FUNCTIONAL PROFILE OF CRITICALLY ILL PATIENTS: A RETROSPECTIVE ANALYSIS
REGISTRO DOI: 10.69849/revistaft/ch10202511230906
Maria Eduarda Bittencourt Silva1; Layssa Mel Ribeiro Lima2; Luis Felipe Pantoja Siqueira3; Débora Elem Cruz Monteiro4; Paula Izabelle Pantoja Veloso5; Ildene Lucas Campelo Soares6; Axell Lins7
RESUMO
Introdução: Pacientes críticos internados em Unidades de Terapia Intensiva (UTI) apresentam elevado risco de comprometimento funcional decorrente da imobilidade prolongada, suporte ventilatório e presença de comorbidades, fatores que contribuem para a fraqueza muscular adquirida na UTI e prejuízo da autonomia pós-alta. A avaliação funcional mediante instrumentos padronizados é fundamental para orientar decisões clínicas. Objetivo: Traçar o perfil funcional de pacientes críticos por meio da escala Functional Status Score for the Intensive Care Unit (FSS-ICU), relacionando funcionalidade, tempo de internação, ventilação mecânica invasiva (VMI) e comorbidades. Métodos:Estudo retrospectivo, multicêntrico e longitudinal realizado com análise de 1.292 prontuários de pacientes internados entre janeiro de 2021 e janeiro de 2025 em um hospital de referência no Pará. Foram incluídos indivíduos maiores de 18 anos com permanência mínima de 48 horas e registro da FSS-ICU na admissão e na alta; dados clínicos e funcionais foram analisados por testes T, Wilcoxon e Mann-Whitney (p < 0,05). Resultados: Não houve diferença funcional significativa entre os gêneros, embora os homens tenham permanecido por mais tempo na UTI. O uso de VMI esteve associado a menor funcionalidade inicial e final, além de aumentar o tempo de internação. Doença renal crônica, cardiopatias e acidente vascular encefálico foram as comorbidades mais relacionadas à intubação e pior desempenho funcional. Conclusão: O comprometimento funcional em pacientes críticos está diretamente associado à exposição prolongada à ventilação mecânica e às comorbidades, evidenciando a vulnerabilidade clínica desses indivíduos. A utilização da FSS-ICU mostrou-se eficaz para monitorar a evolução funcional e orientar intervenções individualizadas, reforçando a necessidade da mobilização precoce e reabilitação intensiva para reduzir desfechos negativos pós-UTI.
Palavras-chave: Ventilação mecânica; Funcionalidade; ITU; FSS-UTI; Mobilização precoce.
ABSTRACT
Introduction: Critically ill patients admitted to Intensive Care Units (ICUs) present a high risk of functional impairment due to prolonged immobility, ventilatory support, and the presence of comorbidities, factors that contribute to ICU-acquired muscle weakness and impaired post-discharge autonomy. Functional assessment using standardized instruments is fundamental to guide clinical decisions. Objective: To outline the functional profile of critically ill patients using the Functional Status Score for the Intensive Care Unit (FSS-ICU) scale, relating functionality, length of stay, invasive mechanical ventilation (IMV), and comorbidities. Methods: A retrospective, multicenter, and longitudinal study was conducted analyzing 1,292 medical records of patients admitted between January 2021 and January 2025 to a reference hospital in Pará. Individuals over 18 years of age with a minimum stay of 48 hours and FSS-ICU record at admission and discharge were included. Clinical and functional data were analyzed using T-tests, Wilcoxon tests, and Mann-Whitney tests (p < 0.05). Results: There was no significant functional difference between genders, although men remained in the ICU for a longer time. The use of mechanical ventilation was associated with lower initial and final functionality, as well as increased length of stay. Chronic kidney disease, heart disease, and stroke were the comorbidities most related to intubation and poorer functional performance. Conclusion: Functional impairment in critically ill patients is directly associated with prolonged exposure to mechanical ventilation and comorbidities, highlighting the clinical vulnerability of these individuals. The use of the ICU Functional Score (FSS-ICU) proved effective in monitoring functional evolution and guiding individualized interventions, reinforcing the need for early mobilization and intensive rehabilitation to reduce negative post-ICU outcomes.
Keywords: Ventilação mecânica; Funcionalidade; UTI; FSS-ICU; Mobilização precoce.
INTRODUÇÃO
As Unidades de Terapia Intensiva (UTI’s) são unidades hospitalares especializadas em fornecer suporte intensivo para pacientes com quadros graves e potencialmente fatais. O perfil desse paciente crítico engloba características e condições clínicas que requerem monitoramento intensivo e cuidados multiprofissionais, onde podemos incluir o estado de saúde, instável e estável; monitoramento intensivo de sinais vitais; intervenções médicas avançadas como a ventilação mecânica; presença de comorbidades e vulnerabilidade (Siddika, 2023).
