REGISTRO DOI: 10.69849/revistaft/cl10202510161755
Ricardo Vieira Alves
RESUMO
A Paraíba é o 3º maior produtor de cana-de-açúcar do Nordeste ficando somente atrás de Pernambuco e Alagoas e exportando, pelo porto de Cabedelo, cerca de 20 mil toneladas de açúcar ao ano. O destino dos resíduos sólidos, o bagaço da cana, pode servir para fins sustentáveis na construção civil a partir da obtenção das cinzas provenientes de sua queima. Assim como o cimento e a areia, as cinzas do bagaço de cana-de-açúcar (CBC) possui em sua composição o dióxido de silício, trazendo grande potencial para ser utilizada como substituto mineral no traço do concreto. A partir dessas afirmações, esta pesquisa visa analisar o desempenho e viabilidade da substituição parcial do cimento por cinzas do bagaço de cana (CBC) e sua aplicabilidade em argamassas e concretos, com o intuito de contribuir para redução dos impactos ambientais causados pela extração mineral das jazidas dos componentes do cimento Portland. O projeto de pesquisa será embasado em pesquisas bibliográficas publicadas nos últimos 15 anos, em sites como Biblioteca digital de Teses e Dissertações, Periódicos Capes, Google Acadêmico e Scientific Electronic Library Online (Scielo). Serão realizados estudos comparativos de experimentos publicados em artigos, teses e dissertações, que produziram ensaios de testes de resistência à compressão, utilizando corpos de prova cilíndricos com cinzas do bagaço de cana e argamassa, de acordo com a Norma NBR 7215:2019. Os melhores níveis de adição das cinzas do bagaço de cana, serão avaliados com base no teste de médias Tukey (teste de comparação de médias) para todas as combinações aos 7 e 28 dias, adotando-se delineamento experimental inteiramente casualizado (DIC). O estudo verificará as taxas de substituição parcial do cimento por CBC, em corpos de provas no valor de 0% (corpo de prova de referência), 10%, 20% e 30% de CBC substituindo o cimento, respectivamente. Os índices de atividade pozolânica comprovam a reatividade da CBC, os resultados dos ensaios de compressão indicam a viabilidade de substituição de até 20% de cimento Portland por cinzas do bagaço de cana, sem prejuízo da resistência do material. Será feita uma análise de margem de erro com dados de 4 experimentos nesta faixa de substituição. Portanto, evidencia-se que a utilização das cinzas do bagaço de cana-de açúcar na construção civil é de interesse lucrativo, socioambiental e gera benefícios a médio e longo prazo.
Palavras-chave: Cinzas do bagaço da cana-de-açúcar, construção civil, resíduo agroindustrial, sustentabilidade.
1. INTRODUÇÃO
Na busca de minimizar os impactos ambientais provocados pela construção, surge o paradigma da construção sustentável. Os desafios para o setor da construção são diversos, porém, em síntese, consistem na redução e otimização do consumo de materiais e energia, na redução dos resíduos gerados, na preservação do ambiente natural e na melhoria da qualidade do ambiente construído (Ministério do Meio Ambiente).
Até a década de 1930 do século passado, a produção açucareira no Brasil era dominada pelos usineiros nordestinos e esta era direcionada para o abastecimento da própria região e exportada principalmente para o Centro/Sul, já que a concorrência internacional era muito forte (LIMA; ARAGÃO, 1999).
A cultura da cana-de-açúcar representa uma das principais atividades agrícolas do país, e segundo a Companhia Nacional de Abastecimento (CONAB), em 2025, a área plantada de cana, no Brasil, é de cerca de 8,70 milhões de hectares.
A produção de cana-de-açúcar para a safra 2024/25, conforme a Companhia Nacional de Abastecimento, está estimada em 678,67 milhões de toneladas. A Região Centro-Sul, atualmente, responde por mais de 85% da produção do setor sucroalcooleiro, sendo São Paulo o principal estado produtor.
Segundo a Associação dos Plantadores de Cana-de-Açúcar do Estado da Paraíba – ASPLAN – PB, a produção canavieira se concentra basicamente no litoral do Estado, apresentando 90% do total produzido no Estado, enquanto a região do Brejo, que já foi grande produtora, hoje se limita a apenas 10% da cana-de-açúcar produzida na Paraíba. Ainda segundo a ASPLAN – PB o Estado bateu recorde na safra de 2023 com um volume de produção estimado em 7,43 milhões de toneladas do produto.
No processo de extração do caldo da cana-de-açúcar através de moendas, é produzida grande quantidade de bagaço, que é uma biomassa de grande importância energética. Cerca de 95% do seu volume gerado é utilizado no processo de queima em caldeiras para geração de vapor que, em consequência desse procedimento, formam-se resíduos que são as cinzas do bagaço.
As cinzas do bagaço de cana ou CBC são constituídas basicamente de dióxido de silício SiO2 e pode substituir em parte o cimento no concreto e argamassas sem prejudicar suas características físicas e químicas sendo um aproveitamento, em parte sustentável, em parte econômico, visando a diminuição da extração de recursos não renováveis do solo e a diminuição dos custos com o cimento ou a areia. Portanto, constituída basicamente de sílica, a cinza do bagaço de cana-de-açúcar (CBC) tem potencial para ser utilizada como adição mineral, substituindo parte do cimento em argamassas e concretos (CORDEIRO et al., 2008).
Para a sua viabilidade é necessário o estudo da atividade pozolânica da amostra de (CBC), conforme a (NBR – 5753:2016). A pozolana é um dos componentes do cimento utilizados na preparação de argamassas pozolânicas, misturada com água e cal hidratada, melhorando as características dos concretos e permitindo a sua utilização dentro de água, (NEVILLE, 1975, pag. 72).
Segundo De Paula et al. (2009, p. 354) a utilização pela construção civil de resíduos gerados em outros setores da economia é vantajosa não apenas em virtude do aumento da atividade industrial e, consequentemente, de subprodutos, mas, sobretudo, devido à redução da disponibilidade de matérias-primas não renováveis, tão necessárias às atividades da construção civil convencional.
Ante o exposto, justifica-se um estudo acerca da viabilidade da substituição da CBC pelo cimento Portland, na fabricação do concreto e argamassas, pois, em um mundo em constante transformação a sustentabilidade não é algo a ser perseguido, mas já é uma realidade. Haja vista a relevância da produção sucroalcooleira no estado da Paraíba, também se configura relevante a análise do referido setor da agroindústria paraibana.
1.1 OBJETIVOS
1.1.1 Objetivo Geral:
Explorar a viabilidade da substituição parcial do cimento Portland pelas cinzas do bagaço de cana-de-açúcar CBC.
1.1.2 Objetivos Específicos:
- Verificar dados bibliográficos experimentais de ensaios com corpos de prova, com substituições parciais do cimento por cinzas do bagaço de cana, e a resistência à compressão do material;
- Calcular o desvio padrão e a margem de erro em relação aos experimentos com 20% de adição de CBC;
- Analisar o índice de atividade pozolânica (IAP) nas cinzas do bagaço de cana-de-açúcar;
- Analisar o Estado da Paraíba como produtor de cana-de-açúcar e o uso potencial da CBC em cidades locais.
1.2 ORGANIZAÇÃO DO TRABALHO DE CONCLUSÃO
Este trabalho está dividido em 4 capítulos:
- Capítulo 1: será explanada a introdução, onde realizar-se-á uma contextualização geral sobre o tema, objetivos, as atividades desenvolvidas e a organização do trabalho.
- Capítulo 2: referencial teórico, onde serão apresentados conceitos, definições e tecnologias dos principais temas abordados no projeto.
- Capítulo 3: descrição do projeto em si e está dividido em Metodologia, Resultados e Discussão dos Resultados.
-Metodologia: descrição dos métodos, técnicas, ferramentas, tecnologias e os processos adotados, de modo a permitir a repetição do estudo com a mesma precisão.
-Resultados: descrição objetiva e detalhada dos resultados obtidos, conforme estabelecido na metodologia.
-Discussão dos Resultados: discussão teórica dos resultados obtidos, relacionando-os com aqueles descritos na metodologia.
- Capítulo 4: considerações finais, onde se demonstrará como foram atingidos os objetivos definidos no Capítulo 1 e cronograma das etapas do relatório do estágio.
2. REFERENCIAL TEÓRICO
2.1 A Cana-de-açúcar:
A cana-de-açúcar é conhecida por suas características peculiares: uma planta fina de formato cilíndrico, folhas grandes, podendo alcançar até seis metros de altura, do gênero Saccharum e pertencente à família das gramíneas (MELO, 2018), A agroindústria canavieira é bastante visada devido ao esgotamento das jazidas petrolíferas, como também o valor elevado do petróleo.
Figura 1 – Cana-de-açucar, gênero, Saccharum, família Andropogoneae.

