REGISTRO DOI: 10.69849/revistaft/dt10202511281041
Felipe Costa Ferrari1
João Francisco Otrente2
José Eduardo Quaresma3
RESUMO
O presente trabalho teve como objetivo avaliar a influência das ligações viga-pilar semi-rígidas em pórticos pré-moldados de concreto no que tange ao dimensionamento dos elementos, esforços solicitantes, deslocamentos e estabilidade global. Para tal, foi realizada uma pesquisa bibliográfica e um estudo comparativo entre uma estrutura com ligações monolíticas e uma com ligações semi-rígidas. A análise de esforços e deslocamentos foi conduzida via programa computacional FTOOL, utilizando como estudo de caso um edifício comercial de 7 pavimentos. Os resultados demonstraram que a consideração das ligações semi-rígidas pode promover um nível de rigidez comparável ao da estrutura monolítica. Especificamente, as ligações semi-rígidas contendo armadura de continuidade de 8,0 cm² promoveram engastamento parciais de 55,51% e 52,14% para diferentes tipologias (tipologia 1 e 3 da ABNT NBR 9062:2017) valores muito próximos do engastamento de 54,66% obtido para a situação monolítica. Além disso, o dimensionamento resultou em uma redução da armadura longitudinal positiva para o caso semi-rígido (15,43 cm²) em comparação com a estrutura monolítica (18,87 cm²). Ambas as estruturas apresentaram deslocabilidade reduzida, classificadas como de nós fixos, sendo 1,05 o coeficiente gamaz para a pré-moldada de concreto e 1,03 para a monolítica indicando que os efeitos de segunda ordem são desprezíveis.
Palavras-chave: Análise estrutural; Concreto Pré-Moldado; Ligação viga-pilar; Semirrigidez.
1. INTRODUÇÃO
A utilização de estruturas de concreto pré-moldadas está amplamente relacionada com a maneira de construir buscando sempre atender as demandas da sociedade de maneira econômica, segura e eficiente. Os sistemas pré-moldados vêm conquistando espaço constantemente em vários segmentos do mercado. Este avanço consolida o consenso de que os elementos pré-moldados (pilares, vigas, lajes, painéis, etc) garantem maior rapidez na execução do projeto, maior organização no canteiro de obras, maior durabilidade, sustentabilidade, desempenho estrutural e versatilidade arquitetônica (OTRENTE, 2022).
A principal diferença estrutural entre uma estrutura pré-moldada de concreto para uma moldada in loco (monolítica) é a presença de situações transitórias e das ligações entre os elementos. Para Hadade (2016), a necessidade de se estabelecerem ligações entre os vários elementos componentes de uma estrutura pré-moldada é certamente a principal barreira a ser transposta para a elaboração de projetos envolvendo esta classe de sistema construtivo. Tais ligações devem ser concebidas levando-se em consideração requisitos indispensáveis como resistência e rigidez aos esforços solicitantes, durabilidade, ductilidade, resistência ao fogo e construtibilidade.
Ferreira (1999) descreve a ligação como uma região de comportamento singular e concentração de tensões, onde deformações e deslocamentos são notáveis. Essa característica da ligação provoca uma redistribuição de esforços que impacta diretamente o dimensionamento dos elementos e o comportamento global da estrutura, indicando que o êxito do sistema pré-moldado depende crucialmente do desempenho eficaz de suas conexões.
Além disso, as ligações não se comportam exatamente conforme dito na análise estrutural clássica, ou seja, não são totalmente articuladas e nem totalmente rígidas. O que ocorre é um comportamento intermediário sendo denominado de semi-rígido, o qual permite um certo nível de deformação e engastamento na região conectada. (OTRENTE, 2023).
Com a consideração do efeito da ligação semi-rígida no comportamento da estrutura, é possível a obtenção de significativa economia ligada a redução de mão-de-obra necessária para produção de ligações rígidas, além da redução das dimensões da estrutura no caso das ligações articuladas. (CATOIA, 2007).
Nesse sentido, o trabalho tem como objetivo avaliar a influência das ligações viga-pilar semirrígidas em pórticos pré-moldados de concreto no tocante ao: dimensionamento dos elementos estruturais, esforços solicitantes, deslocamentos e estabilidade global. Para tal, foi realizada uma pesquisa bibliográfica com modelos de cálculo e parâmetros normativos relacionados: ligações viga-pilar semi rígidas, comportamento estrutural de pórticos pré-moldados de concreto, tipologias de ligações empregadas no Brasil e rigidez das ligações.
A avaliação da influência das ligações semirrígidas foi realizada por meio de uma comparação entre a estrutura com ligações monolíticas e semi-rígidas. O cálculo dos esforços solicitantes e deslocamentos do pórtico foi realizado via programa computacional FTOOL, software de análise estrutural desenvolvido pela PUC-RIO. Com relação ao dimensionamento e verificação dos elementos empregou-se os modelos de cálculo presentes nas normas vigentes.
2. REVISÃO BIBLIOGRÁFICA
2.1 LIGAÇÕES EM ESTRUTURAS PRÉ-MOLDADAS DE CONCRETO
O tema das ligações é crucial nas estruturas em concreto pré-moldado, pois o entendimento de seu comportamento é essencial para a análise de todo o sistema. A função primária das ligações é a transferência de forças entre os elementos, buscando reproduzir o monolitismo da estrutura. Conforme lembram Chastre e Lúcio (2012), as ligações são regiões de comportamento complexo com concentração de tensões, o que gera a redistribuição de esforços e deslocamentos, interferindo no comportamento global.
Além disso, o projeto de ligações vai além da simples escolha de um dispositivo. É uma filosofia que exige que as conexões atendam a múltiplos critérios de desempenho. Segundo Acker (2003), estes critérios englobam aspectos como comportamento estrutural (rigidez, ductilidade), tolerâncias dimensionais, resistência ao fogo, durabilidade, manutenção e facilidade de montagem.
Com relação as ligações viga-pilar, existem diversos tipos de arranjos para tal convenção, os quais apresentam variação na montagem, comportamento mecânico e custo. A Figura 1 ilustra dois tipos de ligação viga-pilar pré-moldadas, com as seguintes características:
Figura 1: Tipos de ligação viga-pilar: a) Ligação com consolo embutido no pilar; b) Ligação sobre consolo aparente; c) Vigas e pilares descontínuos; d) Pilar descontínuo com viga contínua.