As Doenças Críticas Crônicas (DCC), têm um alto risco de mortalidade nas UTI’s. Há uma grande lacuna no conhecimento sobre a carga de doenças críticas em termos de prevalência e incidência, entretanto, em tentativas anteriores de estimar a carga de doenças críticas, um estudo de coorte observacional retrospectivo em Israel, EUA e Austrália foi realizado. As características das variáveis utilizadas como critério de admissão nas UTI’s dessas nações foram: idade mais jovem, sexo masculino, pontuação em escalas utilizadas (LAPS e Charlson) e diagnósticos primários, dentre os principais por média foram a Insuficiência Respiratória Aguda (0,6%); Sepse (3,2%), Ataque Isquêmico Transitório e/ou Acidente Vascular Encefálico (3,2%) e Trombose Venosa Profunda e/ou Embolia Pulmonar (1,35%) mais recorrentes (Abuhasira, 2022).
Nos países de rendimento baixo e médio, como é observado na Uganda, os principais fatores de risco para mortalidade na UTI incluíram idade ≥ 45 anos, necessidade de ventilação mecânica, necessidade de suporte vasopressor/inotrópico e soropositividade para HIV, mas enfrentam uma taxa de mortalidade estimada quase quatro vezes superior à dos seus homólogos em países de rendimento elevado (Atumanya, 2024). Na Suécia, a prevalência de doenças graves tratadas em hospitais em adultos é de 19,4 por 100.000 pessoas. Entre os pacientes hospitalizados, um em cada dez estava gravemente doente, a grande maioria dos quais (94%) foi tratada fora da UTI (Schell, 2023). Outro estudo realizado no Malawi, Sri Lanka e Suécia, o estudo revelou um fardo significativo de doenças graves em hospitais em diferentes ambientes globais. Um em cada oito pacientes hospitalizados estava gravemente doente, 19% deles morreram no hospital e 96% dos pacientes foram tratados fora das unidades de cuidados intensivos (Schell, 2024).
No Brasil, segundo Aguiar (2021), o perfil sociodemográfico e clínico se delimita em 81% do sexo masculino, com predominância de faixa etária superior a 70 anos. Quanto às causas de internação em terapia intensiva, foram descritas diversas doenças, com destaque para as doenças cardiovasculares, uso de VMI, variando de 10,7% a 74,3% dos pacientes e o uso de drogas vasoativas e terapia renal substitutiva também estavam presentes, entretanto em menor escala. Para reduzir esses efeitos colaterais, manter o estado funcional do paciente durante a admissão na unidade de terapia intensiva UTI e prevenir a perda de autonomia são essenciais e a mobilização precoce é uma abordagem terapêutica vital para conseguir isso.
A capacidade de mobilização precoce durante as primeiras 48 horas após a admissão na UTI tem como objetivo prevenir a perda e a Fraqueza Muscular Adquirida (FMA) e preservar a força, desempenha um papel crucial no sentido de diminuir o estado crítico e, até mesmo, o tempo de internação do paciente no ambiente hospitalar (Lorenz, 2023; Yang, 2023). A ICUAW é uma síndrome neuromuscular proveniente de várias complicações críticas, tais como infecções, como a sepse, ventilação mecânica (VM) e um maior tempo de internação, apesar de não possuir uma etiologia específica, podemos citar alguns mecanismos fisiopatológicos que podem estar envolvidos, sendo eles o desequilíbrio entre síntese e degradação de proteínas, disfunção de mitocôndrias, alterações na função do retículo sarcoplasmático, destruição da estrutura do miofilamento, neuropatia entre outros (Khalil, 2023; Voiriot, 2022). Nesse contexto, a mobilização precoce e a fisioterapia motora, dotada de práticas que envolvem exercícios ativos e passivos, transferências, mobilizações, dentre outros, possuem um papel importante no que diz respeito à melhora da funcionalidade do paciente (Chen, 2024).
A Escala de Status Funcional para Unidade de Terapia Intensiva (Functional Status Score for the Intensive Care Unit FSS-ICU) é um instrumento utilizado pelos fisioterapeutas para avaliar a função física de pacientes criticamente enfermos. Trata-se de uma escala ordinal composta por cinco itens que avaliam tarefas de mobilidade, como rolar no leito, passar da posição deitada para sentada, transferir-se da posição sentada para em pé, manter-se sentado à beira do leito e deambular. A pontuação total varia de 0 a 35 pontos, sendo que valores mais altos indicam maior nível de funcionalidade física. A FSS-ICU destaca-se por ser de fácil aplicação, podendo ser incorporada à rotina clínica sem necessidade de equipamentos adicionais (WU et al, 2024)
A análise do perfil funcional de pacientes críticos é de grande relevância, pois possibilita compreender os impactos da imobilidade, do uso de ventilação mecânica e das complicações clínicas sobre a capacidade funcional desses indivíduos, contribuindo para o aprimoramento das práticas de cuidado e de reabilitação precoce. Em um contexto em que a sobrevida é prioridade, a avaliação funcional é essencial para reduzir o tempo de internação, prevenir incapacidades e melhorar a qualidade de vida após a alta hospitalar. A aplicação da Escala de Status Funcional para Unidade de Terapia Intensiva (FSS-ICU) permite quantificar e monitorar, de forma objetiva, a evolução da funcionalidade, favorecendo condutas fisioterapêuticas individualizadas e baseadas em evidências. Os principais beneficiários dos resultados deste estudo são os pacientes, que poderão receber intervenções mais direcionadas à recuperação funcional, e os profissionais da equipe multiprofissional, que passam a dispor de informações que orientam decisões clínicas mais assertivas. Além disso, este estudo contribui para a área acadêmica e científica ao fornecer dados funcionais sobre pacientes críticos. Dessa forma o presente estudo teve como objetivo traçar o perfil funcional através da escala FSS-ICU em um hospital de referência do estado do Pará.