Fonte: Disponível em<http://agenciaalagoas.al.gov.br/noticia/item/4588-alvaro-vasconcelos-prestigia-evento-de-liberacao-de-especies-da-cana-de-acucar>. Acesso 01 de Maio de 2025
É com ela, a cana-de-açúcar, que se faz dois produtos essenciais para a economia mundial: o açúcar, parte indispensável da alimentação humana, e o álcool, utilizado nas bebidas alcoólicas como a cachaça ou como combustível para abastecer os carros, também conhecido como etanol (MELO, 2018, p. 11).
Segundo Marin (EMBRAPA, 2019), o conhecimento das demandas agronômicas de uma cultura agrícola é imprescindível para o sucesso na atividade e fator essencial para a obtenção de rendimentos economicamente aceitáveis, com impacto ambiental mínimo. Neste contexto, deve-se cuidar para que a alocação de uma determinada espécie em uma região seja compatível com as características agroclimáticas adequadas ao desenvolvimento e produção da cultura. No caso da cana-de-açúcar as principais características agronômicas que regulam o desenvolvimento da cultura estão o clima e o solo. Dentre as instituições desenvolvedoras de cultivares do Brasil, destaca-se a Rede Interuniversitária para o Desenvolvimento do Setor Sucroalcooleiro do Brasil (Ridesa), fundada em 1991, que responde por cultivares plantadas em mais de 50% da área total brasileira de cana-de-açúcar.
A altura que essa espécie atinge está diretamente ligada à quantidade de sol que ela recebe diariamente. Cultivados em locais de clima tropical ou subtropical, os pés de cana-de-açúcar são da mesma família de plantas como o milho, o arroz e a cevada. A cultura pode se desenvolver até em solos sem muitos recursos, como o cerrado. A cana produzida hoje é resultado de diversas melhorias genéticas feitas através do cruzamento de suas espécies (NOVACANA, 2015).
FIGURA 2. Partes da planta de cana-de-açúcar.

Fonte: PAES, OLIVEIRA (CTC, 2019).
A cana-de-açúcar, Saccharum spp., é uma planta cujas principais espécies surgiram na Oceania (Nova Guiné) e na Ásia (Índia e China). As variedades cultivadas no Brasil e no mundo são híbridas, provenientes do cruzamento entre diferentes espécies (multiespecíficos) do gênero Saccharum, que é um gênero de plantas pertencente à família Poaceae (E-TEC BRASIL, 2015).
Como a maioria das gramíneas, a cana-de-açúcar se desenvolve formando uma touceira. A touceira é constituída por uma parte subterrânea (raízes e rizomas) e por uma parte aérea, formada por colmos, folhas, inflorescência (conjunto de flores arranjadas em uma haste) e frutos.
A cana-de-açúcar é propagada vegetativamente utilizando-se os próprios colmos, que possuem gemas laterais capazes de formar novas plantas. Os colmos ficam acima do solo e são caracterizados por apresentar nós bem marcados e entrenós distintos. O colmo também é responsável pela sustentação das folhas e panículas (inflorescências). O porte pode ser ereto, semiereto ou decumbente, dependendo da idade da planta (E-TEC BRASIL, 2015).
2.2 A Atual Produção Açucareira no Brasil:
O Brasil é hoje o principal produtor de cana-de-açúcar no mundo (FAO, 2023). Atualmente o Estado de São Paulo é o maior produtor do Brasil, enquanto o Estado da Paraíba figura a décima primeira posição no quadro nacional. A safra de cana-de-açúcar encerra o ciclo 2024/25 com produção estimada em 676,96 milhões de toneladas no país, redução de 5,1% ao se comparar com a safra de 2023/24. Ainda assim, este é o segundo maior volume colhido na série histórica segundo a Companhia Nacional de Abastecimento (CONAB, 2025).
A queda é reflexo dos baixos índices de chuvas, aliados às altas temperaturas registradas na Região Centro-Sul, que representam 91% da produção total do país, prejudicando a safra que se encerra. Além disso, a queimada nos canaviais foi outro fator que atingiu negativamente o desempenho das lavouras na atual safra, pois o fogo consumiu vários talhões de cana em plena produção (MINISTÉRIO DO DESENVOLVIMENTO AGRÁRIO, 2025).
FIGURA 3. Ilustração do mapa do cultivo de cana no Brasil.