2.1.1 Classificação das Ligações Viga-Pilar
De acordo com Otrente (2023), as ligações viga-pilar podem ser classificadas pela sua capacidade rotacional (restrição ao giro). Em uma ligação com rotação livre (articulada), não há mobilização de momentos fletores, enquanto uma ligação com rotação nula (rígida) deve mobilizar uma certa quantidade de momento fletor. Essa relação define a classificação pelo grau de rigidez rotacional das ligações:
- Ligação articulada: Apresenta incapacidade de resistir ou mobilizar momentos fletores. Não há restrição quanto à rotação. Também é conhecida pelo termo ligação “rotulada” mediante ao seu comportamento de rótula supracitado
- Ligação rígida: Apresenta elevada capacidade de transmitir e resistir a todos os esforços solicitantes. Também é conhecida pelo comportamento monolítico (engaste), situação está, em que se mobiliza o momento de engastamento perfeito. Há restrição quanto à rotação
- Ligação semi-rígida: Trata-se do comportamento intermediário entre o rígido e o articulado, ou seja, a ligação pode mobilizar uma parcela do momento de engastamento perfeito e restringir parcialmente à rotação da viga com o pilar.
Na prática, ligações totalmente rígidas são raras e antieconômicas (ou mesmo impraticáveis) devido ao alto consumo de material necessário para impedir a rotação viga-pilar. Isso implica que, para gerar qualquer grau de travamento rotacional, a ligação deve possuir uma rigidez específica. O desafio reside em determinar essa rigidez da ligação e os parâmetros de seu dimensionamento, um tema que será aprofundado no capítulo seguinte em relação ao cálculo estrutural de concreto pré-moldado.
2.2 EFEITOS DA RESPOSTA SEMI-RÍGIDA DE UMA LIGAÇÃO VIGA-PILAR
As ligações viga-pilar semi-rígidas em concreto pré-moldado alteram a resposta estrutural ao redistribuir esforços e modificar deformações, funcionando como elementos com característica de mola. Isso resulta em um pórtico menos deslocável (comparado ao rotulado), o que otimiza o projeto, gerando peças menos solicitadas e, consequentemente, reduzindo a necessidade de armadura em vigas, pilares e fundações.
A Figura 2 ilustra o esquema estático de uma viga pré-moldada com ligações viga-pilar semirrígidas.
Figura 2: Viga pré-moldada com molas nas extremidades i e j.

A rigidez rotacional de uma ligação depende do momento fletor que ela consegue suportar em relação ao giro correspondente. Essa relação é expressa por um fator de restrição à rotação, um valor adimensional. O aceno histórico e o modelo matemático por trás disso podem ser encontrados em Otrente (2024), que menciona esse parâmetro, originalmente introduzido por Monforton e Wu (1963). A norma ABNT NBR 9062 (2017) utiliza essa formulação da seguinte maneira:

Onde:

Figura 3: Comprimento efetivo da viga para o cálculo do fator de restrição à rotação.

