REGISTRO DOI: 10.69849/revistaft/ni10202512201501
Edilson Soares de Melo Júnior
Jornandes Dias da Silva*
Abstract
The heat and mass transfer processes of the steam reforming of toluene (SRT) in a solar thermochemical reactor (STR) have been numerically studied. The mathematical modeling is focused on the heat and mass transfer phenomena integrated to thermochemical kinetic model in STR. The action of several parameters including the superficial velocity (Vsg), residence time (tr) and operating temperature (Top.) were evaluated. As results, when the Vsg is increased, the temperature profiles of the gas phase are remarkably decreasing. The reactant mole concentration (C7H9 and H2O) distributions decrease sharply along the STR length. On the other hand, product mole concentration distributions increase remarkably along the STR length. According to simulated results, the overall conversions of C7H9 reach the maximum value of 94.58% at the operating time of 3.0 hours. The dimensionless flow rate (DFR) of (H2 and CO) products is remarkably increased with the operating temperature and the maximum values of H2 and CO can be achieved 1.6521, 0.2548 at 1250K.
Keywords: Modelling, Energy, Simulation, Thermochemical
1. Introduction
Solar energy is used as a renewable energy sources in recent years because of the environmental problems against conventional power generation methods that depend on fossil fuels. The issues of fossil fuel depletion and climate change have resulted in development of solar industrial process solutions. Reforming system which makes use of solar heat to drive high temperature endothermic chemical reactions are known as solar thermochemical processes (Dolan et al., 2016). Solar thermochemical reforming is based in the use of concentrated solar energy as a heating source of high temperature for conducting an endothermic chemical transformation (Yu and Reitz, 2019; Abdesslem et al., 2013). The solar reforming technology can be employed to produce renewable energies (such as solar hydrogen) from solar thermochemical reaction combinations.
As an emerging energy technology, solar driven steam reforming of toluene (SRT) can be considered as a promising process for producing solar hydrogen (H2). The solar driven toluene reforming is based on the utilization of concentrated solar irradiation (CSI) as an energy source to maintain high operating temperature.
Accordingly, it was defined the concept of solar thermochemical reactor (STR) to study the SRT process (Modest, 2013). STR is an important and valuable device for reforming process where many applications can be carried out at high operating temperature. The modelling of STRs is still an open issue, thus the topic is a very actual subject for renewable energy engineering (Ceylan et al., 2017). Usually, physical and chemical parameters are simultaneously coupled in the mathematical model through the fluid-solid mass transfer, fluidsolid heat transfer, momentum transfer and chemical reactions processes (Chen et al., 2018). In this context, mathematical models are efficiently used as tool to analyze the reactor design and operating conditions from STR behavior.
In this work, a mathematical model has been developed to investigate the heat and mass transfer phenomena coupled with thermochemical reaction kinetics in STR. The performance from STR using the SRT process is numerically investigated in terms of the temperature profiles in the gaseous phase. In addition, the reactant and product distributions, effect of the operating time on the overall conversions of toluene, and the dimensionless flow rate (DFR) of H2 relative to initial concentration of toluene, respectively
2. Physical Model
2.1. Kinetic Mechanism
In this study, the SRT reaction was considered as follows.

The component models of these reactions are defined as toluene (C7H8), oxygen (O2), hydrogen (H2), carbon and monoxide (CO).
2.2. Thermochemical Modelling
The kinetic model of the global rate is given as follows.

Where RSRT (kmol/kgcat sec) is the global reaction rate, kr (m3/kgcat sec) is the constant of the global reaction rate (Eq. (1)), CC7H9 (kmol/m3) is the concentration of toluene, respectively; kr,0 (m3/kgcat sec) is the frequency factor, Ea (kJ/kmol) is the activation energy, R (kJ/kmol K) is the universal gas constant, Tg (K) is the gas phase, respectively.
The net rates of each chemical components (ri, i = CH4, H2O, CO and H2) are computed in Table 1 and can be found in Reference (Cruz and Silva, 2017).
Table 1: Net rates of components i from Eq. (1).

2.3. Thermochemical Process
In the last two decades, Researches have proven the efficient use of solar thermal energy for driving highly endothermic reforming reactions. For this purpose, a schematic setup (see Fig. 1) was employed to study the SRT process in STR.
Fig. 1: schematic setup from STR

2.4. STR modelling
The main purpose of this section is the development of a precise mathematical model that will be able to simulate the behavior of the SRT processing system. To evaluate the key variables of the developed mathematical modelling, we adopt the following assumptions: (i) ideal gas phase, (ii) axial dispersion inside from STR, (iii) no diffusion phenomena of chemical components at the catalyst surface and inside the catalyst occur, (iv) constant STR pressure (no pressure drop in the STR) and constant superficial velocity, (v) STR operates under dynamic regime, (v) ) porosity in the axial direction from STR was considered constant, (vi) constant physical properties (density, catalyst weight, uniform particle sizes) over the range of operating conditions from STR, respectively. Based on the above assumptions, the energy and mass equations (inside from STR) are formulated as follows.
– Energy balance in the gas phase;


The suitable initial and boundary conditions from Eq. (2a) are given as follows.