Fonte: NIPE– Unicamp, IBGE e CTC, (2019).
A colheita, carregamento, transporte, pesagem, pagamento da cana pela qualidade, descarregamento e lavagem são operações determinantes para um bom desempenho industrial. Estas etapas devem ser realizadas em sincronia com as operações industriais para que não ocorra sobre abastecimento (EMBRAPA, 2016).
Uma das etapas mais importantes é a moagem, um processo de extração do caldo que consiste em fazer a cana passar entre dois rolos, com uma pressão pré-estabelecida aplicada a eles (MARQUES, 2017 apud SOLON, 2006 p. 33).
A moenda deve extrair o caldo, como também produzir bagaço no final do processo. O bagaço é produzido numa quantidade que varia de 240kg a 280kg por tonelada de cana moída e o destino dos resíduos sólidos da cana-de-açúcar, pode ser como combustível utilizado nas caldeiras a vapor das usinas e servir como alimentação animal ou também serem utilizadas as cinzas provenientes da queima do bagaço de cana para fins sustentáveis na construção civil (MARQUES, 2017).
2.3 Produção e Custo do Cimento no Brasil e na Paraíba:
Segundo a CBIC, Câmara Brasileira da Indústria da Construção, o mercado do cimento no Brasil é atualmente composto por 24 grupos cimenteiros, nacionais e estrangeiros, com cerca de 93 plantas produzindo, espalhadas por todas as regiões brasileiras. A capacidade instalada calculada do país já é de 100 milhões de toneladas/ano, com a entrada das plantas em construção. Somente no ano passado, mesmo com o mercado apontando queda no consumo, foram adicionadas mais 5 milhões de toneladas anuais à capacidade instalada do parque industrial cimenteiro.
O marco da produção no país é de 1924 e a capacidade de produção atual, segundo o relatório anual do Sindicato Nacional da Indústria do Cimento – SNIC (2024), atinge 64 milhões de toneladas ao ano, sendo 80% da operação feita por 12 grupos de grande e médio porte (sete nacionais, quatro estrangeiros e um de capital compartilhado), além de 11 pequenas empresas com foco microrregional.
QUADRO 1. Consumo de cimento no Brasil de 2003 a 2024.
| ANO | TONELADAS | VARIAÇÃO ANUAL |
| 2003 | 33.561.690 | -11,29% |
| 2004 | 35.660.175 | 6,25% |
| 2005 | 37.581.698 | 5,39% |
| 2006 | 40.938.315 | 8,93% |
| 2007 | 44.984.102 | 9,88% |
| 2008 | 51.488.180 | 1,45% |
| 2009 | 51.669.850 | 0,35% |
| 2010 | 60.007.980 | 16,14% |
| 2011 | 64.971.753 | 8,27% |
| 2012 | 69.323.633 | 6,70% |
| 2013 | 70.974.211 | 2,38% |
| 2014 | 71.902.803 | 1,03% |
| 2015 | 64.400.000 | -9,2% |
| 2016 | 57.473.000 | -12,4% |
| 2017 | 53.306.000 | -6,81% |
| 2018 | 52.713.000 | -1,13% |
| 2019 | 54.534.000 | 3,42% |
| 2020 | 60.600.000 | 10,8% |
| 2021 | 64.500.000 | 6,8% |
| 2022 | 63.100.000 | -2,8% |
| 2023 | 62.200.000 | -0,9% |
| 2024 | 64.733.400 | 3,9% |
Fonte: Elaborado pelo autor com dados extraídos do Relatório Anual do Sindicato Nacional da Indústria do Cimento, (2025).
Segundo o Relatório Anual de 2023 do Sindicato Nacional da Indústria do Cimento, as vendas de cimento totalizaram 62,2 milhões de toneladas no ano, uma retração de 0,9% em relação a 2022, ou seja, 558 mil toneladas a menos. Esse resultado negativo ocorre após o bom desempenho do triênio 2019 – 2021, que mesmo com a pandemia da Covid-19, registrou crescimento de 3,8% em 2019, 10,8% em 2020 e 6,8% em 2021 e havia recuperado 12 milhões de toneladas das 19 milhões perdidas entre 2015 e 2018.
Segundo informações dos Sindicatos da Construção Civil (SINDUSCON) dos diversos estados da região nordestina, por exemplo, conforme dados divulgados pelo (Câmara Brasileira da Indústria da Construção), os preços médios do saco de cimento de 50 quilogramas, adquiridos pelas construtoras da região, são hoje inferiores aos preços praticados por elas em junho de 1994, início do plano real.
QUADRO 2. Evolução do valor médio do saco de cimento 50 kg CPII 32 na Paraíba e no Brasil.
| ANO | PARAÍBA | BRASIL |
| 1994 | R$ 6,50 | R$ 5,92 |
| 2003 | R$ 17,00 | R$ 17,48 |
| 2010 | R$ 16,00 | R$ 19,29 |
| 2013 | R$ 19,05 | R$ 21,60 |
| 2014 | R$ 19,35 | R$ 22,84 |
| 2015 | R$ 16,70 | R$ 22,89 |
| 2016 | R$ 15,80 | R$ 22,65 |
| 2023 | R$ 29,00 | R$ 32,90 |
| 2024 | R$ 33,99 | RS 44,90 |
Fonte: Elaborado pelo autor com dados extraídos do CBIC, SINDUSCON – PB, 2025.
Com o objetivo de tornar a Paraíba o segundo maior estado produtor de cimento do país, a formação do Polo Cimenteiro do estado foi anunciada em 2014. Composto de seis fábricas, a meta era quadruplicar a produção de cimento de 2,5 milhões de toneladas para 10 milhões de toneladas por ano. Dois anos depois, duas fábricas ainda não foram construídas, deixando de investir R$ 1,2 bilhão na economia e de gerar mais de 2 mil empregos (SNIC, 2016). As fábricas em funcionamento são a Elizabeth Cimentos (Alhandra – PB), Intercement Brasil S/A (sucessora da Matarazzo e Cimpor, do Grupo Camargo Correa – localizada no bairro da Ilha do Bispo, na Fazenda da Graça, em João Pessoa), Companhia de Cimentos da Paraíba-CCP (Pitimbu-PB) e a Lafarge Brasil S/A (Caaporã-PB), (FIEPB, 2015).
2.4 Produção Sucroalcooleira no Estado da Paraíba:
A cultura mais produzida no estado da Paraíba é a cana-de-açúcar da variedade RB 92579 e RB 865715. Na safra 23/24 a colheita teve início em julho com previsão para o término em agosto e maior atividade de outubro a dezembro. Com média de produtividade de 60.539 kg/ha. O maior município produtor de cana-de-açúcar é o de Pedras de Fogo, localizado na Região Metropolitana de João Pessoa, na Paraíba, a 42,4 km da capital. Logo atrás ficam os municípios de Sapé, Cruz do Espírito Santo, Santa Rita e Mamanguape (MELO, 2018).
Na Paraíba, a área produtiva permanece sem alteração, equivalente a 110 mil hectares, com uma estimativa de produção de pouco mais de 7 milhões de toneladas (ASPLAN – IBGE, 2023). A ilustração abaixo mostra o faturamento médio em mil reais de todas as cidades da Paraíba, evidenciando que o litoral e brejo do Estado são as regiões que mais produzem e lucram.
FIGURA 4. Mapa da Paraíba com valor da produção (Mil Reais).

