivas. Como p(—x) = x4 + x3 + x2 + x + 1, então não temos troca de sinais e daí não temos raízes negativas. Logo, p(x) pode ter 4 raízes positivas, ou 2 raízes positivas e duas complexas, ou nenhuma raiz positiva e quatro complexas.
O teorema a seguir, trata-se de uma generalização do Teorema de Descartes.
Teorema: Se p(x) um polin mio com coe cientes reais de grau n e a ∈ R, então o número de raízes de p(x) maiores que a n o supera o número de mudanças de sinal na sequ ncia p(a), p'(a), p” (a),… E se for menor, a diferença é par.
Prova: Defina g(x) = p(x + a). Como já vimos, podemos escrever

Portanto, o número de variações de sinal nos termos da sequência p(a),p'(a), p” (a),…, coincide com V [g(x)] . Por outro lado, temos uma bijeção
σ : {α ∈ C; α > 0 e g(α) = 0} ↔ {β ∈ C; β > a, p(β) = 0}
dada por σ(α) = α+a. Como g(α)=0, temos p(α+a) = 0. Logo α + a é raiz de p(x) e certamente α + a>a. Além disso, a inversa σ—1 dada por σ—1(β)=β — a, pois g(β — a) = p(β) = 0. Portanto, se denotarmos por Pa o número de raízes de p(x) maiores que a, temos que Pa = P [g(x)] . Pelo Teorema de Descartes, Pa = P [g(x)] ≤ V [g(x)] e se for menor, a diferença é par.
3. DISCUSSÃO
Muitas outras demonstrações da Regra de Sinais podem ser encontradas como a prova analítica de Budan–Fourier que utilizam expansões em série de Taylor e argumentos de variação de sinais. São conceitualmente elegantes, mas exigem pré-requisitos de Cálculo. Temos também as provas via Sturm que têm a vantagem de fornecer a contagem exata de raízes em intervalos, mas exigem o algoritmo euclidiano e manipulação de sequências de polinômios, o que é pesado para o ensino médio.
Como aplicação didática da Regra de Descartes, sugiro inicialmente uma exploração do tema, pedindo por exemplo que os alunos contem variações de sinais em polinômios e comparem com gráficos (GeoGebra). Outra forma interessante seria através de exercícios práticos, construir polinômios com máximo possível de raízes reais positivas e outros em que a diferença é par e também por meio de projetos investigativos, onde o aluno relaciona a regra de Descartes com a análise de equações de 3º e 4º graus estudadas no ensino médio.
Durante o trabalho de pesquisa pude perceber que as provas indutivas conhecidas de (Arthan, Wang) também exploram a relação entre multiplicação por fatores lineares e aumento de variações de sinais. Percebo que a minha prova se aproxima dessas, mas é mais estruturada em lemas claros e exemplos, além de trazer uma sequência didática que facilita a compreensão, sendo mais simples e adaptada a níveis básicos.
Dessa forma, este trabalho ganha força didática na clareza da indução algébrica, que substitui o uso do Cálculo, tornando o raciocínio acessível aos alunos que estão concluindo o ensino médio, distinguindo-se por ser ao mesmo tempo rigoroso e pedagógico: os lemas podem ser apresentados gradualmente em aula, com exemplos de polinômios de baixo grau.
4. CONCLUSÃO
A prova apresentada é uma contribuição didático-pedagógica para o estudo da Regra de Sinais de Descartes. Ao dispensar ferramentas analíticas e se apoiar em raciocínios puramente algébricos e indutivos, ela possibilita a alunos do ensino médio compreenderem um resultado central da álgebra polinomial com rigor e clareza. Comparada às demonstrações tradicionais (Budan–Fourier, Sturm, provas formais), a sua versão equilibra simplicidade e completude, servindo tanto ao ensino quanto à formação inicial em matemática.
REFERÊNCIAS
NASCIMENTO, C. K. A. Polinômios, equações algébricas e o estudo de suas raízes reais. Dissertação de Mestrado Profissional em Matemática (PROFMAT) – Universidade Federal do Ceará, Fortaleza, 2015.
Descartes, R. (1637). La Géométrie. Leiden: Jan Maire.
(Obra original em que Descartes apresenta a regra dos sinais).
Boyer, C. B. & Merzbach, U. C. (2011). História da Matemática. 3ª ed. São Paulo: Blucher.
Klein, F. (1968). Elementary Mathematics from an Advanced Standpoint. Volume I: Arithmetic, Algebra, Analysis. New York: Dover.
Pólya, G. (1985). How to Solve It. Princeton University Press.
