REGISTRO DOI: 10.69849/revistaft/pa10202509302234
Paulo Vinícius Ribeiro Oliveira Tavares
Orientador: Prof. Dr. Wilton Mitsunari Takeshita
RESUMO
Introdução: A fim de auxiliar no diagnóstico das alterações coronárias e periapicais têm-se as radiografias digitais periapicais e interproximais. Contudo, qual seria a condição ideal para interpretação? Objetivo: Avaliar o efeito da variação de luz do local de interpretação e da luminância da tela do display no diagnóstico de cáries e lesões periapicais, sendo o primeiro manuscrito da literatura com estudo em lesões periapicais. Materiais e métodos: Para realização desse estudo foram utilizadas 40 radiografias digitais periapicais e 40 radiografias digitais interproximais. As imagens radiográficas foram analisadas por dois Cirurgiões-dentistas com mais de 10 anos de experiência em diferentes condições. Cada radiografia digital foi analisada sob três intervalos de luminosidade (lx), que corresponde a intensidade de iluminação do ambiente. Os intervalos escolhidos foram: 0-6 lx, 15-21lx e 120-250lx. Em todos os três intervalos de lux o display esteve com calibração DICOM-GSDF. As imagens foram classificadas, pelos examinadores por meio de uma escala de cinco pontos, sendo: 1) alteração definitivamente presente, 2) alteração provavelmente presente, 3) incerto, 4) alteração provavelmente ausente e 5) alteração definitivamente ausente. Para verificar a concordância intra e inter-examinadores foi utilizado o teste Kappa, e as áreas sob as curvas ROC com nível de significância 5% foram comparadas com o teste binomial exato. Resultados: Os diferentes intervalos de lx não diferiram significativamente na detecção das lesões cariosas nas radiografias interproximais digitais (p>0.05). Contudo, nas lesões periapicais o lx baixo apresentou diferenças significativas (p≤0.05), quando comparadas com outras condições de luminosidade. Conclusão: Os diferentes intervalos de lx utilizados nessa pesquisa não interferiram na detecção das lesões cariosas, nas radiografias interproximais digitais. Entretanto, com relação as lesões periapicais observadas nas radiografias periapicais digitais ficou constatado a melhor acurácia diagnóstica em luz ambiente moderada.
Palavras-chaves: Radiografia digital. Diagnóstico. Curva ROC.
ABSTRACT
Introduction: To aid in the diagnosis of coronary and periapical alterations, such as periapical and interproximal digital radiographs. In principle, what is the ideal condition for interpretation? Objective: to evaluate the effect of variation of local information and the luminosity of the screen in the diagnosis of periapical lesions and lesions, being the first manuscript of the literature with the study of periapical lesions. Materials and methods: For the study, 40 digital periapical radiographs and 40 interproximal digital radiographs were used. Radiographic images were analyzed by two dental surgeons with more than 10 years of experience in different conditions. Each digital radiograph was analyzed by three periods of light (lx), which corresponds to an ambient light intensity. The backs chosen were: 0-6 lx, 15-21 lx and 120-250 lx. In all three ranges of lux display with DICOM-GSDF calibration. The images were classified, being examined by means of a scale of five points, being: 1) the reason disappeared; To check for intra- and inter-examiner agreement, Kappa was used, and as areas in the form of ROC curve with significance level 5% were compared with the exact binomial test. Results: The different time intervals were no longer different in the detection of lesions on digital interproximal radiographs (p> 0.05). However, in the periapical operations the low cost changed the differences (p≤0.05), when compared with other conditions of luminosity. Conclusion: The different interest intervals in the research do not interfere in the detection of carious lesions in digital interproximal radiographs. However, about the periapical lesions observed in the periapical radiographs, the digital surveys showed a better diagnostic accuracy in moderate ambient light.
Keywords: Radiographic Image Enhancement. Diagnosis. ROC Curve.
1. INTRODUÇÃO
O poder de resolução do exame clínico, ou seja, sua capacidade de permitir um diagnóstico final é limitada aos sinais e sintomas presentes, e sua identificação pelo profissional. Em vista disso, para contribuir com o exame clínico, têm-se os exames complementares, que apresentam recursos importantes ao diagnóstico, prognóstico, planejamento terapêutico e proservação do paciente (TOMMASI et al., 2015).
Dentre os exames complementares, podemos dividi-los em exames laboratoriais e exames imaginológicos. Nestes, encontram-se as radiografias (intrabucais e extrabucais), exames mais úteis e frequentes em odontologia. Elas são utilizadas para avaliação de alterações ósseas, dentárias e em tecidos. Em determinadas situações, a radiografia será importante ferramenta na detecção de cáries, corpos estranhos, processos de reabsorção, dentes retidos, fraturas coronárias e radiculares, lesões periapicais, anomalias e alterações dentárias de desenvolvimento (TOMMASI et al., 2015).
