APPLICATION OF DIFFERENTIAL AND INTEGRAL CALCULUS IN DETERMINING THE COEFFICIENT OF LINEAR THERMAL EXPANSION
REGISTRO DOI: 10.69849/revistaft/cl10202510141831
Carlos Henrique Dutra França1
Eduardo Henrique Miranda Barboza1
Wallaff Policarpo da Silva1
Lourenço Manuel2
Marcelo Carlos Ribeiro3
Aurélio Ferreira Melo4
André Mendes5
Jackelya Araújo da Silva6
José Marcelo de Oliveira7
Juracy Mendes Moreira8
Resumo
Grande parte da teoria estudada em engenharia civil é permeada de conceitos matemáticos, desde a geometria analítica, passando pela álgebra linear e pelo cálculo diferencial e integral, o estudo desses conceitos e suas aplicações na engenharia civil compõem o objetivo principal deste estudo. O estudo nos permitiu observar uma gama muito grande de aplicações de cálculo diferencial e integral, o que gerou um estímulo a continuar nesse campo de pesquisa, se considerarmos uma função do primeiro grau do tipo f(x)=ax+b, o coeficiente de dilatação térmica é o mesmo que o coeficiente linear da reta que nos dá a variação na direção x e que é também uma constante de regressão, e representa cada unidade da dilatação dentro de cada unidade de temperatura. O experimento foi desenvolvido no laboratório de física da UniBRAS (Centro Universitário Montes Belos), sendo utilizado três barras metálicas (cobre, latão e aço). Foi realizada a priori uma pesquisa bibliográfica com dados teóricos e conceituais em literatura própria. De acordo com (GIL 2002) um trabalho experimental deve inicialmente determinar as variáveis que se quer estudar e como elas se comportam e ainda quais são os fatores que podem influenciar nas variações do objeto em estudo. Foi utilizado como ferramenta aparelhos e equipamentos presentes no laboratório da já citada IES. Os resultados obtidos para a Barra de cobre, Barra de latão e Barra de aço, foram de: α=1,42×10-5, α=1,51×10-5, α=1,03×10-5, respectivamente. Podemos concluir que existe uma tendência dos corpos entrarem em equilíbrio com o meio ambiente, ou seja, a partir de um determinado momento a temperatura tende a estabilizar, isso se deve às trocas de calor entre o corpo e o ambiente.
Palavras-chave: Engenharia. Regressão. Temperatura.
Abstract
Much of the theory studied in civil engineering is permeated by mathematical concepts, from analytic geometry to linear algebra and differential and integral calculus. The study of these concepts and their applications in civil engineering is the main objective of this study. The study allowed us to observe a wide range of applications of differential and integral calculus, which encouraged us to continue this field of research. If we consider a first-degree function of the form f(x)=ax+b, the coefficient of thermal expansion is the same as the linear coefficient of the line that gives us the variation in the x-direction and is also a regression constant, representing each unit of expansion within each unit of temperature. The experiment was developed in the physics laboratory at UniBRAS (Centro Universitário Montes Belos) and used three metal rods (copper, brass, and steel). A priori bibliographical research was conducted using theoretical and conceptual data from the relevant literature. According to (GIL 2002), experimental work must initially determine the variables to be studied and their behavior, as well as the factors that may influence variations in the object under study. Equipment and apparatus present in the laboratory of the aforementioned HEI were used as tools. The results obtained for the copper bar, brass bar, and steel bar were: : α=1,42×10-5, α=1,51×10-5, α=1,03×10-5, respectively. We can conclude that there is a tendency for bodies to reach equilibrium with the environment; that is, from a certain point onward, the temperature tends to stabilize, due to heat exchange between the body and the environment.
Keywords: Engineering. Regression. Temperature.
Introdução
Grande parte da teoria estudada em engenharia civil é permeada de conceitos matemáticos, desde a geometria analítica, passando pela álgebra linear e pelo cálculo diferencial e integral, o estudo desses conceitos e suas aplicações na engenharia civil compõe o objetivo principal deste estudo, foram selecionados livros e publicações científicas a partir das plataformas Google Scholar e periódicos da capes para compor e fundamentar a revisão bibliográfica da presente pesquisa. O estudo nos permitiu observar uma gama muito grande de aplicações de cálculo diferencial e integral, o que gerou um estímulo a continuar nesse campo de pesquisa, descobrindo assim uma infinidade de aplicações que a matemática possibilita para explicar fenômenos naturais e reais na engenharia civil. Se considerarmos uma função do primeiro grau do tipo f(x) = ax + b, o coeficiente de dilatação térmica é o mesmo que o coeficiente linear da reta que nos dá a variação na direção x e que é também uma constante de regressão, e representa cada unidade da dilatação dentro de cada unidade de temperatura.