MÉTODOS
1.1 Tipo de Estudo
Trata-se de um estudo retrospectivo, multicêntrico, longitudinal, analítico e cego através de análise de prontuário eletrônico e/ou físico de pacientes que estiveram internados no período de janeiro de 2021 a janeiro de 2025 em UTI’s adulto.
1.1.1 Local Da Realização Do Estudo
A pesquisa será realizada no Setor de Serviço de arquivo médico e estatística (SAME) do Hospital Regional Dr Abelardo Santos (HRAS), localizado na Avenida Augusto Montenegro Km 13, S/N, Bairro Agulha, Campina-Icoaraci, CEP: 66013-090 no município de Belém, PA – Brasil
1.2 Critérios de Inclusão E Exclusão
Os critérios de inclusão e exclusão foram definidos de forma a garantir a consistência e relevância dos dados analisados. Foram incluídos no estudo os prontuários de pacientes com idade superior a 18 anos, que possuíam registro de avaliação funcional realizada por meio da Escala de Estado Funcional para Unidade de Terapia Intensiva (FSS-ICU) (Anexo I) no Hospital Regional Abelardo Santos (HRAS). Foram considerados elegíveis aqueles que permaneceram internados em unidades de terapia intensiva adulto por período superior a 48 horas, independentemente de terem sido submetidos à intubação orotraqueal, incluindo usuários de traqueostomia e pacientes em período pós-operatório. Foram excluídos os prontuários que apresentavam registros incompletos das avaliações fisioterapêuticas ou das escalas selecionadas, bem como aqueles em que não foi identificado declínio funcional durante o acompanhamento.
1.3 Análise de Dados
Os dados serão distribuídos em planilhas do programa de computador Microsoft Excel Office 2007 (Windows), identificados com as variáveis citadas anteriormente. Eles serão tratados por métodos estatísticos e porcentagem incluindo medidas de tendência central e de dispersão de acordo com cada dado específico. A análise será feita após avaliação, interpretação e correlação dos resultados coletados, onde os dados numéricos serão quantificados através do teste T e Wilcoxon para comparar as variáveis. Serão realizados testes não paramétricos para comparação, com um nível de significância estatística de 5%
1.4 Procedimento
A coleta de dados será realizada por meio da análise de prontuários localizados no Setor de Arquivo Médico e Estatística (SAME) do Hospital Regional HRAS, com caráter exclusivamente documental e retrospectivo, não havendo contato com os pacientes ou qualquer membro da equipe assistencial. Toda a consulta aos registros será feita presencialmente, dentro das dependências do SAME, sem a realização de fotografias, digitalizações ou fotocópias, garantindo a confidencialidade e a preservação das informações contidas nos prontuários. Serão coletadas as seguintes variáveis: idade, gênero, diagnóstico clínico principal, tempo de permanência na Unidade de Terapia Intensiva (UTI), necessidade de suporte ventilatório (ventilação mecânica invasiva ou não invasiva) e os valores da Escala Functional Status Score for the ICU (FSS-ICU) registrados na admissão e na alta da UTI. Esses dados serão organizados em planilha digital própria para análise, contendo apenas informações codificadas, sem qualquer identificação pessoal, assegurando sigilo, anonimato e cumprimento das normas éticas vigentes. A partir dessas informações, será possível caracterizar o perfil dos pacientes avaliados, bem como analisar a evolução funcional durante o período de internação na UTI e verificar possíveis relações entre o uso de ventilação mecânica, o tempo de permanência e a variação da funcionalidade segundo a FSS-ICU.
RESULTADOS
A classificação do estudo foi concluída com um quantitativo de 1.646 de um total de 2000 pacientes. Foram excluídos 36 por informações inconclusas e 318 pela falta de acesso aos dados do paciente nos registros hospitalares, resultando em uma coleta final de 1.292 indivíduos. A distribuição dos resultados está representada através de tabelas em conformidade com o perfil traçado de cada paciente.
O gráfico 1 demonstra a correlação da funcionalidade entre o gênero e tempo de internação. Nesse contexto, observa-se que não houve diferença estatisticamente significativa entre homens e mulheres nos escores do FSS-ICU tanto na admissão quanto na alta, indicando que o nível de funcionalidade apresentou comportamento semelhante entre os grupos. Entretanto, foi encontrada uma diferença significativa no tempo de internação, sendo maior no grupo masculino. Esse resultado sugere que, embora ambos os sexos apresentam evolução funcional parecida durante a internação na UTI, os homens tendem a permanecer internados por um período mais prolongado.