Com a finalidade de melhorar a acurácia diagnóstica das alterações coronárias e radiculares, foi idealizado os sistemas radiográficos digitais. O primeiro sistema digital direto tornou-se comercialmente disponível como uma alternativa às radiografias convencionais, em 1987. O sistema digital oferece funções que permite facilidade na interpretação das imagens e diagnósticos das alterações dentárias, proporciona dinamismo das imagens e a possibilidade de manipulação destas, alterando suas características, como ajustes de contraste, brilho, cor, inversão dos tons de cinza e outros filtros de imagens, possibilitando dessa forma uma análise mais precisa de certas estruturas e tecidos. O uso da radiografia digital vem sofrendo evolução. Há possibilidade de visualização em dispositivos móveis (smartphones e tablets), permitindo acessibilidade de modo bem mais amplo, haja vista sua portabilidade, disponibilidade e facilidade de uso (SYRIOPOULOS et al., 2000).
Um dos principais fatores que podem afetar a qualidade da radiografia e interpretação digital é o dispositivo de exibição. As radiografias dentárias digitais são vistas em diversas condições de exibição, sendo ainda pouco conhecido como o desempenho do observador é afetado pelo tipo de dispositivo, seu grau de luminosidade e o nível de luz ambiente presente (KALLIO-PULKKINEN et al., 2016).
Os cirurgiões dentários raramente usam displays de exibição específicos e a precisão do diagnóstico pode ser comprometida pelo tipo de exibição, calibração em escala de cinza e nível de luz ambiente (ARAKI et al., 2015). A tela desempenha um papel importante na capacidade do detector ou sensor de radiação para formar e exibir uma imagem confiável. Nos últimos 10 anos, os ecrãs de cristais líquidos (LCDs) substituíram os monitores de tubo de raios catódicos (CRT) para exibir imagens digitais e, depois de essas telas LED terem sido amplamente utilizadas (VASCONCELOS et al., 2016; ILIĆ – STOJANOVIĆ et al., 2015).
Tendo em vista a importância da avaliação do efeito da variação de luz da tela dos displays no diagnóstico de alterações coronárias, radiculares e periapicais. Pelo caráter inédito da avaliação de lesões periapicais na literatura, foi realizado uma pesquisa no ambulatório de radiologia do departamento de Odontologia (DOD) da Universidade Federal de Sergipe (UFS), com finalidade de avaliar o efeito da variação de luz do local de interpretação e da luminância da tela do display no diagnóstico das cáries e lesões periapicais.
2 OBJETIVO
Avaliar o efeito da variação de luz do local de interpretação e da luminância da tela do display no diagnóstico das lesões cariosas e periapicais.
3. REVISÃO DE LITERATURA
Langland et al. (2002), afirma que a radiografia convencional quer seja periapical ou interproximal é o recurso auxiliar mais difundido entre os profissionais para o diagnóstico de alterações dentárias, embora a radiografia digital seja um instrumento bastante promissor.
Segundo Bramante et al. (2007) a radiografia digital, introduzida na Odontologia em 1987, trouxe mais um recurso para o diagnóstico radiográfico, devido à facilidade e rapidez na obtenção da imagem e à diminuição da dose de radiação. Os recursos oferecidos pelo sistema, como a imagem com inversão de contraste, em alto relevo, e a possibilidade de correção do brilho e contraste, têm sido muito empregues nos dias atuais.
De acordo com Candeiro et al. (2009), a qualidade da imagem está ligada a uma série de fatores físicos e operacionais que, quando bem combinados, acarretam em um diagnóstico preciso de patogênese e níveis seguros de operação para todos os envolvidos no procedimento, tendo em vista que a radiação trata-se de um ente invisível e inodoro além de ser acumulativo e ter potencial destrutivo e mutagênico no organismo.
Sabendo-se disto, Junior et al. (2014) sustentam que ao passar dos anos surgiu a preocupação com as doses de radiação entre a classe médica e científica de forma que, se passou a perseguir a boa imagem com a menor dose possível além da otimização dos equipamentos bem como a implantação de normas pertinentes ao uso adequado da radiação e até as novas técnicas empregando o mesmo princípio, como por exemplo, a Radiografia Digital. A qualidade da imagem na radiologia digital (DR) está associada ao número de bits por pixel e do próprio tamanho do pixel e da matriz do equipamento, que traduzem em resolução espacial e quantidades de tons de cinza que simulam seu respectivo tamanho e a densidade ótica referente à estrutura dando a ideia de contraste.
Edirisinghe et al. (2012) verificaram a precisão da utilização de tablets e sua capacidade de manipulação e medições de imagens complexas de tomografia computadorizada de alta resolução (TC). O experimento foi conduzido com um pé do esqueleto humano colocado através de um avançado CT scanner dinâmico de 320 slice. Os dados obtidos em DICOM foram manipulados e as medições de distância foram feitas usando o software Osirix entre dois pontos muito distintos. Os mesmos dois pontos foram identificados no esqueleto e as distâncias foram medidas precisamente usando pinças. Ao medir distâncias usando marcos anatômicos definidos em um esqueleto real os autores observaram que o tablet tem uma capacidade de processamento de imagem muito amigável e ergonômico, no entanto, a capacidade de processamento de software do tablet foi limitada para medições de distância simples. A velocidade de processamento foi inferior a um laptop e reconstruções 3D não eram possíveis com o software atual. Os autores concluíram que os dispositivos tablet atingiram a complexidade necessária para ser um excelente ponto de acesso portátil na radiologia digital. No entanto, é limitada pela capacidade de processamento e pelo design de software desses dispositivos.