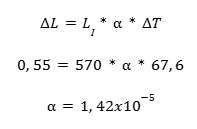
Segundo (ALVES FILHO, et. al., 1984) afirma que a dilatação pode variar de acordo com o material, ou seja, material diferente exposto à mesma temperatura terão dilatações diferentes. A variação de temperatura de um corpo é denominada de (∆T), e a variação de seu comprimento (∆L) conforme visto na equação (1).


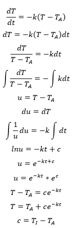
Em um estudo sobre aplicação de equações diferenciais na determinação do coeficiente de dilatação linear (THOMAS 2013) afirma a necessidade de modelar determinados comportamentos de um fenômeno ou de um sistema com base em modelos matemáticos, com o objetivo de auxiliar no estudo de outras áreas da ciência, ainda segundo o autor a modelagem por meio de uma equação diferencial baseia-se em encontrar a taxa de variação ao decorrer do tempo das grandezas. Segundo (BARIVIERA et. al., 2017) o método desenvolvido por Newton, em 1701, estava baseado no que hoje é conhecido como a lei do resfriamento de Newton, em que a taxa de diminuição da temperatura de um corpo é proporcional à diferença de temperaturas entre o corpo e o ambiente. Segundo (SUSIN et. Al., 2013) às leis que controlam a termodinâmica têm caráter diferentes, sabe-se que quando aquecemos um corpo as variações de temperatura o corpo pode apresentar mudanças em suas propriedades físicas. Se aumentamos a temperatura sob tensões mecânicas constantes, suas dimensões lineares aumentam, e em consequência seu volume também aumenta, chamamos isso de dilatação térmica. Em um estudo que descreve a evolução da medida da temperatura (PIRES et.al., 2006) afirma que as escalas termométricas atuais são baseadas na dilatação volumétrica de líquidos, e ainda segundo os autores novos métodos de medição de temperatura foram desenvolvidos, os autores puderam concluir que a contribuição mais importante na medição de temperatura foi a criação das escalas internacionais de temperatura. De acordo com (PRECKER et. al., 1997) os dados experimentais podem conter alguns tipos de erros, podemos citar: erros de leitura de uma determinada medida, de calibração de algum equipamento, erros nos cálculos, e ainda erros de anotação.
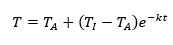
De acordo (SOUZA, 2007 ) em 1701, Isaac Newton publicou o artigo “Scala Graduum Caloris”, descrevendo um método para medir temperaturas de até 1000 °C, o que era considerado impossível para os recursos da época. Esse método recebeu o nome de “lei do resfriamento de Newton”. Ela prova que a taxa de variação da temperatura de um objeto é proporcional à diferença entre o objeto e o meio ambiente. Segundo (SUSIN 2013), o modelo matemático que define a lei proposta por Isaac Newton pode ser escrito como:

Sendo dT é a variação de temperatura sofrida pelo corpo; dt variação de tempo; k uma constante de proporcionalidade; T a temperatura inicial do objeto e TA temperatura ambiente.
Desenvolvendo a equação (2), podemos encontrar a fórmula da temperatura em função do tempo, para isso aplicamos métodos de integração.


Sendo TI a temperatura Inicial.
2. Materiais e métodos
O experimento foi desenvolvido no laboratório de física da UniBRAS (Centro Universitário Montes Belos) na cidade de São Luís de Montes Belos – Goiás, sendo utilizado três barras metálicas (cobre, latão e aço). Foi realizada a priori uma pesquisa bibliográfica com dados teóricos e conceituais em literatura própria. De acordo com (GIL 2002) um trabalho experimental deve inicialmente determinar as variáveis que se quer estudar e como elas se comportam e ainda quais são os fatores que podem influenciar nas variações do objeto em estudo. Foi utilizado como ferramenta aparelhos e equipamentos presentes no laboratório da já citada IES. Este trabalho teve o objetivo de determinar o coeficiente de dilatação térmica de três barras metálicas. Os equipamentos utilizados foram:
- Dilatômetro linear;
- Termômetro;
- Recipientes com água;
- Três barras metálicas;
- Lamparina.