Resumidamente, o fator de restrição à rotação é uma medida da relação entre as rigidezes, ou seja, trata-se da proporção entre a rigidez à rotação da ligação e da rigidez à flexão da viga. Diversos autores se dedicaram a estudar o comportamento de uma ligação viga-pilar frente a sua rigidez, proporcionando assim melhorias nos modelos analíticos, computacionais e normativas técnicas.
2.2.1 Resposta Semi-Rígida no Comportamento dos Elementos de Viga
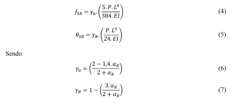
O trabalho de Ferreira (2017) apresenta um procedimento prático para calcular os momentos fletores e deslocamentos em vigas pré-moldadas que utilizam ligações viga-pilar semi-rígidas. O procedimento se aplica a uma viga com carregamento distribuído (P) em vão (L) e ligações semi-rígidas idênticas nas extremidades, permitindo definir o momento fletor de apoio por meio da Equação 2.

Sendo:

Onde:

O momento fletor em vigas com ligações semi-rígidas é sempre menor do que na situação de ligações rígidas, pois é apenas uma parcela desse valor integral. Essa parcela depende do fator de restrição à rotação. A Figura 4 é usada para ilustrar como as ligações semi rígidas (em comparação com as bi-articuladas e bi-engastadas) influenciam a distribuição dos momentos fletores na viga.
Figura 4: Influência da rigidez da ligação nos esforços solicitantes de uma viga: a) Ligações Articuladas; b) Ligações Rígidas; c) Ligações Semi-Rígidas.

Seguindo na mesma linha de raciocínio, é possível determinar os deslocamentos da viga levando em consideração a deformabilidade dos apoios. A flecha no meio do vão e a rotação na ligação são calculadas via Equações 4 e 5. Note que para obter o efeito semi-rígido no âmbito dos deslocamentos, é necessário conhecer esses parâmetros para a situação articulada.

Onde:

A Figura 5 ilustra a influência das ligações semi-rígidas na deformada da mesma viga descrita anteriormente.
Figura 5: Influência da rigidez da ligação nos deslocamentos de uma viga: a) Ligações Articuladas; b) Ligações Rígidas; c) Ligações Semi-Rígidas.

2.2.2 Resposta Semi-Rígida no Comportamento dos Pórticos Pré-Moldados
Para avaliar o efeito das ligações semi-rígidas em pórticos pré-moldados, é indispensável uma análise linear semi-rígida que simula a flexibilidade das conexões com molas rotacionais. Devido à sua complexidade, esta análise é praticamente inviável analiticamente/manualmente, exigindo o uso de programas computacionais. A consideração deste modelo é crítica, pois a flexibilidade da ligação aumenta os deslocamentos laterais de 1ª ordem, modifica a redistribuição de momentos e, consequentemente, amplifica os efeitos globais de 2ª ordem.
Programas de computador que não modelam diretamente ligações semi-rígidas em pórticos de múltiplos pavimentos exigem uma metodologia substituta para simular a flexibilidade do nó viga-pilar. Tal representação, validada pela revisão de Huber, Kronenberger e Weynand (1998) por Otrente (2023), é alcançada através da equivalência de rigidez. Este processo consiste em inserir elementos de barra com rigidez modificada nas extremidades das vigas, transformando um nó inicialmente considerado rígido em um nó semi-rígido, conforme expresso matematicamente pela Equação 8.

Onde:

De maneira simplificada, o que ocorre é uma compatibilização de rigidezes entre a ligação e a barra, de modo a não alterar a deformação do nó. A Figura 6 ilustra a presença da barra conectada de maneira representativa.
Figura 6: Equivalência de Rigidez.

Conforme mencionado, a presença das ligações semi-rígidas altera a deslocabilidade do pórtico de concreto devido à flexibilização dos nós, que por sua vez modifica os efeitos de segunda ordem do edifício. Em Ferreira (2005) e Ferreira (2010) consta um modelo para analisar a estabilidade global de um pórtico pré-moldado de concreto com essas ligações.
Para analisar um pórtico com ligações semi-rígidas, o processo simplificado é dividir o problema em dois:
1. Cargas Verticais (Peso/Carga de Serviço): A estrutura é tratada como um pórtico contraventado. As ligações semi-rígidas afetam apenas a região da viga (comportamento local).
2. Cargas Horizontais (Vento): A estrutura é tratada como um pórtico não contraventado.
As ligações semi-rígidas afetam a estrutura como um todo (comportamento global).
Para o dimensionamento, utiliza-se dois critérios: as ligações são calculadas como se fossem rígidas (momentos elásticos), mas as vigas e pilares são dimensionados usando os resultados da análise semi-rígida. A Figura 7 ilustra a superposição.
Figura 7: Superposição para o pórtico deslocável com ligações semi-rígidas: a) Pórtico original com ligações semi-rígidas; b) Pórtico indeslocável submetido as ações gravitacionais; c) Pórtico deslocável submetido as ações laterais.