Shintaku et al. (2012) compararam a detecção de cárie interproximal em imagens intra-orais digitais apresentadas em monitor de cristal líquido (LCD) de 24 polegadas e o IPad 2. O estudo foi realizado com vinte e sete radiografias digitais de 102 dentes adultos que foram geradas por um sensor de dispositivo de carga acoplada e apresentadas a 4 dentistas em 2 sessões. Os dentistas foram solicitados a avaliar a presença ou ausência de lesões cariosas usando uma escala de 5 pontos. As diferenças de sensibilidade, especificidade e acurácia foram ponderadas utilizando o teste de Wilcoxon e o teste z para as curvas características de operação do receptor. Os autores tiveram como resultado que o tablet e o monitor de LCD não indicaram diferença significativa, e concluíram que o IPad 2 é um dispositivo conveniente não só para melhorar a comunicação com os pacientes, como também para analisar imagens radiográficas intraorais de cárie interproximal.
Hellén-Halme e Lith (2013) estudaram o efeito de diferentes modos de calibração do monitor sob várias condições de iluminação ambiente na capacidade dos observadores de reconhecer lesões de cárie proximais de profundidades variadas. Sete observadores avaliaram 100 dentes com lesões de cárie proximais em radiografias digitais padronizadas usando três condições: (1) monitor pré calibrado para luz ambiente alta (superior a 1000 lux), (2) monitor pré-calibrado para luz ambiente baixa 50 lux e (3) calibração de Barten (DICOM) no monitor em luz ambiente atenuada (menos de 50 lux). As áreas sob a curva ROC foram traçadas para todas as observações. O critério padrão foi o exame histológico dos dentes. Os efeitos de três estados foram comparados utilizando um teste t pareado. Como resultados não foram encontradas diferenças significativas na acurácia do diagnóstico para a detecção de qualquer tipo de lesão de cárie proximal entre os diferentes modos de calibração do monitor de acordo com diferentes níveis de luz 23 ambiente. Portanto, concluíram que não há evidência de que qualquer diferença entre os níveis de luz ambiente afeta a capacidade de detectar lesões cariosas em radiografias digitais, desde que o monitor tenha sido calibrado de acordo com o nível de luz circundante.
Kallio-Pulkkinen et al. (2014) compararam o desempenho do observador na detecção de estruturas anatômicas e patológicas em radiografias panorâmicas usando um monitor de categoria de consumo e tablet (3 ª geração iPad, Cupertino, CA, EUA) sob condições sub-ótimas em comparação com display de 6 megapixels (6 MP) sob condições de iluminação fraca. No estudo foram selecionadas 30 radiografias panorâmicas. Todas as imagens foram cegamente avaliadas em três monitores por dois observadores com diferentes quantidades de experiência, as avaliações de monitor de consumo e de tablet foram feitas em aproximadamente 510 lx de luz ambiente e o display de 6MP exibem avaliações em aprox. 16 lx. Tiveram como resultado que o desempenho de um observador experiente não diferiu entre os diferentes tipos de exibições, enquanto o observador menos experiente obteve melhores resultados com o monitor de 6MP do que com o monitor de consumo ou o tablet. E concluíram que um dentista com menos experiência na interpretação de radiografias panorâmicas pode ser mais dependente do display de alta qualidade usando melhores condições de visualização para detectar estruturas anatômicas e patológicas em comparação com um dentista mais experiente.
Vasconcelos et al. (2015) avaliaram se o tipo de dispositivo de exibição afeta a detecção de fraturas de raiz vertical (VRFs) em radiografias digitais em canais não preenchidos e canais com pinos de fibra de vidro. O experimento foi realizado com quarenta dentes humanos com raiz única, foram decorados e os canais radiculares foram preparados. Os dentes foram divididos em 2 grupos: controles (20 Dentes) e com VRF (20 dentes). Os VRF foram induzidos utilizando uma máquina de ensaio universal. As radiografias periapicais de todos os dentes, com canal não preenchido ou com pino de fibra de vidro, foram obtidas utilizando-se a técnica paralela em três direções (orto, mesio e distoradial) em placas de fósforo de armazenamento (VistaScan). Todos as imagens foram avaliadas e reavaliadas após 30 dias por 3 examinadores em uma escala de 5 pontos usando 4 dispositivos diferentes (tela de notebook com resolução de alta definição completa, tela de mesa com resolução padrão, tablet AndroidTM de 8 polegadas com alta definição e resolução, tablet iPad
9.7 polegadas com resolução Retina). As áreas sob as curvas ROC, sensibilidade, especificidade e precisão foram comparadas por ANOVA. Os autores concluíram que os dispositivos usados para exibir as imagens, não afetaram a detecção de VRFs. Assim, todas elas podem ser usadas para visualizar radiografias, sem interferir na capacidade de diagnóstico. Não há razão para limitar o uso de dispositivos móveis na prática clínica.