Para a realização deste experimento, algumas etapas tiveram de ser observadas, são elas:
- A verificação da temperatura inicial do ambiente TI;
- O comprimento inicial de cada barra Li medida com equipamento adequado;
- Aferir a calibração do relógio comparador;
- Ligar a chapa aquecedora com o recipiente de calor;
- Conectar, com a mangueira, a barra de alumínio ao recipiente de pressão;
- Anotar a medida da temperatura dentro do recipiente;
- Verificar a saída do vapor d’água na extremidade livre da barra;
Para a determinação da temperatura inicial da barra, considerou-se a temperatura da água no ambiente, dessa maneira e com o uso da equação (1), pode se determinar o coeficiente de dilatação linear.
3. Resultados e discussão
O aquecimento ou resfriamento de um corpo depende do material o qual foi fabricado e das condições climáticas do ambiente. Com o uso da equação (1), foi possível determinar para cada barra um coeficiente de dilatação linear.
Barra de cobre:
- Temperatura da inicial da água era de: 32,4°C
- Temperatura final da água era de: 100°C
- Temperatura inicial da barra no tempo 0 horas era igual a temperatura da água no ambiente;
- Temperatura final da barra no tempo 0,00916667 horas: 100°C;
- Tamanho inicial da barra de cobre LIc: 570mm.
- Tamanho final da barra de cobre LFc: 570,55mm.
O coeficiente de dilatação linear para a barra de cobre foi dado por:

Barra de latão:
- Temperatura da inicial da água era de: 32,4°C
- Temperatura final da água era de: 100°C
- Temperatura inicial da barra no tempo 0 horas era igual a temperatura da água no ambiente;
- Temperatura final da barra no tempo 0,00472222 horas: 100°C;
- Tamanho inicial da barra de latão LIl: 570mm.
- Tamanho final da barra de latão LFl: 570,585mm.
O coeficiente de dilatação linear para a barra de latão foi dado por:

Barra de aço:
- Temperatura da inicial da água era de: 32,4°C
- Temperatura final da água era de: 100°C
- Temperatura inicial da barra no tempo 0 horas era igual a temperatura da água no ambiente;
- Temperatura final da barra no tempo 0,00944444 horas: 100°C;
- Tamanho inicial da barra de aço LIa: 570mm.
- Tamanho final da barra de aço LFa: 570,40mm.
O coeficiente de dilatação linear para a barra de aço foi dado por:

Após a coleta dos dados iniciais e a apresentação do modelo proposto, verificou-se o comprimento inicial de cada barra e após as barras passarem pelo processo de dilatação foi verificado novamente o comprimento das barras e com o auxílio do relógio comparador foi possível verificar a dilatação sofrida em cada uma das barras. Obtendo assim o comprimento final da barra LF.
Os coeficientes de dilatação apresentados em cada barra foram próximos dos coeficientes citados nas literaturas. As diferenças encontradas são devido a fatores não considerados neste experimento.
De acordo com (PIZETTA et. al., 2014) que em um estudo sobre a dilatação térmica linear concluíram que os valores do coeficiente de dilatação térmica de diferentes materiais como alumínio, latão, cobre, cimento e vidro foram obtidos e mostraram um bom acordo quando comparados com os valores disponíveis na literatura. Segundo (BALAN et. al., 2025) em um estudo sobre o conceito dilatação térmica dos sólidos, com o objetivo de estudar os conceitos de temperatura, calor e dilatação linear, foi proposto dilatar um tubo de ferro, cobre e alumínio e seguidamente calcular o coeficiente de dilatação de cada material, os resultados apresentados foram muito próximos dos encontrados na literatura própria. Segundo (CAETANO et. al., 2022) em experimento baseado em efeito Joule para a determinação do coeficiente linear de dilatação do cobre, constatou-se que é possível obter bons resultados, desde que o tempo de aquecimento do material seja da ordem de 3 segundos ou menos. Dentro desses limites, os resultados apresentaram desvios relativos inferiores a 7%, em módulo.