Gráfico 1 – Análise comparativa da funcionalidade entre gêneros e tempo de internação

A tabela 2 faz uma correlação entre o tempo de internação e o uso de ventilação mecânica invasiva (VMI), demonstrando que, com o uso de VMI, o tempo de internação aumentou significativamente em comparação aos pacientes que não foram intubados. Além disso, a funcionalidade inicial dos pacientes que usaram intubação foi expressivamente mais baixa quando comparada aos pacientes que não fizeram uso de VMI. Bem como na alta, em que foi possível observar que os pacientes que foram intubados, tiveram a funcionalidade notavelmente mais limitada.
Tabela 2 – Análise comparativa da funcionalidade entre o uso de ventilação mecânica e tempo de internação

*Resultado significativo do teste Mann-Whitney.
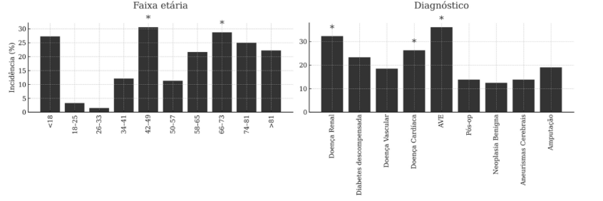
Na tabela 3, foi possível observar que o sexo não apresentou diferença estatisticamente significativa quanto à necessidade de ventilação mecânica invasiva. Com base nas patologias, observou-se que os pacientes com doença renal crônica (p = 0,0023*), doença cardíaca (p = 0,0173*) e acidente vascular encefálico (p = <0,0001*) apresentaram maior risco de intubação e VMI, refletindo em maior gravidade clínica e comprometimento funcional. Essas condições podem ser explicadas pelos mecanismos fisiopatológicos dessas patologias, as quais envolvem desequilíbrios metabólicos, comprometimento hemodinâmico e disfunção neuromuscular ou respiratória, resultando em menor capacidade funcional e maior propensão ao agravamento clínico.
Tabela 3 – Estimativa de incidência e prevalência com risco de intubação

*Resultado significativo do teste Risco Relativo do tipo Razão de Prevalência.
DISCUSSÃO
Em nossa pesquisa, apesar de não ter sido encontrada diferença significativa entres os gêneros tanto na admissão quanto na alta da UTI, o tempo de internação mostrou que os pacientes do sexo masculino permaneceram internados por mais tempo em comparação às mulheres, o que mostra uma diferença em relação ao perfil funcional no contexto critico. Nesse cenário, outros estudos também evidenciaram esse achado, como o estudo de coorte observacional retrospectivo que foi realizado em quatorze UTIs de treze hospitais universitários terciários em Pequim, o qual mostrou que a duração da ventilação mecânica, o tempo de internação na UTI e o tempo de internação hospitalar foram significativamente maiores para os homens do que para as mulheres no grupo etário mais jovem (p ≤ 0,013). (Ma, JG., Zhu, et al, 2022).
Nesse sentido, em nosso estudo foi possível observar que o uso de VMI influenciou diretamente no tempo de internação, afetando de forma significativa a funcionalidade, que pode ser severamente comprometida pelo déficit de força muscular. Sabe-se que a perda de força muscular é obtida em pacientes críticos sob ventilação mecânica por períodos extensos. A perda muscular expressiva, resultante tanto do repouso no leito quanto da gravidade da doença, leva ao declínio da capacidade de realizar atividades de autocuidado e transferência, além de intensificar a incapacidade em pacientes egressos da UTI. Nessa perspectiva, além da ventilação mecânica, o uso de bloqueadores neuromusculares também exerce impacto direto sobre a capacidade funcional de pacientes críticos. Lin et al. (2023), ao analisarem uma coorte de 5.709 pacientes sob ventilação mecânica, observaram que o uso prolongado de bloqueadores neuromusculares por mais de 48 horas esteve associado a maior mortalidade em longo prazo, sugerindo pior recuperação sistêmica. Esse efeito pode ser explicado pelo fato de que a paralisação farmacológica reduz significativamente a contração muscular espontânea, favorecendo o desenvolvimento de fraqueza adquirida na UTI.