Kallio-Pulkkinen et al. (2016) compararam o desempenho do observador na detecção de estruturas anatômicas e cárie em radiografias interproximais usando displays de categoria de consumo com e sem medição de imagem digital e comunicações em medicina (DICOM), tablet (iPad de terceira geração, Apple, Cupertino, CA) e 6 megapixels (MP) sob diferentes iluminações. O estudo foi realizado com 30 radiografias de mordida, que foram cegamente avaliadas em quatro displays sob iluminação ambiente brilhante (510 lx) e (16 lx) por dois observadores. Avaliaram a junção dentino-esmalte, as cáries dentino- esmalte e a borda cortical das cristas alveolares. Consenso foi considerado como referência. A concordância intraobservador foi determinada. A proporção de classificações equivalentes e kappa ponderada foram usadas para avaliar a confiabilidade. Os autores concluíram que a calibração DICOM melhora a detecção de cáries em esmalte e dentina em radiografias de mordida, particularmente em iluminação brilhante, portanto, um display de categoria consumo calibrado DICOM pode ser recomendado como uma ferramenta de diagnóstico com radiografias de mordida, surpreendentemente, um visor de tablet utilizado para visualizar radiografias interproximais pode ser quase igual a um visor calibrado DICOM na detecção de cárie dentino- esmalte, tanto em iluminação brilhante e fraca, e necessária mais investigação sobre o uso clínico de dispositivos de tablet.
4. MATERIAL E MÉTODOS
4.1. Local da pesquisa
A pesquisa foi realizada no ambulatório de radiologia do departamento de Odontologia da UFS com radiografias selecionadas de pacientes do arquivo do projeto de extensão: PJ025-2016 “Serviço de atendimento a pacientes com necessidade de exames radiográficos especializados”, de agosto de 2017 até junho de 2018.
4.2. Tipo de estudo
O projeto foi um estudo retrospectivo, prospectivo e descritivo, para avaliação da acurácia diagnóstica das radiografias digitais visualizadas em diferentes condições de luminosidade do ambiente e da luminância para diagnóstico de alterações dentárias.
4.3. Seleção da amostra
Para este estudo foram utilizadas 40 radiografias digitais periapicais e 40 radiografias digitais interproximais, selecionadas do arquivo do projeto de extensão: PJ025-2016 “Serviço de atendimento a pacientes com necessidade de exames radiográficos especializados.”. O tamanho da amostra foi baseado em manuscritos e confirmada por meio de cálculo amostral de estudo piloto. O tamanho mínimo da amostra foi calculado com a equação: N = Z * Z (P (1-P)) / (D * D). N = tamanho mínimo da amostra, P = proporção esperada, D = intervalo médio do intervalo de confiança e Z = 1,96 (para α = 0,05 e IC 95%).
Portanto, para uma sensibilidade de 80% do teste com 95% de intervalo de confiança e precisão em 0,05. Então, 3.8416 * (0.20 (1-0.20)/(0.05) 2 = 24.58. Portanto, são necessárias vinte e cinco radiografias (FLEISS et al., 2003). (KALLIO- PULKKINEN et al., 2016; DEPRÁ et al., 2015; TAKESHITA et al., 2014; TAKESHITA et al., 2013). Para as interproximais foi considerado o padrão-ouro o consenso entre dois radiologistas com mais de 10 e 30 anos de experiência (L.R.A.S e M.F.B.M, respectivamente). Para lesões periapicais além do consenso entre os radiologistas consta a informação de ausência de vitalidade pulpar, que consta no prontuário.
4.4. Critérios de inclusão
- Imagem radiográfica com ausência de distorção;
- Baixa sobreposição das superfícies proximais dos dentes vizinhos;
- Imagem radiográfica sem erro de angulação;
- Consenso entre dois radiologistas com mais de 10 anos de experiência com
4.5. Critérios de exclusão
- Radiografias com tempo de exposição inadequado;
- Lesões periapicais com ausência de informação da vitalidade pulpar no prontuário;
- Radiografias com coroa e/ou raízes “cortadas”.
4.6. Aspectos éticos
O estudo foi aprovado sob o parecer número 1.873.299 (Anexo A), pelo Comitê de Ética em Pesquisa com seres humanos do Hospital Universitário, da Universidade Federal de Sergipe, seguindo assim as normas da resolução 466/2012 do Conselho Nacional de Saúde (CNS).
4.7. Análise das imagens
As imagens foram analisadas por um radiologista com mais de 15 anos de experiência (W.M.T) e uma ortodontista com mais de 10 anos de experiência (F.S.S) (KALLIO-PULKKINEN et al., 2016) em diferentes condições de análise (KALLIO- PULKKINEN et al., 2016). Antes das sessões de observação, instruções verbais e escritas foram dadas aos observadores como forma de calibração entre os mesmos. O ajuste de brilho, contraste e zoom foram padronizados pelo pesquisador.
Antes do estudo, foi realizada uma avaliação comparativa da luminância máxima para ajustes dos displays e após, iniciaram-se testes com a variação da luminosidade da tela dos dispositivos de visualização. A luminância foi ajustada utilizando um medidor de luminância (X-RITE i1 PANTONE; Grand Rapids, Michigan, USA) e o software PerfectLum3.9 (QUBYX Software Technologies Inc, Wilmington, USA) instalado no computador em que as radiografias foram investigadas. Cada radiografia digital foi analisada sob três intervalos de lux (lx), que corresponde a intensidade de iluminação do ambiente. Os intervalos escolhidos foram: 0-6 lux (luminosidade baixa); 15-21lx (luminosidade moderada) e 120-250lx (luminosidade alta). Em todos os intervalos de lux o monitor esteve sob calibração DICOM-GSDF.