4. Conclusão
Podemos concluir que existe uma tendência dos corpos entrarem em equilíbrio com o meio ambiente, ou seja, a partir de um determinado momento a temperatura tende a estabilizar, isso se deve às trocas de calor entre o corpo e o ambiente.
Referências
ALVES FILHO, Avelino; OLIVEIRA, Edson Ferreira de; ROBORTELLA, José Luís de Campos. Física: termologia e óptica geométrica. São Paulo: Ática, 1984. 2 v.
BALAN, Ana Julia; LIMA, Letícia Matos de; MORAES, Luana Aparecida; HACKE, Orestes; ENDLER, Leonardo Wagner; WITT, Ederson; POVALUK, Maristela. A importância do estudo e aplicação de aulas práticas sobre dilatação térmica dos sólidos para o ensino médio. Revista Educação e Saber -REdeS (ISSN –2965-9264) v. 2, n. esp. Anais do II Seminário Internacional, V Seminário Nacional e VII Seminário Regional sobre Educação e Desenvolvimento Regional, p. 307-324, 2025.
BARIVIERA, Gabriela Duarte; MUMBERGER, Graziane Mariana; SANTOS, L. A.; PÁDUA, Súzan Grazielle Benetti de. d. Lei de resfriamento de Newton: Resolução por edo e método de Euler. Anais Inovação e Tecnologia, Gestão e Sustentabilidade, v. 03, n. 3, 2017.
CAETANO, Thiago Costa; MOREIRA, Camila Cardoso; OLIVEIRA, Isabela Dutra de. Desenvolvimento de um experimento didático operável remotamente para o ensino de termometria: um método para a determinação do coeficiente de dilatação linear do cobre baseado em efeito Joule. Revista Brasileira de Ensino de Física, vol. 44, e20220125 (2022)
GIL, Antônio Carlos. Como Elaborar Projetos de Pesquisa, 4º Edição, EDITORA ATLAS S.A. São Paulo, 2002
PIRES, Denise Prazeres Lopes; AFONSO, Júlio Carlos; CHAVES, Francisco Artur Braun. A termometria nos séculos XIX e XX. Revista Brasileira de Ensino de Física, v. 28, n. 1, p. 101 – 114, 2006
PIZETTA, Daniel Cosmo; MASTELARO, Valmor Roberto. Construção de um dilatômetro e determinação do coeficiente de dilatação térmica linear. Rev. Bras. Ensino Fís. 36 (1) • Mar 2014
PRECKER, J. W.; SILVA, W. P. da. O modelo da dilatação térmica e os erros sistemáticos. Revista Brasileira de Ensino de Física, v. 19, n. 3, p. 311–314, 1997.
SOUZA, Luiz Fernando; AGUIAR, Carlos Eduardo. Um experimento sobre a dilatação térmica e a lei de resfriamento. 2007. 25 f. TCC (Graduação) – Curso de Licenciatura em Física, Universidade Federal do Rio de Janeiro, Rio de Janeiro- RJ, 2007
SUSIN, Robson; CARGNELUTTI, Jocelaine; SEGOBAIA B. Pedro. Aplicação da Lei do Resfriamento de Newton em blocos cerâmicos: modelagem, resolução analítica e comparação prática dos resultados. I Semana da Matemática da UTFPR – Toledo Perspectivas do Ensino e da Pesquisa em Matemática. Toledo, 2013.
THOMAS, Lucas Rangel. O uso de equações diferenciais na modelagem de sistemas naturais e outros. Faculdade UnB Planaltina, Universidade de Brasília, Brasília, 2013.
1Discente de eng. civil, Centro Universitário UniBras Montes Belos São Luís de Montes Belos – Goiás.
2Professor Dr. Centro de Excelência em Sistemas Agroalimentares e Nutrição, Universidade Eduardo Mondlane (UEM). Moçambique – África.
3Professor Dr. Universidade Federal de Ouro Preto (UFOP) – Ouro Preto-MG.
4Professor Dr. Faculdade de Gestão Integrada – FGI – Goiânia-GO.
5Professor Dr. Instituto Federal de Educação Ciência e Tecnologia de Minas Gerais. Campus Ponte Nova.
6Professora Dra. Universidade Federal do Piauí (UFPI).
7Professor MsC. Secretaria de Estado da Educação (SEDUC). Colégio Estadual Alvino Pereira Rocha.
8Professor MsC. Centro Universitário UniBras Montes Belos São Luís de Montes Belos – Goiás.