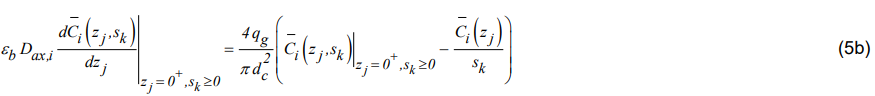
– Mass balance of components i (i = C7H8, H2O, CO and H2) in STR;

In Eq. (3a), Ci (kmol/m3) is the concentration of components i in the gas phase, qg (m3/sec) is the gas flow rate, dc (m) is the inner diameter from STR, Dax,i (m2/sec) is the axial mass dispersion coefficient of components i, ri (kmol/kgcat. sec) is the net rates from components i, respectively.
The suitable initial and boundary conditions from Eq. (3a) are reported as follows.




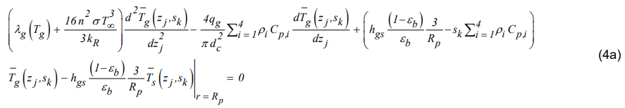
3. Application of the Laplace Transform

– Energy balance for the gas phase in the Laplace domain;

The boundary conditions from Eq. (4a) are transformed in the Laplace domain as follows.


– Mass balance of chemical components i in the Laplace domain;

The boundary conditions from Eq. (5a) are shown in the Laplace domain as follows.


3.1. Numerical Solution of Transformed Equations
The mathematical difficulties for solving a system of nonlinear ordinary differential equations are great due to the numerical stability. In view that, some numerical methods have been used to investigate numerical solutions. The selection of numerical method is dependent on the desired accuracy as well as concerns about the stability and robustness of the system while maintaining computational efficiency (Silva, 2015). In this study, the system of the transformed equations (Eqs. (4a) – (5c)) in jointly with the boundary conditions are discretized by finite volume (FV) method. After the discretization from the transformed equations using VF method, the inverse Laplace transformation is applied (Teles and Silva, 2015). The trapezoidal method was used to approximate the transformed functions in time domain and details can found in Ref. (Silva and Oliveira, 2012). It is found that the variation of integration step has negligible influence on the results obtained of this work. Therefore, an integration step of 10-6 was used to reach all the simulated results in this article.
4. Results and Discussions
4.1. Parameters of the Mathematical Model
A computational algorithm using the FORTRAN 95 was elaborated by the authors to solve the model equations mentioned in this work. Therefore, operating conditions, kinetic parameters, energy parameters, mass parameters for simulating the SRT process variables are presented in Table 2. As results, some physical parameters are defined as function of the operating temperature. Thus, these physical parameters were obtained at the operating temperature of the SRT process.
Table 2: Operating conditions, kinetic parameters and mass parameters.

4.2. Temperature Profiles and Reactant and Product Distributions
A mathematical model is developed based on heat and mass transfer processes coupled to the kinetic model of the SRT process in STR. Figs. 2 and 3 show the temperature profiles and reactant and product profiles from SRT.
Fig. 2 shows the temperature profiles of the gas phase along STR length with different inlet superficial velocity (Vsg). As it can be seen in Fig. 2, five different Vsg (0.90 – 1.90 m/sec) are used to check the effect of these Vsg on the temperature the temperature in the gas phase. The temperature profiles of the gas phase decreases from 1800K as the Vsg increases. For example, the temperature profiles of the gas phase is of 1242.37K when the Vsg is of 0.90 m/sec while it decreases to 1017.91K when the Vsg increases to 1.90 m/sec.
Furthermore, the thermal equilibrium temperature on the gas outlet surface increases with the decrease of the Vsg to keep total energy conservation of the SRT process. As consequence, the increase of the Vsg can effectively decrease the temperature in the gas phase and temperature gradient which in turn can increase the safety of the fixed bed of the STR.
Fig. 2: Comparisons of the temperature profiles of the gas phase along the STR length on Ni/γ-Aℓ2O3.

Fig. 3: Reactant and product distributions along the STR length on Ni/γ-Aℓ2O3.

Fig. 3 reports the reactant and product distributions along the fixed bed of the porous medium STR with radiative heat loss. As it was observed in this figure, the reactant mole concentration (C7H9, H2O) distributions decrease sharply along the fixed bed and then reactant mole concentration distributions have small fluctuation along the fixed bed up to the gas outlet surface. The mole concentration of H2 increases remarkably due to the thermal energy storage in the gaseous mixture and it reaches its maximum value and then it follows constant up to the outlet surface. On the other hand, the mole concentration of CO increases more slowly along the fixed bed and it achieves its maximum value and so it follows constant up to the gas outlet surface.
4.3. Conversions of C7H9 and DRT of H2 and CO
The SRT process can be characterized by the overall conversion of C7H9 on the model reaction. After reaching the stable levels of temperatures and concentrations of reactants and products, the overall conversion of C7H9 can be computed by Eq. (6a) below.