As imagens foram classificadas, pelos examinadores por meio de uma escala de cinco pontos em uma ficha de avaliação (Apêndice A), sendo: 1) alteração definitivamente presente, 2) alteração provavelmente presente, 3) incerto, 4) alteração provavelmente ausente e 5) alteração definitivamente ausente (DEPRÁ et al., 2015; TAKESHITA et al., 2014; TAKESHITA et al., 2013; WENZEL et al., 2002). Para avaliação da concordância intra e inter examinador as imagens foram reavaliadas novamente após 15 dias. Antes do estudo, os observadores foram familiarizados com a interface do software e as folhas de pontuação.
4.8. Análise dos dados
As análises foram tabuladas no programa Microsoft Excel versão 2013 para Windows 64 bits (Microsoft Corporation, Redmond, WA, USA). Para verificar a concordância intra e inter-examinadores foi utilizado o teste Kappa e para avaliar os métodos de imagem a curva ROC com nível de significância de 5% (Receiver Operator Characteristic). As áreas sob as curvas (precisão) foram comparadas com o teste exato Binomial. Todos os testes foram realizados com SPSS®, versão 22.0 (IBM Corporation, Armonk, NY, EUA) para Microsoft Windows com um nível de significância de 5% (P ≤ 0,05).
5. RESULTADOS
Os valores obtidos na escala de 5 pontos para avaliar a presença ou ausência de cáries e lesões periapicais nos diferentes intervalos de luz (0-6lx; 12-21lx; 120- 250lx) foram introduzidas no software SPSS®, versão 22.0, para obtenção dos valores do teste Kappa e da curva ROC.
Através do teste Kappa, foi verificado a confiabilidade intra e inter- examinadores. Landis e Koch (1977) sugerem a seguinte interpretação; valores da interpretação Kappa: <0 nenhum acordo, 0-0.19 pobre acordo, 0,20-0,39 acordo justo, 0,40-0,59 acordo moderado, 0,60-0,79 acordo substancial, 0,80-1,00 acordo quase perfeito. O valor de Kappa para o examinador 1 foi 0.928 e examinador 2 foi 0.797, com relação a avaliação inter-examinador o valor foi de 0.809.
Na tabela 1, há a avaliação de lesões de cárie do examinador 1, do examinador 2 e de ambos nas diferentes condições de luz ambiente. O examinador 1 apresentou acurácia semelhante nas diferentes condições de luminosidade e o examinador 2 apresentou o menor valor de acurácia para a luminosidade baixa.
Tabela 1 – Valores da área sobre a curva ROC e erro padrão para diferentes condições de luminosidade na avaliação de lesões de cárie, para os observadores 1, 2 e ambos.

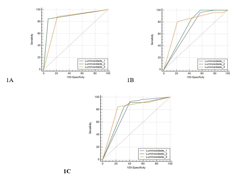
A fim de obter melhor avaliação foram construídas as curvas ROC para a avaliação das lesões cariosas nos três intervalos de luminosidade ambiente, de cada examinador e de ambos, evidenciando que as diferentes condições de luminosidade podem ser utilizadas para diagnóstico.

Figura 1 – Curva ROC para diferentes condições de luminosidade na avaliação de cáries, para os examinadores 1 (1A), 2 (1B) e ambos (1C). Luminosidade 1= Luminosidade baixa; Luminosidade 2= Luminosidade moderada; Luminosidade 3= Luminosidade alta.
As áreas sob as curvas ROC foram comparadas com o teste binomial exato (Tabela 2). Não houve diferenças estatisticamente significativa para os examinadores nos intervalos de lux analisados.
Tabela 2 – Comparação das áreas sobre a curva ROC em diferentes condições de luminosidade na avaliação de lesões de cárie, aplicando o teste binomial exato, para os observadores 1, 2 e ambos.

Na tabela 3, foi feita a avaliação das lesões periapicais utilizando valores da área sobre a curva ROC. Os examinadores 1 e 2 apresentam-se menor valor de acurácia para a luminosidade baixa.
Tabela 3 – Valores da área sobre a curva ROC e erro padrão para diferentes condições de luminosidade na avaliação de lesões periapicais, para os observadores 1, 2 e ambos.

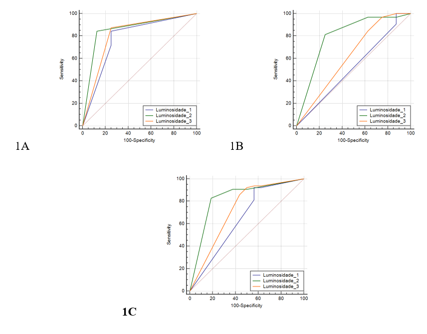
A fim de obter melhor avaliação foram construídas as curvas ROC para a avaliação das lesões periapicais nos três intervalos de luminosidade ambiente, de cada examinador e de ambos, evidenciando que as diferentes condições de luminosidade podem ser utilizadas para diagnóstico.

Figura 3 – Curva ROC para diferentes condições de luminosidade na avaliação de lesões periapicais, para os examinadores 1 (1A), 2 (1B) e ambos (1C). Luminosidade 1= Luminosidade baixa; Luminosidade 2= Luminosidade moderada; Luminosidade 3= Luminosidade alta.