A fraqueza adquirida na UTI se manifesta mesmo após a alta hospitalar como síndrome pós terapia intensiva (SPTI), resultando em comprometimento da função física, disfunção cognitiva e piora do estado de saúde mental. (Aglawe et al. 2022). De acordo com estudos, um dos fatores que explicam esse declínio é a instabilidade hemodinâmica frequentemente observada após a intubação. Segundo Dubée et al. (2022), a hipoperfusão tecidual periférica é um importante preditor de instabilidade hemodinâmica pós-intubação, o que contribui para piora do quadro clínico e maior vulnerabilidade muscular. Em conjunto, Chen (2024) e Khalil (2023) destacam que a combinação de imobilismo prolongado, uso de sedativos e alterações metabólicas decorrentes da ventilação mecânica favorece o desenvolvimento da Fraqueza Muscular Adquirida na UTI (FAUTI), dificultando a recuperação funcional. Em um estudo realizado por Kanova et al. (2022), evidenciou-se que a proteólise ativada é de importância primordial na fraqueza muscular adquirida na UTI (ICUAW). Duas vias principais atuam para facilitar a degradação muscular: o sistema ubiquitina-proteassoma (UPS) e a autofagia desregulada, o que reforça que o tempo de internação prolongado e a VMI não apenas indicam maior gravidade clínica, mas também potencializam o declínio da funcionalidade, evidenciando a necessidade da implementação de protocolos de mobilização precoce e reabilitação intensiva ainda durante o período crítico.
Ademais, foi observado que o sexo não apresentou diferença estatisticamente significativa quanto à necessidade de ventilação mecânica invasiva, resultado semelhante ao identificado em estudos realizados por Ma, Zhu e Jiang et al. (2022) que também não evidenciaram associação entre gênero e risco de intubação em pacientes críticos. No entanto, a análise das patologias associadas revelou que indivíduos com doença renal crônica, doença cardíaca e acidente vascular encefálico apresentaram maior propensão à intubação e à dependência de suporte ventilatório invasivo, indicando um quadro de maior gravidade clínica e comprometimento funcional. Em um estudo realizado por Mesina et al. (2024), sugere-se que as incapacidades funcionais pré-UTI são importantes fatores de risco para incapacidades funcionais a longo prazo, podendo contribuir para um déficit funcional pós-UTI significativo.
No caso da doença renal crônica (DRC), apresentou-se uma associação significativa com a necessidade de ventilação mecânica invasiva (p = 0,0023), evidenciando sua influência direta sobre o perfil funcional de pacientes críticos. Essa condição sistêmica provoca repercussões metabólicas e musculares que comprometem tanto a força respiratória quanto o desempenho físico global. A uremia e o acúmulo de toxinas como indoxil sulfato e p-cresil sulfato induzem disfunção mitocondrial e inflamação persistente, ativando vias catabólicas como o sistema ubiquitina-proteassoma, o que acelera a degradação proteica e contribui para a perda de massa muscular esquelética e respiratória (Troutman et al., 2022). Esses mecanismos reduzem a tolerância ao esforço e explicam a maior vulnerabilidade desses pacientes à fraqueza adquirida na UTI e à limitação funcional observada durante a reabilitação.
A acidose metabólica crônica, típica da DRC, intensifica o catabolismo e prejudica o metabolismo energético das fibras musculares respiratórias. O excesso de íons H⁺ altera a homeostase intracelular, reduz a eficiência das enzimas oxidativas e compromete a produção de ATP, o que leva à fadiga precoce do diafragma e dificulta o processo de desmame da ventilação mecânica (Nagami, 2022). Além disso, distúrbios eletrolíticos como hipocalemia, hipocalcemia e hipermagnesemia interferem na excitabilidade neuromuscular e na contração das fibras respiratórias, diminuindo a força inspiratória máxima e limitando o desempenho funcional global (Cheng et al., 2022).
Outro fator determinante é a sobrecarga hídrica, resultante da diminuição da taxa de filtração glomerular. O acúmulo de líquidos provoca edema intersticial pulmonar e redução da complacência torácica, aumentando o trabalho respiratório e dificultando a ventilação espontânea. Esse quadro repercute na perfusão tecidual, intensifica a hipoxemia e prolonga o tempo de dependência ventilatória (Bitker et al., 2024). Em contrapartida, o balanço hídrico e a otimização hemodinâmica demonstram melhorar o sucesso do desmame e reduzir a duração da ventilação (Wang et al., 2024).
Do ponto de vista funcional, a DRC também se associa à resistência à insulina e ao desequilíbrio hormonal (redução de vitamina D e aumento de citocinas inflamatórias), o que limita a síntese proteica, reduz a força de membros e atrasa a recuperação da mobilidade após a fase crítica (Bureau et al., 2023; Rocha et al., 2024).
De modo semelhante, em pacientes com doenças cardíacas, o comprometimento hemodinâmico decorrente da disfunção ventricular e da hipoperfusão sistêmica acarreta na redução da perfusão muscular e aumento do risco de instabilidade respiratória, esse comprometimento da perfusão tecidual pode ser observado na identificação do lactato presente no sangue (De Becker et al. 2022). Em um estudo realizado por Yamatugi et al. (2024), foi observado que pacientes com piores desfechos apresentaram níveis significativamente mais altos de lactato e os níveis desse biomarcador seis horas após a cirurgia foram significativamente mais altos no grupo com tempo na UTI prolongado. Esse comprometimento impacta diretamente no desempenho físico e na capacidade funcional global, visto que a perfusão inadequada compromete tanto o metabolismo muscular quanto a resposta ao esforço, o que está em concordância com estudos que associam disfunção cardíaca a piores desfechos funcionais durante a internação em UTI (Dubée et al., 2022). Segundo Luo et al. (2021), a ventilação mecânica gera uma alteração cíclica na pressão intratorácica e no retorno venoso, o que afeta na perfusão tecidual, isso demonstra que quanto maior o tempo de internação e uso de ventilação mecânica invasiva, maior o comprometimento funcional dos pacientes pós-UTI.