O tratamento das ações horizontais, a proposta de Ferreira (2005) sugere simular um pórtico monolítico (rígido) e aplicar uma correção na inércia das vigas. Essa correção é feita para diminuir a rigidez das vigas, o que efetivamente flexibiliza os nós (simulando o comportamento semi-rígido da ligação viga-pilar). Após essa modificação, a análise prossegue para determinar os deslocamentos de primeira ordem e os momentos na base dos pilares. Esses resultados permitem, então, avaliar a estabilidade geral do pórtico pré-moldado, levando em conta a semi-rigidez das suas ligações. A Figura 8 ilustra o processo de correção.
Figura 8: Procedimento simplificado para análise da estabilidade: a) Pórtico deslocável com ligações semi-rígidas; b) Pórtico monolítico equivalente; c) Procedimento de segunda ordem.

A correção na inércia das vigas é realizada via Equação 9.

Onde:

Onde:

A partir dos valores de deslocamentos obtidos pelo método acima, aplica os critérios da ABNT NBR 9062 (2017) para avaliar a estabilidade:

Onde:

A ABNT NBR 9062 (2017) estabelece que os efeitos de segunda podem ser considerados de maneira simplificado via coeficiente majorados gama z:

Se esse coeficiente for maior ou igual a 1,30, é obrigatório realizar um cálculo mais rigoroso, que inclua a consideração das não linearidades física e geométrica da estrutura. Além disso, os momentos finais (resultantes da soma dos efeitos de 1ª e 2ª ordem) obtidos no cálculo devem ser menores que o momento no limite de escoamento da armadura de continuidade da ligação viga-pilar.
2.3 CÁLCULO DA RIGIDEZ SECANTE DA LIGAÇÃO VIGA-PILAR
Inicialmente, para se determinar a rigidez de uma ligação é necessário conhecer como ela se deforma. Diversos autores estudaram os mecanismos de deformações das ligações viga pilar, com destaque para Ferreira, El Debs e Elliott (2003); Alva, Ferreira e El Debs (2009), Ferreira (2010) e Ferreira (2022). Basicamente os dois mecanismos mais importantes são
- Mecanismo 1 (No Pilar): Está relacionado ao alongamento da armadura de continuidade embutida no pilar (em bainhas grauteadas). Isso causa a abertura de fissuras na interface viga-pilar, devido à perda de aderência e ao escorregamento entre o aço e o concreto;
- Mecanismo 2 (Na Viga): Está relacionado ao alongamento da armadura na própria região da ligação, sendo influenciado pela propagação de fissuras na extremidade da viga (zona de descontinuidade).
Em resumo, a capacidade efetiva de rotação da ligação depende crucialmente do alongamento das barras de continuidade que unem a viga e o pilar. A Figura 9 ilustra tais mecanismos.
Figura 9: Mecanismos de deformação em ligações viga-pilar de extremidade: a) Alongamento das armaduras negativas de continuidade da viga no trecho Le; b) Deformações por flexão no trecho da zona de descontinuidade.

Otrente (2024) chama atenção ao fato de que no âmbito normativo, a ABNT NBR 9062 (1985) não apresentava recomendações analíticas para o cálculo da rigidez secante de uma ligação viga-pilar pré-moldada de concreto com solidarização no local. Levando em conta a dependência de vários parâmetros que influem no resultado dessa rigidez, Ferreira (2014) apresenta uma proposta simplificada para a realização desse cálculo, sendo incorporado na ABNT NBR 9062 (2017):

Em que:

Onde:


Quadro 1: Valores normativos para os parâmetros k e Led.

Figura 10: Comprimento de embutimento: a) Tipologia 1; b) Tipologia 2; c) Tipologia 3; d) Tipologia 4; e) Tipologia 5; f) Tipologia 6.

3. ESTRUTURA PRÉ-MOLDADA DE CONCRETO EM ESTUDO
Para o presente trabalho, foi realizada uma releitura do projeto de Knöner (2013) de modo a adequar aos parâmetros normativos vigentes e utilizá-lo como exemplo de estudo de caso e alcançar objetivo proposto. No presente capítulo apresenta-se todas as informações do projeto necessário para os cálculos e verificações.
3.1 DADOS GERAIS E PARÂMETROS ENVOLVIDOS
A edificação em estudo trata-se de um edifício comercial situado na cidade de São Carlos/SP com 7 pavimentos em concreto pré-moldado. As lajes são do tipo alveolar (piso e cobertura) com 20 cm de espessura e fck = 40 MPa, com capa de concreto moldado no local de resistência fck = 30 MPa e espessura de 5,0 cm. A altura de piso a piso é 3,0 m, inclusive o pavimento térreo, o qual a altura refere-se à distância do piso acabado ao topo do cálice de fundação.
As vigas apresentam seção transversal retangular de 40×80 cm em concreto pré moldado com resistência de fck = 40 MPa. Os pilares apresentam seção transversal quadrada de 50×50 cm e altura de 300 cm, com resistência de fck = 40 MPa. Abaixo constam algumas figuras com as plantas baixas e esquema estático em elevação do prédio para a consideração da ação do vento.
Figura 11: Planta baixa da estrutura.