As áreas sob as curvas ROC foram comparadas com o teste binomial exato (Tabela 4). A luminosidade baixa apresentou diferenças estatisticamente significativas para o examinador 2 e na avaliação de ambos os examinadores, quando comparadas com outras condições de luminosidade.
Tabela 4 – Comparação das áreas sobre a curva ROC em diferentes condições de luminosidade na avaliação de lesões periapicais, aplicando o teste binomial exato, para os observadores 1, 2 e ambos.

6. DISCUSSÃO
A tecnologia está intimamente ligada ao mundo moderno. Seus efeitos foram expandidos a área da saúde, os quais podemos destacar os benefícios trazidos aos exames radiológicos. A radiologia digital representou um grande avanço para elucidações diagnósticas. Antes, através do sistema radiográfico convencional, dentre as desvantagens presentes, está a geração de substâncias tóxicas e a necessária quantidade exata de radiação a fim de evitar erros na análise radiográfica. Mesmo com a técnica perfeita, considerando que a nitidez e o contraste da radiografia convencional são naturalmente mais baixos, o paciente acaba exposto a uma quantidade maior de radiação do que no caso da radiografia digital para que uma imagem da mesma qualidade seja produzida (NASSEEN, et al 2014). No intuito de um correto diagnóstico, a exibição da imagem desempenha um papel fundamental.
Atualmente, os registros dos pacientes e as imagens radiográficas digitais são visualizadas em um monitor de computador. A capacidade do monitor de apresentar adequadamente estruturas de baixo contraste é vital para a radiologia diagnóstica. As propriedades das telas usadas para visualizar as radiografias na prática clínica variam amplamente, desde telas coloridas prontas até telas odontológicas calibradas de alta resolução com Imagem e Comunicação Digitais em Medicina (DICOM) em escala de cinza (GSDF). A profundidade de bits do monitor, a resolução e particularmente a calibração da resposta de luminância e contraste podem influenciar a qualidade da informação de diagnóstico que pode ser extraída da radiografia (SAMEI et al., 2005). A calibração DICOM-GSDF contribuiu para a correta percepção da imagem, importantes para qualidade da imagem no monitor, como a luminância (lx)
Na prática clínica, as radiografias digitais realizadas para o diagnóstico de cáries são visualizadas em vários tipos de monitores e, geralmente, em condições de iluminação ambiente relativamente alta, em vista disso, foi proposto o presente trabalho de pesquisa. Para o presente trabalho de pesquisa, a avaliação de cáries, a luminosidade do ambiente não apresentou diferenças significativas, quando comparadas as diferentes condições de luminosidade, contudo a luminosidade baixa apresentou os menores valores de acurácia. Com relação as lesões periapicais a luminosidade baixa diferiu de forma significativa das outras condições de luminosidade apresentando os menores valores de acurácia.
Para a avaliação de cárie os nossos resultados corroboram com Pakkala et al. (2012), que avaliaram o efeito da iluminação da sala e vários tipos de exibição na precisão do diagnóstico de cárie em radiografias dentárias digitais. Três tipos de exibição foram testados em três níveis diferentes de iluminação ambiente. Os níveis de iluminância da sala escolhidos para este estudo foram: a iluminância máxima em um consultório odontológico (aprox. 400 lux), 50% da luminância máxima (aprox. 200 lux) e o recomendado 15 lux medida na superfície do visor. A iluminação da sala de consultório odontológico havia sido medida anteriormente na mesa e na superfície da tela. Já os monitores escolhidos para o experimento eram um display colorido pronto para uso, de um tipo que pode ser encontrado em uma clínica odontológica (Dell 2007FP, Dell Inc., Round, Rock, Texas, EUA), um LCD cor calibrado DICOM (Eizo Flexscan MX210, Eizo Corp., Ishikawa, Japão) e LCD em escala de cinza calibrado com DICOM (Barco MDCG2121CB, Barco NV, Kortrijk, Bélgica) projetado para diagnóstico médico.
Além disso, o presente trabalho de pesquisa para lesões de cárie, corrobora com Hellén-Halme et al. (2013), que investigaram o efeito de diferentes modos de calibração do monitor sob várias condições de iluminação ambiente sobre a capacidade dos observadores em reconhecer lesões proximais de várias profundidades. Foram avaliados 100 dentes para lesões cariosas proximais em radiografias digitais em: (1) monitor pré-calibrado para luz ambiente alta (superior a 1000 lux), (2) monitor pré-calibrado para luz ambiente baixa (menor que 1000lux – superior a 50 lux) e (3) Calibração DICOM no monitor com luz ambiente reduzida (menos de 50 lux). As curvas características de operação do receptor foram plotadas para todas as observações. O critério padrão foi o exame histológico dos dentes. Os efeitos de três condições foram comparados usando um teste t pareado. O nível de significância foi ajustado para p <0,05.