Fonte: IBGE. Produção de Cana-de-Açúcar. Disponível em: https://www.ibge.gov.br/explica/producao-agropecuaria/cana-de-acucar/pb. Acessado em 01 de Maio de 2025.
Segundo o IBGE o valor da produção de cana-de-açúcar na Paraíba foi de R$ 1.143.029,00 reais (2023), maior da série histórica, e rendimento médio de 64.692 Kg por hectare no mesmo ano.
A grande maioria da produção se concentra no litoral do estado, aproximadamente 90% de toda produção contra 10% do brejo, mais um fator que influencia diretamente no preço do produto e não contribui para que a cultura prevaleça após os 5 anos de rebrota (MELO, 2018). Um levantamento feito pelo departamento técnico da ASPLAN, realizado em 2019, evidencia alguns dados da produção de cana no estado. Segundo o levantamento, baseado em dados da safra 2018/2019, por hectare de cana plantado na Paraíba, o produtor investe em maquinário R$ 797,98, já no item insumos o produtor da Paraíba tem um custo de R$ 712,33. As diferenças de despesas administrativas também são grandes, já que na Paraíba esse custo é de R$ 912,46. O custo da mão de obra é de aproximadamente R$ 1.043,65. Pelo estudo, a produção de cada hectare na Paraíba tem um custo de R$ 3.466,42 (OLIVEIRA, 2019, p. 4).
FIGURA 5. Estimativa do investimento por hectare.