Na direção y, as estruturas dos pórticos são consideradas de contraventamento, com as lajes trabalhando como “diafragmas” rígido em ambas direções. Nesse sentido, a análise é realizada na direção y devido a uma contribuição menor da estrutura aporticada.
3.2 AÇÕES ATUANTES NO PÓRTICO
Determina-se inicialmente as ações permanentes devido ao peso próprio dos elementos estruturais. Para tal, utiliza-se o peso específico do concreto como sendo 25 kN/m³ conforme recomenda a ABNT NBR 6118 (2023). Na Equação 14 consta o peso próprio das vigas:

Na sequência determina-se o peso próprio dos pilares que será considerado por meio de uma carga concentrada no nó do pórtico:

O peso próprio da laje alveolar considerado é 2,87 kN/m², o que resulta na distribuição de carregamento para as vigas situadas na direção de:

Com relação as sobrecargas nas estruturas, será considerado uma carga de utilização de 5,0 kN/m², que resulta sobre as vigas pré-moldadas na direção x o seguinte carregamento:

A capa da laje apresenta contribuição do seu peso próprio como uma sobrecarga permanente sobre a viga pré-moldada na direção x:

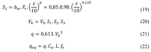
Para a alvenaria de vedação, foi considerada uma carga de 6,75 kN/m nas vigas. Na sequência, estuda-se o carregamento proveniente da ação do vento na estrutura mediante as diretrizes da ABNT NBR 6123 (2023). A velocidade básica (V0) do vento para a cidade de São Carlos foi estipulada via isopletas como sendo 42 m/s. Para o fator topográfico (S1), adotou-se o valor igual a 1,0 devido a presença de terreno plano. O fator estatístico (S3) é igual a 1,0, devido ao fato da edificação de enquadrar nos requisitos do grupo 3 da Tabela 4 da norma ABNT NBR 6123 (2023). Para o cálculo do fator de rugosidade (S2), é necessário conhecer os parâmetros bm, Fr e p que são respectivamente 0,85, 0,98 e 0,125 extraídos das Tabelas 1 e do 2 da mesma norma devido a edificação atender aos critérios da categoria IV e classe B. Com isso é possível determinar o fator S2, velocidade característica do vento (Vk), pressão dinâmica do vento (q), carregamento estático equivalente (qeq):

O coeficiente de arrasto (Ca) foi obtido por meio do ábaco da Figura 4 da ABNT NBR 6123: 2023 e o fator de vizinha foi adotado com o valor 1,0. O comprimento L trata-se da distância perpendicular à ação do vento, ou seja, 37,50 m. Os cálculos foram organizados no quadro abaixo.
Quadro 2: Ação do vento nos pavimentos e nós do pórtico.

Nas Figuras abaixo tem-se o pórtico pré-moldado com os carregamentos aplicados modelados no programa computacional FTOOL. Inicialmente a estrutura é carregada com as ações do seu peso próprio em fase transitória articulada. Posteriormente, considera-se a ação da carga de utilização, demais permanentes e o vento já em situação de ligação solidarizada. Os valores abaixo são característicos.
Figura 12: Carregamentos atuantes: a) Peso próprio das vigas, lajes, pilares e capa em fase articulada; b) Sobrecarga e demais permanentes em fase solidarizada.

Figura 13: Ação do Vento: a) Carregamento estático equivalente em cada pavimento; b) Diagrama de momento fletor devido a ação do vento.

3.3 DIMENSIONAMENTO DA LIGAÇÃO
Para o cálculo da armadura de continuidade da ligação viga-pilar foi utilizado as diretrizes já mencionados na revisão bibliográfica, bem como a metodologia de cálculo de Carvalho e Figueiredo Filho (2024) baseada na ABNT NBR 6118 (2023). O esquema estático para a determinação do vão da viga é dado via Figura 14.
Figura 14: Esquema estático das vigas pré-moldadas de concreto.

As ações que são mobilizadas pela ligação são: sobrecarga, vento e demais permanentes. Para tal, foi realizada uma combinação de ações em E.L.U para obter a envoltória.


Utilizando uma distância de 5,0 cm do C.G da armadura até a fibra tracionada da seção (d’neg), calcula-se a armadura da ligação da seguinte maneira:

Verificando se a armadura calculada é menor que a máxima e maior que a mínima, condição exigida pela norma.

Na sequência determina-se a rigidez da ligação decorrente da quantidade de armadura (7,49 cm²) sendo 4 barras de 16 mm (8,0 cm² de área efetiva). Na Figura 15 consta o esquema das ligações que serão utilizadas no pórtico.
Figura 15: Esquema de cálculo da ligação viga-pilar pré-moldada a) Tipologia 3; b) Tipologia 1.