No contexto do acidente vascular encefálico, o comprometimento neurológico afeta o controle central da respiração e a função motora. Este dano neurológico afeta não apenas os músculos periféricos, mas também os respiratórios, causando fraqueza muscular respiratória, alterações nos ritmos respiratórios e diminuição dos volumes e fluxos pulmonares. (Liu, Y. T et al, 2024). Estudos como os de Chen & Huang, 2024; Voiriot et al., 2024 indicam que essa combinação favorece a ineficiência ventilatória e o desenvolvimento da fraqueza muscular adquirida na UTI, condição que se manifesta por atrofia e perda de força decorrentes da imobilidade prolongada, do uso de sedativos e da resposta inflamatória sistêmica. Tal quadro contribui para o declínio da funcionalidade e prolonga o tempo de dependência ventilatória, sendo amplamente descrito na literatura recente. Ademais, pacientes com lesão cerebral aguda, como o AVC, tendem a apresentar maior probabilidade de falha na extubação e necessidade prolongada de ventilação mecânica, em razão da perda do controle neural da respiração e de alterações autonômicas que comprometem a coordenação entre o sistema nervoso central e a musculatura respiratória (Asehnoune et al, 2023). Dessa forma, os achados do presente estudo reforçam que as fisiopatologias associadas às comorbidades interferem diretamente na funcionalidade dos pacientes críticos, tanto pela limitação da resposta muscular e cardiorrespiratória quanto pela maior susceptibilidade a complicações decorrentes da imobilidade (Kanova & Kohout, 2022; Khalil et al., 2023). Esses resultados convergem com pesquisas que ressaltam a importância de estratégias de mobilização precoce, reabilitação intensiva e manejo individualizado das comorbidades como medidas essenciais para preservar a funcionalidade e reduzir o impacto das disfunções adquiridas durante a ventilação mecânica invasiva (Lorenz et al., 2023; Yang et al., 2023).
CONCLUSÃO
O presente estudo permitiu delinear o perfil funcional de pacientes críticos internados em unidades de terapia intensiva, destacando que, apesar da semelhança entre os gêneros quanto à funcionalidade na admissão e na alta, o tempo de internação mostrou-se maior entre os homens. Além disso, a análise revelou que o uso de ventilação mecânica invasiva esteve associado a menor escore funcional e a períodos mais prolongados de internação, evidenciando o impacto direto do suporte ventilatório sobre o desempenho físico.
A principal interpretação desses achados indica que o comprometimento funcional dos pacientes críticos está fortemente relacionado ao tempo de exposição a fatores como imobilidade, suporte ventilatório e presença de comorbidades, especialmente doença renal crônica, cardiopatias e acidente vascular encefálico. Tais condições potencializam o declínio da força muscular e retardam a recuperação da autonomia funcional, configurando um perfil clínico de elevada vulnerabilidade.
De forma geral, os resultados obtidos oferecem uma visão mais ampla sobre a funcionalidade de pacientes críticos no contexto hospitalar, evidenciando que o desfecho funcional não depende apenas da gravidade da doença, mas também das características clínicas e das condições associadas de cada indivíduo. Assim, compreender esse perfil contribui para reconhecer precocemente os grupos mais suscetíveis à limitação funcional e orientar futuras estratégias voltadas à recuperação global após a alta da UTI.
BIBLIOGRAFIA
ABUHASIRA, R. et al. Intensive care unit capacity and mortality in older adults: a three nations retrospective observational cohort study. Annals of Intensive Care, v. 12, n. 1, 2022. DOI: 10.1186/s13613-022-01042-6. Acesso em: 8 nov. 2025.
AGLAWE, D. R.; AGARWAL, B. M.; SAWANT, B. D. Physical function in critically ill patients during the duration of ICU and hospital admission. Indian Journal of Critical Care Medicine, v. 26, n. 3, p. 314–318, mar. 2022. DOI: 10.5005/jp-journals-10071-24144. Disponível em: https://pubmed.ncbi.nlm.nih.gov/35519935/. Acesso em: 10 nov. 2025.
AGUIAR, L. M. M. et al. Profile of adult intensive care units in Brazil: systematic review of observational studies. Revista Brasileira de Terapia Intensiva, v. 33, n. 4, p. 624-634, out.-dez. 2021. DOI: 10.5935/0103-507X.20210088. Epub 2022 Jan 24. Acesso em: 8 nov. 2025.