Fonte: OLIVEIRA, J. R. S. Produção de Cana de Açúcar no Brejo Paraibano para Produção de Cachaça. Congresso Técnico Científico da Engenharia e da Agronomia CONTECC Palmas/TO 17 a 19 de setembro de 2019.
Quando se avalia o custo de produção por tonelada de cana, o estudo aponta que na Paraíba esse custo é de R$ 77,03, quando somados os investimentos em maquinário, mão de obra, insumos e despesas administrativas. Já quando se avaliou o custo operacional de R$/hectare, esse valor é de R$ 5.546,59.
Cabe ainda destacar que além destes custos ainda deve-se levar em consideração o fator irrigação, que não se aplica a todos os produtores da região, e adubação, que ocorre geralmente duas vezes durante cada safra. Segundo Oliveira (2019), essas práticas são comumente adotadas por produtores com maior área de produção, onde necessitam de maior investimento e implantação de tecnologias que facilitem a melhoria na produção.
Alguns produtores relatam que a falta de incentivo financeiro por parte do governo, dificulta ainda mais a produção dos pequenos produtores. Sem dinheiro, a compra de insumos e a contratação de mão-de-obra qualificada se agravam e são as principais variáveis que influenciam na produção. Afirmam também que para a produção dos pequenos produtores se tornar viável, segundo estimativa dos próprios produtores o preço pago por tonelada deveria ser de no mínimo R$ 100,00 para que assim pudessem custear todos os gastos envolvidos no processo de produção (OLIVEIRA, 2019, p. 4).
O Proálcool ou Programa Nacional do Álcool foi um programa de substituição em larga escala dos combustíveis veiculares derivados de petróleo por álcool combustível, financiado pelo governo do Brasil a partir de 1975 devido à crise do petróleo em 1973 e mais agravante depois da crise de 1979.
Para argumentar segundo Lima e Aragão (1999, p. 88):
A partir de 1986, com a queda dos preços internacionais do petróleo e com a crise fiscal do Estado brasileiro, o governo começa a rever sua política de fomento ao setor. A contenção do crédito e o controle dos preços do açúcar e do álcool, resultou na defasagem dos preços destes produtos e na inadimplência dos usineiros junto aos bancos oficiais e no consequente fechamento de várias unidades industriais na Paraíba. A crise repercutiu também na drástica redução da fabricação de carros movidos a álcool, reforçando ainda mais a crise do setor pela diminuição da demanda pelo álcool automotivo. No caso da Paraíba, a crise econômica desse complexo é ainda mais grave, face à grande dependência do estado dessa atividade econômica e, mais ainda, por ser esta a sua principal atividade agroindustrial, em termos de valor da produção, do número de empregos criados e um dos pilares de sustentação da economia local. Enfim, por se tratar de um estado com fraca atividade econômica, tanto em nível regional como nacional, é da maior importância para a sua economia o bom desempenho do complexo canavieiro. Porém, o que se tem assistido a partir de meados dos anos 80 e no decorrer dos anos 90, é o endividamento, a crise econômica e o declínio da quase totalidade das usinas.
Atualmente o Estado possui várias usinas em funcionamento como, por exemplo, a Agro Industrial Tabu (Caaporã – PB, Destilaria Tabu), Grupo Jupungu (Santa Rita – PB,Unidade Agroval), Biosev (Pedras de Fogo – PB Unidade Giasa), Miriri Alimentos e Bioenergia S/A (Santa Rita-PB, Destilaria Miriri), Grupo Japungu (Santa Rita – PB, Unidade Japungu), Grupo Uma (Sapé – PB, Unidade Sapé), Grupo Soares de Oliveira (Mamanguape – PB, Usina Açúcar Alegre), D’Pádua (Rio Tinto – PB, Usina D’Pádua), Companhia Usina São João (Santa Rita – PB, Usina São João).
Ainda segundo Lima e Aragão (1999, p. 88):
Esta crise sucroalcooleira se evidencia pela paralisação, fechamento, fusão ou venda de algumas usinas, enquanto as que se encontram funcionando estão operando em situação de debilidade financeira. As destilarias, embora também tenham contraído dívidas, porém em grau menor, mantêm-se modernizadas e em processo contínuo de modernização tecnológica. Esta crise econômica tem tido reflexos macroeconômicos para a economia do estado e impactos sociais importantes. A modernização do complexo canavieiro-sucroalcooleiro tinha como objetivo básico atacar as causas fundamentais da ineficiência do setor tanto a nível industrial como agrícola. Para tanto, promoveram-se inovações tecnológicas das instalações e equipamentos para a indústria e agricultura, pesquisa e desenvolvimento de novas variedades de cana mais produtivas, introdução do pagamento da cana pelo teor de sacarose (PCTS), como forma de incentivar o cultivo de variedades mais produtivas, principalmente por parte de fornecedores. A questão que se levanta é a das causas da permanência dos baixos índices de produtividade e competitividade do setor na Paraíba e da crise em que se encontra.
Segundo a ASPLAN, as usinas de açúcar e etanol da Paraíba concluíram a safra 2023/2024 na segunda quinzena de junho após moerem 7,3 milhões de toneladas de cana-de-açúcar, resultando na produção de mais de 230 mil toneladas de açúcar e 381 milhões de litros de etanol. Com isso, o estado alcançou o posto de segundo maior produtor de etanol do Nordeste, atrás apenas de Alagoas (468 milhões de litros), de acordo com o Sindicato da Indústria da Fabricação do Álcool no Estado da Paraíba (Sindalcool-PB).
A Paraíba destacou-se também na moagem de cana, ocupando o terceiro lugar na região Nordeste. Atualmente, o estado se encontra em período de entressafra, com a previsão de início da safra 2024/2025 para meados de agosto. O setor sucroenergético acumulou cerca de 12 mil postos de trabalho nos primeiros meses de 2024 (A UNIÃO, 2024).
2.5 As Cinzas do Bagaço da Cana-de-Açúcar (CBC):
De todos os resíduos da unidade industrial sucroalcooleira, o bagaço é um dos mais atrativos por causa de seu poder calorífico, o que faz dele a principal fonte energética do processo produtivo da fabricação do açúcar e do álcool (CORDEIRO et al., 2008, apud LIMA et al. 2011, p. 202). O bagaço é produzido numa quantidade que varia de 240kg a 280kg por tonelada de cana moída, portanto uma estimativa de 174,62 milhões de toneladas de bagaço.
Na Paraíba, a maioria das usinas reaproveitam 100% de uso do resíduo bagaço para a geração de energia elétrica. Outro fato é que 100% das cinzas provenientes da queima do bagaço de cana no processo de geração de energia é aproveitado nesse mesmo processo (PAIXÃO; FONSECA, 2011).
Conforme afirma LIMA et al. 2011, p. 202, atualmente, a destinação das cinzas do bagaço da cana-de-açúcar (CBC) é um dos problemas enfrentados pelos administradores das usinas. A fuligem gerada no processo é recolhida com técnicas de lavagem e decantação e, juntamente com a cinza de caldeira, constituem-se em resíduos finais do processo industrial, no qual não há possibilidade de redução deles. Segundo Sales et al. (2015) a CBC tem apresentado bons resultados nas pesquisas realizadas quando o assunto é resistência mecânica.
As pesquisas nessa área apontam a necessidade de otimização do processo para a transformação desse resíduo em um material reativo ou pozolânico (GANESAN; RAJAGOPAL; THANGAVEL, 2007, apud LIMA et al. 2011, p. 202). Essa mudança no processo das indústrias sucroalcooleiras pode significar um incremento de custos que dificulte a agregação de valor à CBC. A homogeneidade na produção das cinzas não pode ser exigida do processo industrial, que raramente possui controle operacional da temperatura de combustão e do resfriamento das cinzas (SALES, 2015). Realizados dessa forma, sem controle, esses procedimentos tendem a produzir cinzas sem reatividade hidráulica.
As cinzas que não possuem reatividade podem ser usadas como material de carga inerte, em substituição aos agregados finos em matrizes cimentícias. A crescente elevação do custo da areia natural abre espaço para a entrada de outros materiais, como os resíduos, sendo esses de custo bem inferior aos correlatos naturais (SALES, 2010, apud LIMA et al. 2011, p. 202). A CBC tem se mostrado um subproduto viável para aplicação em materiais de construção, desde que sejam observadas suas características intrínsecas, como o alto teor de sílica em forma de quartzo, um dos principais elementos presentes na areia natural (CORDEIRO et al., 2008, apud LIMA et al. 2011).
A incorporação de adições minerais em concretos pode ter um efeito benéfico sobre algumas de suas propriedades, fato que pode ser explicado devido ao refinamento dos poros e dos grãos, aumento da tortuosidade dos canais e redução da interconectividade dos poros. A substituição parcial de areia por CBC aumentou a resistência à compressão de argamassas, aos 28 dias, para teores entre 20% e 30% (LIMA et al. 2011, p. 203). As propriedades da CBC dependem fortemente das condições de queima, sendo que as modificações ocorridas no bagaço de cana de açúcar durante o processo podem ser descritas da seguinte maneira (DE PAULA, 2006):
- Inicialmente a perda de massa ocorrida a temperaturas até 100°C resulta a evaporação da água absorvida;
- Acerca de 350°C inicia a ignição do material mais volátil, dando início a queima do bagaço da cana de açúcar;
- Entre 400 e 500°C, o carbono residual é oxidado sendo neste estágio observada a perda mais substancial da massa. Após esta etapa a cinza torna-se rica em sílica amorfa;
- O emprego de temperaturas acima de 700°C pode levar a formação de quartzo, e níveis ainda mais elevados de temperatura podem acarretar na formação de outras formas cristalinas;
- Acima de 800°C, a sílica presente na CBC é essencialmente cristalina.
A quantidade e forma de sílica na cinza dependem não só da temperatura, como também do período de queima, sendo citados que períodos mais longos a temperaturas entre 500 a 680°C por menos de um minuto resulta em sílica amorfa (COOK, 1986, apud DE PAULA, 2006).
2.6 Atividade Pozolânica das Cinzas do Bagaço da Cana:
As cinzas do bagaço de cana (CBC) apresentam uma composição química (60% de dióxido de silício em massa) adequada para a sua aplicação como material pozolânico, por meio de reações químicas em contato com a cal hidratada (CARVALHO MATOS et al, 2021).
O emprego da queima da CBC a temperatura de 800 ºC possibilita uma cinza com alta atividade pozolânica, devido obter o máximo valor de ativação nesta temperatura, onde poderá obter uma estrutura amorfa, (LIMA 2020, p. 25).
As pozolanas são materiais siliciosos ou sílico-aluminosos, naturais ou artificiais, que contém um elevado teor de sílica em forma reativa, isto é, forma não cristalina (vítrea) e finamente pulverizada capaz de reagir, na presença de água e à temperatura normal, com hidróxido de cálcio. Devido à sua riqueza em silicatos vítreos, as pozolanas são consideradas rochas sedimentares de natureza ácida, contendo um elevado teor de sílica reativa (SiO2), capaz de reagir com o hidróxido de cálcio (Ca(OH)2), dando origem a silicatos de cálcio hidratados (Ca-S-H), responsáveis pela resistência mecânica do cimento.
As pozolanas mais comuns são de cor clara, mas em função dos óxidos metálicos que contenham podem ter colorações que variam desde o esbranquiçado até ao cinzento-escuro, incluindo variedades avermelhadas e rosa (NEVILLE, 1975).
A pozolana é um dos componentes do cimento utilizada na preparação de argamassas pozolânicas, misturada com água e cal hidratada, melhorando as características dos concretos e permitindo a sua utilização dentro de água.
As pozolanas são materiais com pouca qualidade cimentante intrínseca, uma vez que por si só são ligantes pobres, mas quando finamente pulverizadas e na presença de água, reagem com o hidróxido de cálcio à temperatura normal, formando então silicatos de cálcio estáveis com apreciável capacidade cimentante (NEVILLE, 1975). O cimento pozolânico é constituído de clínquer portland, gipsita (alguns porcentos) e cerca de 10 a 40% de Pozolana (NBR – 5753:2016).
As principais vantagens no emprego das pozolanas na fabricação do cimento pozolânico são: economia no custo do cimento, maior trabalhabilidade, menor calor de hidratação, menor permeabilidade, menor segregação do agregado e maior estabilidade do volume, entre outros (ABNT MB-1154/77 – Cimento).
As reações de hidratação do silicato tricálcico, Ca3Si, e silicato dicálcico, Ca2Si, dão origem ao silicato de cálcio hidratado, Ca-Si-H, e hidróxido de cálcio, CaH. O Ca-Si-H não tem composição fixa e é responsável pela resistência do cimento, enquanto o CaH é solúvel e influência na durabilidade da pasta, principalmente quando sujeita a meios ácidos (METHA & MONTEIRO, 1998, apud, DE PAULA, 2006 p. 32).
2.7 Sustentabilidade e Meio Ambiente:
É necessário reconhecer que os aspectos ambientais têm, neste momento, uma maior repercussão tanto na mídia como em estratégias de marketing, fato bastante preocupante em um país com problemas sociais e econômicos como o Brasil (AGOPYAN; JONH, 2011, p.13). Ainda segundo Agopyan; Jonh (2011, p.14), “(…) o impacto ambiental da construção civil depende de toda uma enorme cadeia produtiva: extração de matérias-primas, produção e transporte de materiais, execução da obra, manutenção, demolição e destinação de resíduos”. Uma das alternativas encontradas para minimizar o impacto na extração de matérias-primas e destinação de resíduos seria, portanto, a substituição parcial do cimento Portland pelas cinzas do bagaço da cana-de-açúcar.
Para argumentar:
O produto da construção, o ambiente construído, tem enorme extensão e não pode ser miniaturizado. A sua construção demanda uma enorme quantidade de materiais – algo entre 4 a 7 toneladas por habitantes a cada ano. O cimento Portland é o material artificial de maior consumo pelo homem. A produção total e per capita vem aumentando rapidamente, tendo evoluído de valores abaixo de 40 kg/hab. ano na década de 1930 para valores 422 kg/hab. ano em 2008, sendo atualmente uma quantidade superior ao consumo de alimentos. Como o cimento não é utilizado isoladamente, mas em combinação com uma grande quantidade de agregados e água, no Brasil, cerca de 1/3 dos recursos naturais vão para a produção de materiais cimentícios. Em 2009, no País, foram produzidos 52 milhões de toneladas de cimento, que foi misturado com cerca de 340 milhões de toneladas de agregados, totalizando 390 milhões de toneladas de matérias-primas, cerca de 2 toneladas por habitante. (AGOPYAN; JONH, 2011, p.59).
A busca de alternativas de materiais para utilização na construção civil não é nova, e constantemente novas pesquisas e materiais começam a surgir, dentre eles a utilização de cinzas na confecção de concreto e argamassa (LOPES et al. 2014), à exemplo tem-se estudos da viabilidade da substituição parcial do cimento por cinza de casca de arroz, cinza de casca de castanha de caju, cinza de queima de madeira e cinza de bagaço de cana-de-açúcar.
3. METODOLOGIA, RESULTADOS E DISCUSSÃO DOS RESULTADOS
3.1 Metodologia:
O presente Projeto de Pesquisa utilizará como forma metodológica a pesquisa bibliográfica, portanto, os métodos serão desenvolvidos a partir de materiais publicados em revistas científicas, artigos, dissertações e teses. Em relação a análise de dados, as informações colhidas em todo o processo de pesquisa serão revisadas e estudadas para a segurança da veracidade do trabalho desenvolvido. O projeto será embasado em pesquisas publicadas nos últimos 15 anos, em sites como Biblioteca digital de Teses e Dissertações, Periódicos Capes, Google Acadêmico e Scientific Electronic Library Online (Scielo). Estes serão os principais meios utilizados como fonte de pesquisa dada a importância de suas publicações, a partir de onde serão encontradas informações fundamentadas e conceituadas. Serão realizados levantamentos sobre o efeito da adição e substituição do resíduo da cinza do bagaço da cana (CBC) em pastas de cimento Portland, concretos e argamassas. Será descrito um roteiro metodológico que foi seguido por 4 experimentos já existentes na literatura e observados os seus resultados. A posteriori, será demonstrado o cálculo do desvio padrão médio nos corpos de provas com 20% de CBC.
Materiais a serem utilizados na pesquisa:
- Cimento Portland;
- Agregado miúdo (areia);
- Agregado graúdo (brita);
- Cal Hidratada;
- Cinzas do bagaço de cana-de-açúcar (CBC);
- Água.
As amostras de cinzas deverão passar por processos de moagem e queima em laboratório em escala semi-industrial devendo ser realizado o peneiramento das cinzas do bagaço de cana com uma peneira de malha de 2 mm para a retirada de material grosseiro. A cinza utilizada neste estudo apresentará temperatura de queima dentro das condições literárias, dessa forma, apresenta coloração após a secagem de cor cinza escura e obterá uma umidade máxima de 80%, (LIMA 2020, p. 25).
FIGURA 6. Bagaço (a) e cinzas da cana-de-açúcar (b)