No Quadro 3 foram calculadas as rigidezes das ligações de tipologias 1 e 3, por meio das expressões presentes na revisão de literatura. Para o cálculo foi utilizado o módulo de elasticidade do aço (Es) CA50 de 210 GPa, coeficiente redutor de rigidez para as vigas (αNLF) de 0,50. O cálculo do módulo de elasticidade inicial do concreto, momento de inércia bruto da viga e da rigidez secante da viga foram obtidos da seguinte maneira:

Quadro 3: Parâmetros de cálculo da rigidez da ligação viga-pilar.

Na sequência determina-se a quantidade de armadura da ligação viga-pilar para a situação da viga moldada in-loco. Para tal, determina-se o momento na extremidade da peça considerando a presença simultânea dos carregamentos com a sua devida combinação de ações:


A quantidade de armadura da ligação viga-pilar para a situação monolítica corresponde a 6,70 cm², ou seja, 4 barras de 16 mm (8,0 cm² de área efetiva).
3.4 DIMENSIONAMENTO DAS VIGAS
Para o cálculo da armadura positiva da viga foram extraídos do programa FTOOL os momentos de cálculo em duas situações com seus carregamentos: fase isostática (1,3.gviga+1,3.glaje+1,4.gcapa) e fase solidarizada (1,4.g4 + 1,5.q + 1,4.0,6.vento). Para a consideração do vento, foi realizado um processo mecanicamente equivalente de transferência de esforços.

Figura 16: Momentos de cálculo (kN.m): a) Fase isostática; b) Fase solidarizada.


Para o cálculo da armadura positiva, seria necessário uma quantidade de 6 barras de 16 mm. A mesma viga, será calculada apenas para o esquema estático bi-apoiado, prática usualmente utilizada nos cálculos de viga em concreto armado, desde que sua armadura negativa seja determinada viga engastamento viga-pilar, conforme realizado no item anterior. Para tal foi utilizado a mesma combinação de ações acima, no entanto todas as cargas vão entrar juntas no esquema estático (1,4.gviga+1,4.glaje+1,4.gcapa +1,4.g4 + 1,5.q + 1,4.0,6.vento).
Figura 17: Momentos de cálculo (kN.m) para a situação in loco.


A armadura longitudinal positiva para a situação in-loco corresponde a 10 barras de 16 mm.
3.5 AVALIAÇÃO DA ESTABILIDADE GLOBAL
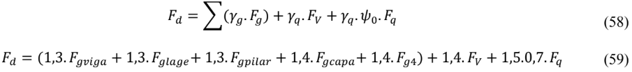
Para a avaliação da estabilidade global da estrutura foi utilizado o processo do gama z conforme descrito na ABNT NBR 6118 (2023). Para essa verificação, a combinação normal de ações em E.L.U é dada conforme as expressões abaixo para o pórtico pré-moldado de concreto, em que se considera a ação do vento como variável principal:

Inicialmente é necessário determinar os deslocamentos de primeira ordem devido a ação do vento (majorada). Para tal, foi modelado o pórtico no programa FTOOL já considerando o engastamento parcial das ligações por meio do coeficiente de modificação da rigidez (γmod) e as não linearidades físicas das vigas e pilares. Na sequência foi elaborado uma tabela para organizar os cálculos e combinações de carregamentos. É importante destacar que as cargas verticais decorrente das ações nas vigas são obtidas para cada pavimento mediante o produto da carga distribuída pelo vão total dos tramos do pórtico (15m), enquanto os pilares são obtidos pela soma das cargas concentradas nos pavimentos (3×18,75 kN).
Figura 18: Deslocamentos no pórtico semi-rígido devido ao vento: a) Ação do Vento como variável principal; b) Deslocamentos em cm.

Quadro 4: Análise do efeito de 2° ordem do pórtico pré-moldado de concreto.


Nota-se que a estrutura é de nós fixos pois o coeficiente resultou no valor de 1,05 < 1,10. Tal fato evidencie que o momento de segunda ordem (com a estrutura deslocável) é muito menor quando comparado com o momento primeira ordem (com a estrutura indeslocável).
Na sequência, foi realizada a análise da estabilidade global para a estrutura monolítica, também obtendo os deslocamentos causados pela ação do vento majorada. É importante destacar que no pórtico monolítico simulado foram consideradas as não linearidades da vigas e pilares por meio dos seus coeficientes redutores de rigidez à flexão, sendo 0,40 para as vigas e 0,80 para os pilares.
Figura 19: Deslocamentos no pórtico monolítico devido ao vento: a) Ação do Vento como variável principal; b) Deslocamentos em cm.