ASEHNOUNE, K.; ROOZE, P.; ROBBA, C. et al. Ventilação mecânica em pacientes com lesão cerebral aguda: uma revisão sistemática com meta-análise. Critical Care, v. 27, p. 221, 2023. Disponível em: https://doi.org/10.1186/s13054-023-04509-3. Acesso em: 11 nov. 2025.
ATUMANYA, P. et al. Characteristics and outcomes of patients admitted to intensive care units in Uganda: a descriptive nationwide multicentre prospective study. Scientific Reports, v. 14, n. 1, p. 9963, 2024. Disponível em: https://doi.org/10.1038/s41598-024-59031-5. Acesso em: 8 nov. 2025.
BITKER, L. et al. Neutralização do balanço hídrico garantida por monitoramento hemodinâmico versus padrão de tratamento protocolizado em pacientes gravemente enfermos que necessitam de terapia renal substitutiva contínua: protocolo de estudo do estudo controlado randomizado GO NEUTRAL. Trials, v. 23, n. 1, p. 798, 2022. Disponível em: https://doi.org/10.1186/s13063-022-06735-6. Acesso em: 12 nov. 2025.
BUREAU, C.; VAN HOLLEBEKE, M.; DRES, M. Gerenciando a fraqueza muscular respiratória durante o desmame da ventilação invasiva. European Respiratory Review, v. 32, n. 168, p. 220205, 2023. DOI: 10.1183/16000617.0205-2022. Acesso em: 12 nov. 2025.
CHEN, J.; HUANG, M. Intensive care unit-acquired weakness: recent insights. Journal of Intensive Medicine, v. 4, n. 1, p. 73-80, 2023. DOI: 10.1016/j.jointm.2023.07.002. Acesso em: 8 nov. 2025.
CHENG, T. C.; HUANG, S. H.; KAO, C. L.; HSU, P. C. Perda de massa muscular na doença renal crônica: mecanismo e implicações clínicas — uma revisão narrativa. International Journal of Molecular Sciences, v. 23, n. 11, p. 6047, 2022. Disponível em: https://doi.org/10.3390/ijms23116047. Acesso em: 12 nov. 2025.
DE BACKER, D.; CECCONI, M.; CHEW, M. S. et al. Um apelo à personalização do manejo hemodinâmico do choque séptico. Critical Care, v. 26, p. 372, 2022. Disponível em: https://doi.org/10.1186/s13054-022-04255-y. Acesso em: 12 nov. 2025.
DUBÉE, V. et al. Peripheral tissue hypoperfusion predicts post intubation hemodynamic instability. Annals of Intensive Care, v. 12, n. 1, p. 68, 2022. DOI: 10.1186/s13613-022-01013-9. Acesso em: 8 nov. 2025.
KANOVA, M.; KOHOUT, P. Molecular mechanisms underlying intensive care unit-acquired weakness and sarcopenia. International Journal of Molecular Sciences, v. 23, n. 15, p. 839
KHALIL, A. et al. A cross-sectional study of the impact of ICU-acquired weakness: prevalence, associations, and severity. Cureus, v. 15, n. 12, p. e49852, 2023. DOI: 10.7759/cureus.49852. Acesso em: 8 nov. 2025.
LIN, C. et al. Prolonged use of neuromuscular blocking agents is associated with increased long-term mortality in mechanically ventilated medical ICU patients: a retrospective cohort study. Journal of Intensive Care, v. 11, n. 1, p. 55, 2023. DOI: 10.1186/s40560-023-00696-x. Acesso em: 11 nov. 2025.
LIU, Y. T. et al. Effects of respiratory muscle training on post-stroke rehabilitation: a systematic review and meta-analysis. World Journal of Clinical Cases, v. 12, n. 20, p. 4289–4300, 2024. Disponível em: https://doi.org/10.12998/wjcc.v12.i20.4289. Acesso em: 11 nov. 2025.
LORENZ, M. et al. The optimal dose of mobilisation therapy in the ICU: a prospective cohort study. Journal of Intensive Care, v. 11, n. 1, p. 56, 2023. DOI: 10.1186/s40560-023-00703-1. Acesso em: 8 nov. 2025.
Luo, Jc., Su, Y., Dong, Ll. et al. A manobra de Trendelenburg prediz a responsividade a fluidos em pacientes submetidos à oxigenação por membrana extracorpórea venoarterial. Ann. Intensive Care 11 , 16 (2021). https://doi.org/10.1186/s13613-021-00811-x
MA, J. G. et al. Diferenças baseadas em gênero e idade nos desfechos de pacientes em UTI submetidos à ventilação mecânica: um estudo retrospectivo multicêntrico chinês. BMC Anesthesiology, v. 22, p. 18, 2022. DOI: 10.1186/s12871-021-01555-8. Acesso em: 8 nov. 2025.
MESINA, Renato S. Jr. et al. Long-term functional disabilities in intensive care unit survivors: A prospective cohort study. Australian Critical Care, v. 37, n. 6, p. 843-850, nov. 2024. DOI: 10.1016/j.aucc.2023.11.008. Acesso em: 8 nov. 2025.