Em nosso estudo, comparamos um monitor calibrado DICOM-GSDF em diferentes intervalos de luminosidade ambiente (0-6lx; 12-21lx; 120-250lx) semelhante ao estudo realizado por Hellén-Halme et al. (2013), onde o monitor foi pré-calibrado em luz ambiente de 1000lx, entre 50 e 1000lx e abaixo de 50lx. Em cada sessão de análise, o pesquisador utilizou o mesmo ambiente e o mesmo notebook Acer LCD, WINDOWS 8 e processador Intel® Core™ i5- 4200U CPU @ 1.60GHz 2.30GHz, no qual já havia previamente instalado o software PerfectLum Suite 3.9. Foram colhidas 40 radiografias digitais periapicais e 40 radiografias digitais interproximais do banco de dados do projeto de extensão
Uma das limitações do nosso estudo foi a impossibilidade de fazer a análise histológica para a validação das lesões de cárie, pois as radiografias são de pacientes, sendo assim utilizamos o consenso entre os radiologistas para definir o nosso padrão- ouro baseado na vasta experiência dos radiologistas. Diferente do estudo de Hellén- Halme et al. (2013), que avaliaram dentes extraídos e montados em blocos de resina. Já nas lesões periapicais além do consenso entre os radiologistas consta a informação de ausência de vitalidade pulpar, apresentado no prontuário.
Com relação as lesões cariosas, a curva ROC desse estudo mostrou que as três condições de luz ambiente analisadas possuem acurácia semelhantes, podendo ser utilizados para o diagnóstico e não apresentaram diferenças estatisticamente significativas entre si. Assim podemos determinar que este estudo apresentou resultados semelhantes aos estudos realizados por Shintaku et al. (2012) e Kallio- Pulkkinen et al. (2015).
A curva ROC referente a avaliação das lesões periapicais mostrou, que a luminosidade baixa apresentou diferenças estatisticamente significativas e de menor acurácia, quando comparadas com outras condições de luminosidade. O presente trabalho de pesquisa é o primeiro na literatura que avaliou as lesões periapicais em diferentes condições de luminosidade do ambiente e do display. Portanto, não há evidências científicas que corroborem os achados referentes às lesões periapicais do presente trabalho, sendo essenciais mais estudos para avaliar a melhor acurácia diagnóstica dessas lesões em diferentes condições de luminosidade.
De acordo com as observações do presente trabalho de pesquisa, como as propriedades inerentes de luminância (e assim o contraste percebido) de diferentes LCDs podem variar substancialmente, a calibração da resposta de luminância destes displays é essencial para assegurar que a percepção do observador de uma imagem seja consistente em todas as exibições.
7. CONCLUSÕES
Os diferentes intervalos de lux utilizados nessa pesquisa, não interferiram na detecção das lesões cariosas, possuindo semelhantes acurácia diagnóstica e sendo capazes de servir como meio de avaliação de cárie nas radiografias digitais interproximais. Entretanto, com relação as lesões periapicais observadas nas radiográficas periapicais digitais ficou constatado a melhor acurácia diagnóstica em luz ambiente moderada.
REFERÊNCIAS
Abdinian M, Razavi SM, Faghihian R, Samety AA, Faghihian E. Accuracy of digital bitewing radiography versus different views of digital panoramic radiography for detection of proximal caries. J Dent (Tehran). 2015;12(4):290-297.
Araki K, Fujikura M, Sano T. Effect of display monitor devices on intra-oral radiographic caries diagnosis. Clin Oral Invest. 2015:19(8):1875–1879.
Belém MDF, Ambrosano GMB, Tabchoury MCP, Ferreira-Santos RI, Haiter-Neto F. Performance of digital radiography with enhancement filters for the diagnosis of proximal caries. Braz Oral Res. 2013;27(3):245-251.
Bramante AS, Bramante CM, Bernardineli N. Diagnóstico de defeitos ósseos por meio de radiografia convencional, digital e tomografia helicoidal. Revista portuguesa de estomatologia, medicina dentária e cirurgia maxilofacial. 2007; v. 48, nº01. p15- 21.
Caffery LJ, Armfield NR, Smith AC. Radiological interpretation of images displayed on tablet computers: a systematic review. Br J Radiol. 2015; 88(1050):20150191.
Candeiro GTM, Bringel ASF, Vale IS. Radiologia Digital: Revisão de Literatura. Revista odontológica de Araçatuba, 2009; v.30, n.2, p38-44.
Deprá LC, Vessoni Iwaki LC, Chicarelli M, Takeshita WM. Influence of image filters and variation in horizontal angle of incidence of x-ray beam in digital interproximal radiographs for diagnosis of secondary caries in esthetic restorations. J Contemp Dent Pract. 2015;16(10):805-812.
Edirisinghe Y, Crossette M. Accuracy of using a tablet device for the use of digital radiology manipulation and measurements. Journal MTM, 2012;1(2):23-27.
Hashem MA, Moore WS, Noujeim M, Deahl ST, Geha H, Mcmahan CA. Detection of class ii caries on the ipad with retina display. Gen Dent. 2015;63(4):56-60.
Hellén-Halme K, Lith A. Carious lesions: diagnostic accuracy using pre-calibrated monitor in various ambient light levels: an in vitro study. Dentomaxillofac Radiol. 2013;42(8):20130071.
John S, Poh ACC, Lim TCC, Chan EHY, Chong LR. The ipad tablet computer for mobile on-call radiology diagnosis? Auditing discrepancy in CT and MRI reporting. J Digit Imaging. 2012;25(5):628-634.