Fonte: FERNANDES, S. E. Concreto com adição de cinza do bagaço de cana de açúcar. Dissertação (mestrado) Faculdade de Engenharia de Ilha Solteira – UNESP. São Paulo. Engenharia Civil. 2014.
Para se avaliar a influência da adição de CBC na argamassa, serão realizados ensaios de tempo de pega inicial (7 dias) e final (28 dias), determinação da resistência a compressão de corpos cilíndricos de acordo com a Norma NBR 7215:2019, determinação do índice de atividade pozolânica (IAP) aos 7 dias de acordo com a NBR 5751:2015 e determinação do índice de desempenho do cimento Portland aos 28 dias de acordo com a NBR 5752 :2014, todos os ensaios deverão ser realizados com base na Associação Brasileira de Normas Técnicas. O experimento será desenvolvido adotando-se delineamento experimental inteiramente casualizado (DIC), que leva em conta os princípios de repetição e casualização. Constituído de 4 tratamentos, ou seja: 3 níveis de adição de CBC e um corpo de prova para padrão de referência (100% cimento), com 3 repetições.
O laboratório utilizado para realização dos experimentos deverá seguir todos os padrões rígidos de limpeza, higiene e segurança do trabalho. Os corpos de prova deverão ser fabricados em moldes cilíndricos de 200 x 100 mm de acordo com a NBR 7215:2019. Serão empregados equipamentos como betoneira de 200 litros, padiolas, colheres de pedreiro, balanças eletrônicas e copos medidores. Os materiais para confecção do concreto seguirão para betoneira onde serão misturados durante cinco e sete minutos.
FIGURA 7. Fabricação do concreto em betoneira.