Para a análise da estrutura monolítica foi utilizado a mesma combinação de ações anterior, no entanto, todas as cargas permanentes são multiplicadas por 1,4:

Quadro 5: Análise do efeito de 2° ordem do pórtico monolítico de concreto.


Nota-se que a estrutura é de nós fixos pois o coeficiente resultou no valor de 1,03 < 1,10. Tal fato evidencie que o momento de segunda ordem (com a estrutura deslocável) é muito menor quando comparado com o momento primeira ordem (com a estrutura indeslocável).
4. ANÁLISE DE RESULTADOS
Com base nos cálculos apresentados anteriormente, é possível comparar o desempenho da estrutura pré-moldada de o concreto com a estrutura monolítica em diversos aspectos como:
- Nota-se que do ponto de vista de combinações de ações ambas apresentaram a mesma situação crítica de cálculo, ou seja, para a determinação da armadura longitudinal a carga acidental deve ser a principal e o vento como variável secundária, enquanto que, para a análise da estabilidade global o vento deve ser tomado como variável principal devido a magnitude dos deslocamentos laterais causados no pórtico;
- Com relação as armadura da ligação, a situação semi-rígida resultou em 7,49 cm² (4 barras de 16 mm) e a monolítica em 6,70 cm² (4 barras de 16 mm), ou seja, a mesma quantidade de armadura;
- As mesmas quantidades de armaduras na região da ligação para ambos os casos resultaram em engastamentos diferentes. A tipologia 1 (ligação da viga com o pilar de centro) promoveu um engastamento de 55,51%, enquanto a tipologia 2 (ligação da viga com o pilar de canto) promoveu um engastamento de 52,14 %. Já a situação monolítica, resultou em um engastamento de 54,66% evidenciando assim que as estruturas pré moldadas de concreto podem atingir um nível de rigidez com ordem de grandeza similar as de estruturas monolíticas sem a utilização de solda nas ligações;
- Para as armaduras longitudinais positivas foi necessário 15,43 cm² (6 barras de 16 mm) na situação semi-rígida, enquanto a situação monolítica resultou em 18,87 cm² (10 barras de 16 mm);
- Com relação a análise da estabilidade global, o pórtico pré-moldado de concreto apresentou o coeficiente gama z de 1,05, enquanto o pórtico monolítico resultou no valor de 1,03 para esse coeficiente. Tais valores mostram que uma estrutura com ligações semi-rígida pode apresentar deslocabilidade semelhante a de uma moldada no local, ou seja, apresentando nós fixos. Esse é um fato interessante pois os deslocamentos da estrutura pré-moldada de concreto tende a ser maior do que a monolítica, no entanto, a rigidez promovida pela ligação tem reflexo positivo no cálculo.
5. CONCLUSÃO
A partir da análise dos resultados, foi possível concluir que as estruturas pré-moldadas de concreto podem (quando corretamente dimensionadas) promover um nível de rigidez semelhante as estruturas monolíticas sem a utilização de solda nas ligações. Do ponto de vista de dimensionamento, a consideração das cargas nas estruturas pré-moldadas de concreto deve ser feito com critério e majoradas de maneira correta pois essa etapa irá refletir diretamente no comportamento da mesma em E.L.S e E.L.U para o cálculo das armaduras e análise da estabilidade global. Nesse sentido, o crescente uso dessas estruturas sempre estará em potencial de aplicação, pois é possível obter uma estrutura com desempenho estrutural semelhante a de uma monolítica com tempo reduzido e racionalização dos materiais otimizada.
REFERÊNCIAS BIBLIOGRÁFICAS
ACKER, A. VAN. Manual de Sistemas Pré-Fabricados de Concreto. Tradução de Marcelo de Araújo Ferreira. São Paulo, ABCIC, 2003.
ALVA, G. M. S.; FERREIRA, M. A.; EL DEBS, A. L. H. C. Engastamento parcial de ligações viga-pilar em estruturas de concreto armado. Revista IBRACON de Estruturas e Materiais, v. 2, n. 4, p. 356–379, dez. 2009.
ASSOCIAÇÃO BRASILEIRA DE NORMAS TÉCNICAS (ABNT). NBR 9062: Projeto e Execução de Estruturas de Concreto Pré-Moldado. Rio de Janeiro, 2017.
ASSOCIAÇÃO BRASILEIRA DE NORMAS TÉCNICAS (ABNT). NBR 9062: Projeto e Execução de Estruturas de Concreto Pré-Moldado. Rio de Janeiro, 1985.