Junior, JCDS; Afonso, AP; Neto, AP. The clinical applicability of digital radiography in dentistry. Revista do programa de pós-graduação em Odontologia da Faculdade de saúde da UMESP. 2014; 22(43-44): 83-92.
Kallio-Pulkkinen S, Haapea M, Liukkonen E, Huumonen S, Tervonen O, Nieminen MT. Comparison between DICOM-calibrated and uncalibrated consumer grade and 6-MP displays under different lighting conditions in panoramic radiography. Dentomaxillofac Radiol. 2015;44(5):1-7.
Kallio-Pulkkinen S, Haapea M, Liukkonen E, Huumonen S, Tervonen O, Nieminen MT. Comparison of consumer grade, tablet and 6MP-displays: observer performance in detection of anatomical and pathological structures in panoramic radiographs. Oral Surg Oral Med Oral Pathol Oral Radiol. 2014;118: 135-41.
Kallio-Pulkkinen S, Huumonen S, Haapea M, Liukkonen E, Sipola A, Tervonen O, Nieminen MT. Effect of display type, DICOM calibration and room illuminance in bitewing radiographs. Dentomaxillofac Radiol. 2016;45(1):20150129.
Lagido, A.M. A ortopantomografia no estudo de lesões radiolúcidas – importância no diagnóstico e tratamento. 2011. 66f. Dissertação de Mestrado – Universidade Fernando Pessoa, Porto, 2011.
Langland OE, Langlais RP, Preece JW. Principles of dental imaging. 2ed. USA: Lippincott Williams & Wilkins, 2002.
Miri S, Mehralizadeh S, Sadri D, Motamedi MRK, Soltani P. The efficacy of the reverse contrast mode in digital radiography for the detection of proximal dentinal caries. Imaging Sci Dent. 2015;45(3):141-145.
Naseem S, Nikhil B, Ajay L. Recent advances in imaging technologies in dentistry. World J Radiol.2014; 6(10): 794–807.
Nikneshan S, ABBAS FM, SABBAGH S. Detection of proximal caries using digital radiographic systems with different resolutions. Indian J Dent Res. 2015;26(1):5-10.
Pakkala T, Kuusela L, Ekholm M. Effect of Varying Displays and Room Illuminance on Caries Diagnostic Accuracy in Digital Dental Radiographs. Caries Research. 2012; 46:568–574.
Samei E, Badano A, Chakraborty D. Assessment of display performance for medical imaging systems: executive summary of AAPM TG18 report. Med Phys. 2005; 32(4):1205-25.
Shintaku WH, Scarbecz M, Venturin JS. Evaluation of interproximal caries using the IPad 2 and a liquid crystal display monitor. Oral Surg Oral Med Oral Pathol Oral Radiol. 2012;113(5):40-44.
Syriopoulos K. Radiographic detection of approximal caries: a comparison of dental films and digital imaging systems. Dentomaxillofac Radiol. 2000; v.29, n.5, p.312-8.
Tadinada A, Mahdian M, Sheth S, Chandhoke TK, Gopalakrishna A, Potluri A, Yadav S. The reliability of tablet computers in depicting maxillofacial radiographic landmarks. Imaging Sci Dent. 2015;45(3):175-180.
Takeshita WM, Iwaki LC, Da Silva MC, Iwaki-Filho L, Queiroz AD, Geron LB. Comparison of the diagnostic accuracy of direct digital radiography system, filtered images, and subtraction radiography. Contemp Clin Dent. 2013;4(3):338-342.
Takeshita WM, Iwaki LV, Da Silva MC, Sabio S, Albino PF. Comparison of periapical radiography with cone beam computed tomography in the diagnosis of vertical root fractures in teeth with metallic post. J Conserv Dent. 2014;17(3):225-229.
Tewes S, Rodt T, Marquardt S, Evangelidou E, Wacker FK, Von Falck C. Evaluation of the use of a tablet computer with a high-resolution display for interpreting emergency CT scans. Rofo. 2013;185(11):1063-1069.
Tommasi MHM, Tommasi AF. Diagnóstico em Patologia Bucal: 4. ed. São Paulo: Editora Elsever Ltda., 2015. Valizadeh S, Goodini M, Ehsani S, Mohseni H, Azimi F, Bakhshandeh H. Designing of a computer software for detection of approximal caries in posterior teeth. Iran J Radiol. 2015; 12(4): e16242.
Vasconcelos TV, Santaella GM, Nascimento HAR, Rovaris K, Ambrosano GMB, Freitas DQ. Digital radiographs displayed on different devices: effect on the detection of vertical root fractures. International Endodontic Journal. 2016; 49, 386–392.
Vieira MS, Nogueira CPR, Silva MAS, Bauer JRO, Maia-Filho EM. In vitro evaluation of proximal carious lesions using digital radiographic systems. Scientific World Journal. 2015; 2015:631508.
Wenzel A, Hintze H, Kold LM, Kold S. Accuracy of computer-automated caries detection in digital radiographs compared with human observers. Eur J Oral Sci. 2002;110(3):199-203.
Yalçinkaya SE, Künzel A, BECKER J. In vitro comparison of intraoral films and four image plate systems in radiographic caries diagnosis. Müsbed. 2012;2(4):175-180.