Fonte: SOUTO, J. M. F. Avaliação de desempenho da cinza do bagaço de cana-de-açúcar na produção de concreto. Dissertação (mestrado) – Universidade Estadual de Maringá, Programa de Pós-Graduação em Engenharia Urbana, 2010.
O teste de abatimento do tronco de cone (slump test) deverá ser realizado a fim de se verificar as condições de trabalhabilidade do concreto criado, já que serve como indicador de um método de adensamento adequado, mediante a medida da altura de queda do concreto contido em um cone padronizado, conforme prescrito na norma NBR NM 67:1998 (Concreto – Determinação da consistência pelo abatimento do tronco de cone).
FIGURA 8. Teste de abatimento do tronco de cone (slump test).

Fonte: LIMA, A. J. O. Estudo da Utilização da Cinza do Bagaço da Cana-de-Açúcar no Concreto de Cimento Portland. Trabalho de Conclusão de Curso (Graduação) – Curso de Engenharia Civil, Centro Universitário Luterano de Palmas, Palmas – TO, 2018.
Os moldes serão lubrificados conforme a ABNT NBR 5738:2016 para procedimentos de moldagem e cura de corpos de prova.
FIGURA 9. Moldes de corpos de prova.

Fonte: CARDOSO, D. L. C.; SALVIONE, H. G. Metodologia de pesquisa sobre propostas para minimizar o empirismo na NBR 5738 – Concreto — Procedimento para Modelagem e Cura de Corpos de Prova. Anais 60º Congresso Brasileiro do Concreto. Foz do Iguaçu – Setembro/2018.
Após 24 horas nos moldes, os corpos de prova serão desmoldados e deverão ser submersos em água por 7 e 28 dias, de acordo com a ABNT NBR 5739:2018, para ensaios de resistência a compressão.
FIGURA 10. Corpos de prova com combinações de cimento e cinzas de bagaço.

Fonte: GEYER, A. L. B.; SÁ, R. R. de. Concreto Auto-adensável: Uma tecnologia à disposição da construção civil de Goiânia. Informativo técnico. Ano 1, n. 1 de abril de 2005. Disponível em: http://www.realmixconcreto.com.br/downloads/informativo_realmix.pdf>. Acesso em: em 06 de maio de 2025
Os melhores níveis de adição de CBC serão avaliados com base no teste de médias Tukey (teste de comparação de médias) para todas as combinações, aos 7 e 28 dias (DE PAULA, 2006, pag. 22).
Para o presente trabalho de pesquisa, serão empregadas as seguintes taxas de substituição parcial do cimento por cinzas do bagaço de cana: 0%, 10%, 20% e 30% .As relações entre cimento – CBC nas argamassas e a nomenclatura adotada para as pastas e argamassas, serão: C1 (100-0), C2 (90-10), C3 (80-20) e C4 (70-30), em que os valores representam os percentuais de cimento e CBC; será usado o cimento Portland CPII-E-32 Nacional e o traço 1:3, com areia normal brasileira (agregado miúdo) e brita número 0 (agregado graúdo). Os corpos de prova deverão ser rompidos aos 7 dias de idade e aos 28 dias de idade por uma prensa hidráulica e um software acoplado que realiza a obtenção dos resultados.
FIGURA 11. A figura 11 mostra um ensaio de resistência à compressão.

Fonte: DE PAULA, M. O. Potencial da cinza do bagaço da cana-de-açúcar como material de substituição parcial de cimento Portland. Dissertação de Pós-Graduação – Viçosa: UFV, 2006.
Segundo a ABNT NBR 7215:2019, a Resistência Característica do Concreto à Compressão (Fck), deverá ser de até 30 Mpa (Mega Pascal) para o concreto convencional de uso corrente na construção civil.A NBR 12653:2015, que especifica as exigências químicas e físicas para que um material seja considerado como uma pozolana, estabelece que o índice de atividade pozolânica de um material com a cal, aos 7 dias, deve ser igual ou superior a 6 MPa. O índice de atividade pozolânica com o cimento aos 28 dias, em relação a argamassa de referência deve ser no mínimo de 75% (NBR 12653:2015).
3.1.1 Fórmulas utilizadas na realização da pesquisa:

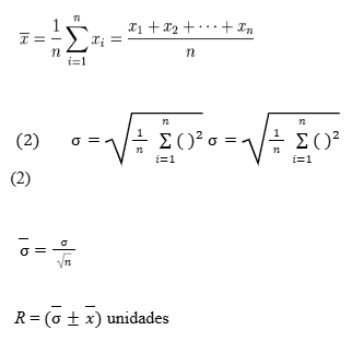
A fórmula (1) é utilizada para encontrar a média. Pode ser representada por um x e um traço, também chamado “macron”, em cima da letra. O valor da medida é a média de todos os valores medidos, onde “n” é o número de medições obtidas no experimento. Arquitas de Tarento, um matemático pitagórico que floresceu por volta de 400 a.C., introduziu na matemática conceitos de média, como por exemplo, médias aritméticas, geométricas e harmônicas.
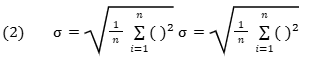
A fórmula (2) é utilizada para encontrar o desvio padrão, quanto maior o desvio padrão mais espalhados estão os valores e menor é a certeza sobre o valor médio da medida. O termo desvio padrão foi introduzido na estatística por Karl Pearson no seu livro de 1894: “Sobre a dissecção de curvas de frequência assimétricas“. É a medida mais comum da dispersão estatística (representado pelo símbolo sigma, σ).
A fórmula (3) é utilizada para achar o desvio padrão da média, ou seja, o erro ou incerteza da medida, também foi introduzido por Karl Pearson e pode ser representado pelo símbolo sigma σ, com um traço, “macron”, em cima da mesma.
A fórmula (4) é a medida conforme deverá ser representada acompanhada da unidade, onde R é igual a sua representação.
3.2 Resultados:
3.2.1 Slump Test
No ensaio de slump test, é observada a reação do concreto fresco aos golpes, sendo verificado se o tronco de cone desmorona após a aplicação de cerca de 25 golpes, segundo a NBR NM 67:1998 (Concreto – Determinação da consistência pelo abatimento do tronco de cone).
Na tabela abaixo estão registradas as leituras para a determinação do teor de argamassa ideal, ou seja, o concreto padrão ou de referência do experimento segundo Souto, 2010.
TABELA 1. Slump test, a influência do teor de argamassa nas características do concreto fresco.
| Teor de argamassa (%) | Abatimento(mm) | Coesão | Exsudação |
| 47 | 130 | Baixa | Elevada |
| 49 | 110 | Baixa | Regular |
| 51 | 100 | Regular | Baixa |
| 53 | 85 | Bom | Inexistente |
| 55 | 65 | Ótima | Inexitente |
Fonte: SOUTO, J. M. F. Avaliação de desempenho da cinza do bagaço de cana-de-açúcar na produção de concreto. Dissertação (mestrado) – Universidade Estadual de Maringá – Programa de Pós-Graduação em Engenharia Urbana – Paraná, Maringá, 2010.
Esta análise consiste na determinação do teor ideal de argamassa para um determinado volume de aditivo na composição de um concreto qualquer. Tendo sido adotado o valor de 53% para o desenvolvimento do concreto padrão.
3.2.2 Resistência a Compressão Mecânica
As apurações dos 4 experimentos mostrados a seguir resultam do roteiro metodológico apresentado no item (3.1). Os dados apresentados para os testes de resistência à compressão mecânica axial, estão como média de 3 repetições de 4 corpos-de-prova em 3 níveis de adição de CBC (10%, 20% e 30%) e um corpo de prova padrão de referência (100% cimento). Todos os concretos foram comparados ao traço sem adição de CBC.
TABELA 2. Valores médios da resistência à compressão segundo De Paula.
| IDADE | C1 – 0% | C2 – 10% | C3 – 20% | C4 – 30% |
| 7 dias | 45,10 MPa | 43,13 MPa | 41,70 MPa | 40,37 MPa |
| 28 dias | 47,80 MPa | 48,00 MPa | 46,90 MPa | 40,70 MPa |
Fonte: DE PAULA, M. O. Potencial da cinza do bagaço da cana-de-açúcar como material de substituição parcial de cimento Portland. Dissertação de Pós-Graduação – Viçosa: UFV, 2006. xv, 60f.: il.; 29cm; CDD 22. ed. 628.746.
GRÁFICO 1. Valores médios da resistência à compressão segundo De Paula.