Fig. 4 shows the effect of the operating time on the overall conversion of C7H9 on the model reaction at operating conditions of 650 kPa and 1243.48K along the fixed bed from STR with radiative heat loss. beyond that, results of the overall conversion of C7H9 on the model reaction were computed at five different operating times. From Fig. 4, the overall conversion of C7H9 is achieved to be at the center of outlet surface with the values of 0.0000 (t1 = 0.00 hour), 0.5204 (t2 = 1.0 hour), 0.6873 (t3 = 1.5 hours), 0.8158 (t4 = 2.0 hours), and 0.9467 (t5 =3.0 hours), respectively.
The dimensionless flow rate (DFR) of H2 relative to initial concentration of C7H9 can be used as suitable me to compute the amount of H2 in the SRT process. Thus, the calculation of this DFR is carried out by Eq. (6b) as follows.

Fig. 4: Effect of the operating time on conversions of C7H9 along the STR length of the SRT reaction on Ni/γ-Aℓ2O3 (dp,av. = 96m) with 9% Ni loading.

Fig. 5: Effect of the operating temperature on the DRT of H2 and CO of the SRT on Ni/γ-Aℓ2O3 (dp,av. = 96μm) with 9% Ni loading.

Fig. 5 shows the effect of the operating temperature on the DFR of H2 of the SRT process with radiative heat loss. The DFR of H2 increases with the increase the operating temperature due to endothermicity of the SRT reaction (Eq.(1a)). As it can be seen in Fig. 5, this fact leads to higher DFR of H2 at higher operating temperature.
5. Conclusions
The heat transfer and thermochemical performance of the SRT process are numerically investigated with radiative heat loss. A mathematical model was developed to simulate the heat and mass transport coupled with thermochemical reaction kinetic. For this purpose, the finite volume method was used to solve the mathematical model.
- The temperature profiles of the gas phase are sharply affected by the Vsg. As results, reaction temperature at the outlet surface region from the STR has varied of 1017.19 < Treact. < 1243.48K.
- The reactant (C7H9 and H2O) distributions decrease sharply along the STR length while product (H2 and CO) distributions increase remarkably along the STR length.
- The overall conversion of C7H9 had reached a value of 94.58% at the operating time of 3.0 hours.
- The DFR of products (H2 and CO) is remarkably increased with the operating temperature and its maximum values had reached 1.6521 and 0.2548 at 1250K.
References
Abdesslem J, Khalifa S, Abdelaziz N, Abdallah M, 2013, Radiative properties effects on unsteady natural convection inside a saturated porous medium. Application for porous heat exchangers, Energy, 61, 224-233.
Cruz B M, Silva J D, 2017, A two-dimensional mathematical model for the catalytic steam reforming of methane in both conventional fixed-bed and fixed-bed membrane reactors for the Production of hydrogen, Int J Hydrogen Energy, 42, 23670-23690.
Ceylan I, Gurel A E, Ergun A, 2017, The mathematical modeling of concentrated photovoltaic module temperature. Int J Hydrogen Energy, 42, 19641-19653.
Chen X, Wang F, Yan X, Cheng Z, Han Y, Jie Z, 2018, Thermal and chemical analysis of methane dry reforming in a volumetric reactor under highly concentrated solar radiation, Sol Energy, 162, 187-195.
Dolan M D, Beath A C, Hla S, Way J D, Abu El Hawa H W, 2016, An experimental and techno-economic assessment of solar reforming for H2 production. Int J Hydrogen Energy, 41, 14583-14595.
Modest M F, 2013, Radiative Heat Transfer. Burlington: Academic Press, third ed.

Silva J. D, 2015, Numerical modelling for a catalytic trickle-bed reactor using Laplace transform technique. Chem Eng Trans, 43, 1573-1578.
Silva J. D, Oliveira C B, 2012, Fluidynamics modelling for a fixed bed gasifier using Laplace transform finite difference method. Proc Eng, 42, 753-769.
Teles V. H. B, Silva J. D, 2015, Pressure swing adsorption technology using 5A zeolite for the removal of H2S in the fixed bed reactor. Chem Eng Trans, 43, 1111-1116.
Yu Z, Reitz R D, 2019, Numerical investigation of radiative heat transfer in internal combustion engines. Appl Energy, 235,147-163.
*Polytechnic School – UPE
Laboratory of Environmental and Energetic Technology
Corresponding author: E-mail address:jornandesdias@poli.br