ASSOCIAÇÃO BRASILEIRA DE NORMAS TÉCNICAS (ABNT). NBR 6123: Forças devidas ao vento em edificações. Rio de Janeiro, 2023.
ASSOCIAÇÃO BRASILEIRA DE NORMAS TÉCNICAS (ABNT). NBR 6118: Projeto de estruturas de concreto. Rio de Janeiro, 2023.
CATOIA, B. Comportamento de Vigas Protendidas Pré-Moldadas com Ligações Semi Rígidas. 2007. Dissertação (Mestrado em Construção Civil) – Programa de Pós Graduação em Construção Civil, Universidade Federal de São Carlos, São Carlos, 2007.
CARVALHO, R. C.; FIGUEIREDO FILHO, J. Cálculo e Detalhamento de Estruturas Usuais de Concreto Armado. 5. ed. São Carlos: EdUFSCar, 2024.
CHASTRE, C.; LÚCIO, V. Estruturas Pré-Moldadas no Mundo – Aplicações e Comportamento Estrutural. 1. ed. Guarulhos: Fundação da Faculdade de Ciências e Tecnologia, Universidade Nova de Lisboa, 2012. v. 1
FÉDÉRATION INTERNACIONALE DU BETON. Bulletin 43 – Structural Connections for Precast Concrete Buildings. Stuttgart: Bulletin FIB, 2008.
FERREIRA, M. A. Estudo de deformabilidades de ligações para análise linear em pórticos planos de elementos pré-moldados. 1993. Dissertação (Mestrado em Engenharia de Estruturas) – Escola de Engenharia de São Carlos, Universidade de São Paulo, São Carlos, 1993.
FERREIRA, M. A. Estudo do Comportamento de Sistemas Estruturais em Concreto Pré Moldado. Programa de pesquisa de pós-doutorado, Escola de Engenharia de São Carlos EESC-Universidade de São Paulo, 2005.
FERREIRA, M. A. Multi-Storey Precast Concrete Framed Structures with Semi-Rigid Connections. Post-Doctoral Research Report, 2010.
FERREIRA, M. A. Proposta de Revisão e Ampliação do Texto Base ABNT NBR 9062. Comissão de Estudos de Revisão da NBR 9062: Grupo de Estudo GT2, 2014.
FERREIRA, M. A. Moment-resisting precast frames in non-seismic zones. Report elaborated for FIB commission 6 on prefabrication, 2017.
FERREIRA, M. A.; EL DEBS, M. K.; ELLIOTT, K. S. Determinação Teórico-Experimental da Relação Momento-Rotação e Ligações Viga-Pilar de Estruturas Pré-Moldadas de Concreto. V Simpósio EPUSP sobre estrutura de concreto. Anais…2003
FERREIRA, M. A. Ligações semirrígidas e seus efeitos na análise da estabilidade de estruturas pré-moldadas com múltiplos pavimentos em regiões não sísmicas. São Carlos: UFSCar: Departamento de Engenharia Civil. Notas de Aula, 2022.
HADADE, M. A. S. Comportamento de ligações viga-pilar típicas com continuidade de armadura negativa em estruturas pré-fabricadas. 230f. Tese (Doutorado em Construção Civil) – Programa de Pós-Graduação em Estruturas e Construção Civil, Universidade Federal de São Carlos, São Carlos, 2016.
HUBER, G.; KRONENBERGER, H. J.; WEYNAND, K. Representation of joints in the analysis of structural systems. Proceedings of International Conference, COST C1. Anais…Liege, Belgium: 1998
KNÖNER, N. Estabilidade global em estruturas pré-moldadas de concreto: Cálculo do gama Z e avaliação de ligações rígidas, semi-rígidas e articuladas. Relatório – NETPre/UFSCar, 2013
MONFORTON, G. R.; WU, T. S. Matrix analysis of semi-rigidly connected frames. Journal of the Structural Division, v. 89, p. 13–42, 1963.
OTRENTE, J. F. Contribuição ao estudo de pilares pré-moldados de concreto em etapa transitória. 2022. Dissertação (Mestrado em Engenharia Civil) – Programa de Pós – Graduação em Engenharia Civil, Universidade Federal de São Carlos, São Carlos, 2022.
OTRENTE, J. F. Contribuição ao projeto de galpões pré-moldados de concreto com base no desempenho das ligações viga-pilar. 2023. Qualificação de Doutorado – Programa de Pós Graduação em Engenharia Civil, Universidade Federal de São Carlos, São Carlos, 2023.
OTRENTE, J. F. Ligações viga-pilar semi-rígidas e seus efeitos na análise de pórticos planos pré-moldados de concreto. Relatório Parcial 02 – NETPre/UFSCar, 2024.
1Graduando do Curso de Engenharia Civil da Universidade de Araraquara- UNIARA. Araraquara-SP.
E-mail: ferrari02Felipe@gmail.com
2Orientador. Docente Curso de Engenharia Civil da Universidade de Araraquara- UNIARA. Araraquara-SP.
E mail: jfotrente@uniara.edu.br
3Coorientador. Docente Curso de Engenharia Civil da Universidade de Araraquara- UNIARA. Araraquara-SP.
E-mail: jequaresma@uniara.edu.br