NAGAMI, G. T.; KRAUT, J. A. Regulação do equilíbrio ácido-base em pacientes com doença renal crônica. Advances in Chronic Kidney Disease, v. 29, n. 4, p. 337-342, 2022. DOI: 10.1053/j.ackd.2022.05.004. Acesso em: 12 nov. 2025.
ROCHA, Lívia Gomes da; POLICARPO, Júlio Henrique; CUNHA, Beatriz Luiza Marinho; SILVA, Juliana Rodrigues da; MARINHO, Patrícia Érika de Melo. Força muscular e função pulmonar em indivíduos com doença renal crônica: um estudo transversal: Força muscular e função pulmonar na doença renal crônica. Revista de Terapia Manual, Posturologia e Reabilitação, v. 22, 2024. DOI: 10.17784/mtprehabjournal.2024.22.1321. Acesso em: 8 nov. 2025.
SCHELL, C. O. et al. Hospital burden of critical illness across global settings: a point prevalence and cohort study in Malawi, Sri Lanka and Sweden. BMJ Global Health, v. 10, n. 3, p. e017119, mar. 2025. DOI: 10.1136/bmjgh-2024-017119. Acesso em: 8 nov. 2025.
SCHELL, C. O. et al. The burden of critical illness among adults in a Swedish region—a population based point-prevalence study. European Journal of Medical Research, v. 28, n. 1, 2023. DOI: 10.1186/s40001-023-00899-6. Acesso em: 8 nov. 2025.
SIDDIKA, N.; ANOWAR, M. N.; ISLAM, M. D. S.; MALLICK, D. R. Characteristics of adult intensive care unit patients at a university hospital. Open Access Library Journal, v. 10, p. 1-15, 2023. Acesso em: 8 nov. 2025. Disponível em: https://www.oalib.com/references/10067074.
TROUTMAN, A. D.; ARROYO, E.; LIM, K.; MOORTHI, R. N.; AVIN, K. G. Complicações do músculo esquelético na doença renal crônica. Current Osteoporosis Reports, v. 20, n. 6, p. 410-421, 2022. DOI: 10.1007/s11914-022-00751-w. Acesso em: 12 nov. 2025.
VOIRIOT, G. et al. Chronic critical illness and post-intensive care syndrome: from pathophysiology to clinical challenges. Annals of Intensive Care, v. 12, n. 1, p. 58, 2022. DOI: 10.1186/s13613-022- 01038-0. Acesso em: 8 nov. 2025.
WANG, Z.; LI, W.; SHUI, C.; XIE, Q.; HAN, X.; ZHANG, C.; TU, L.; ZHANG, Z. Predictive value of fluid balance before extubation on its outcome in mechanically ventilated adults in the intensive care unit. Nursing in Critical Care, v. 29, n. 6, p. 1545-1554, nov. 2024. DOI: 10.1111/nicc.13088. Acesso em: 8 nov. 2025.
WU, T. T.; SU, Q. P.; XIONG, J.; HISER, S.; NEEDHAM, D. M.; LI, H. Confiabilidade e validade da versão chinesa da Escala de Estado Funcional para UTI (FSS-ICU) após tradução e adaptação transcultural. Disability and Rehabilitation, v. 47, n. 5, p. 1324–1331, 2024. Disponível em: https://doi.org/10.1080/09638288.2024.2369944. Acesso em: 6 nov. 2025.
YAMAGUTI, T. et al. Markers of tissue perfusion as predictors of adverse outcomes in patients with left ventricular dysfunction undergoing coronary artery bypass surgery. Arquivos Brasileiros de Cardiologia, v. 121, n. 2, e20230247, 2024. Disponível em: https://doi.org/10.36660/abc.20230247. Acesso em: 11 nov. 2025.
YANG, X. et al. Early mobilization for critically ill patients. Respiratory Care, v. 68, n. 6, p. 781- 795, jun. 2023. DOI: 10.4187/respcare.10481. Epub 2023 Apr 11. Acesso em: 8 nov. 2025.
1Discente do Curso Superior de Fisioterapia da Universidade da Amazônia, e-mail: bittencourteduarda155@gmail.com
2Discente do Curso Superior de Fisioterapia da Universidade da Amazônia, e-mail: layssamel_@outlook.com
3Discente do Curso Superior de Fisioterapia da Universidade da Amazônia, e-mail: luis.f.p.s.700@gmail.com
4Discente do Curso Superior de Fisioterapia da Universidade da Amazônia, e-mail: deboraellem15@gmail.com
5Discente do Curso Superior de Fisioterapia da Universidade da Amazônia, e-mail: bellyspant15@gmail.com
6Bacharel em Fisioterapia – Universidade da Amazônia, e-mail: doutorildenelucas@gmail.com
7Docente do Curso Superior de Fisioterapia da Universidade da Amazônia. Mestre em
Farmacologia e Bioquímica (PPGFARMABIO/UFPA). e-mail: axell.ti20@gmail.com