Fonte: Gráfico elaborado pelo autor 2025,
Ainda segundo a literatura experimental e análise estatística dos resultados pesquisados, existe pouca variação nos apuramentos para a resistência à compressão dos concretos quando adicionado pouca quantidade de água, relação de água/aglomerantes de 0,37, com C2 = 5%, C3 = 10% e C4 = 20%, conforme destacado nos experimentos de SILVEIRA, 2010 p. 25. Porém destaca-se maiores diferenças de fck médio entre o 7º e o 28º dia de transição e endurecimento do concreto. Segue na tabela 3.
TABELA 3. Valores médios da resistência à compressão, segundo Silveira.
| IDADE | C1 – 0% | C2 – 5% | C3 – 10% | C4 – 20% |
| 7 dias | 38,22 MPa | 37,27 MPa | 36,56 MPa | 36,15 MPa |
| 28 dias | 47,11 MPa | 42,36 MPa | 44,68 MPa | 45,52 MPa |
Fonte: SILVEIRA, D. A. Influência da Substituição Parcial do Cimento Portland pela Cinza do Bagaço de Cana-de-Açúcar (CBC) Residual no Concreto. Dissertação (Mestrado). Escola de Engenharia Civil da Universidade Federal de Goiás – UFGO. Goiânia – 2010.
GRÁFICO 2. Valores médios da resistência à compressão, segundo Silveira.

Fonte: Gráfico elaborado pelo autor, 2025.
Alguns experimentos, porém, relatados em artigos, monografias e teses, demonstram que amostras com adições acima de 20% de cinzas do bagaço submetidas a testes, observam-se decréscimo de resistência à compressão. A possível causa atribuída é o aumento significativo da quantidade de água em relação a massa de cimento empregada, ocasionando o aumento tanto no volume de incidência como nas dimensões dos poros (MEHTA; MONTEIRO, 2008, apud SOUTO, 2010 p. 91). Conforme é demonstrado na tabela 4:
TABELA 4. Resistência à compressão axial do concreto segundo Souto.
| IDADE | C1 – 0% | C2 – 10% | C3 – 20% | C4 – 30% |
| 7 dias | 27,77 MPa | 31,02 MPa | 33,58 MPa | 25,93 MPa |
| 28 dias | 35,74 MPa | 39,67 MPa | 39,15 MPa | 31,14 MPa |
Fonte: SOUTO, J. M. F. Avaliação de desempenho da cinza do bagaço de cana-de-açúcar na produção de concreto. Dissertação (mestrado) – Universidade Estadual de Maringá – Programa de Pós-Graduação em Engenharia Urbana – Paraná, Maringá, 2010. P.91
GRÁFICO 3. Resistência à compressão axial do concreto segundo Souto.

Fonte: Gráfico elaborado pelo auto, 2025
Segundo o experimento de Souto, (2010), a análise das taxas de crescimento das resistências à compressão axial entre o 7º e o 28º dia apresentam grandes oscilações nos valores, comprometendo a elaboração de uma curva de tendências capaz de prever o comportamento do concreto endurecido ao longo do período. O mesmo ocorre com o experimento de Silveira, (2010) conforme aumenta-se a quantidade de água no concreto estudado.
Os experimentos de Lopes, et al, (2014) são mais pessimistas afirmando que adições acima de 10% de cinzas do bagaço já prejudicam a resistência à compressão, em um traço de relação água/aglomerantes de 0,45. Segue-se a tabela abaixo baseada no experimento.
TABELA 5. Resistência à compressão axial do concreto, segundo Lopes.
| IDADE | C1 – 0% | C2 – 10% | C3 – 20% | C4 – 30% |
| 7 dias | 24,96 MPa | 23,66 MPa | 18,14 MPa | 15,44 MPa |
| 28 dias | 29,83 MPa | 28,43 MPa | 23,62 MPa | 18,37 MPa |
Fonte: LOPES, B. C. S. et al. Análise da viabilidade da utilização da cinza de bagaço de cana-de-açúcar como substituição parcial do cimento Portland. REEC – Revista Eletrônica de Engenharia Civil. Vol 9, p. 32-40, nº 3, (2014)
GRÁFICO 4. Resistência à compressão axial do concreto, segundo Lopes.

Fonte: Gráfico elaborado pelo autor, 2025.
Com os dados obtidos, pode-se notar que a resistência à compressão axial no concreto com 20% de adição de CBC foi o que apresentou maiores valores de resistência em relação aos demais, porém ocorrem algumas variações nos 4 diferentes experimentos.
3.2.3 Desvio Padrão e Margem de Erro ou Incerteza:
Para aprimorar a presente pesquisa, será realizado o cálculo do desvio padrão e a margem de erro para as médias relacionadas à substituição de 20% de cimento Portland por cinzas do bagaço de cana, para as idades de resistência à compressão (fck) 7 dias e (fck) 28 dias, serão utilizadas as médias obtidas pelos 4 experimentos feitos anteriormente, logo:
O desvio padrão (DP) ou () é calculado usando-se a fórmula (2) da pag. 26:

Sendo,
∑: símbolo de somatório. Indica que temos que somar todos os termos, desde a primeira posição (i=1) até a posição n;
xi: valor na posição i no conjunto de dados;
x: média aritmética dos dados;
n: quantidade de dados.
Primeiramente, calcula-se a média aritmética para a idade fck = 7 dias dos 4 experimentos:
x = (41,70 + 36,15 + 33,58 + 18,14) ÷ (4)
x = 32,4 Mpa
Posteriormente, utilizando-se da equação do desvio padrão chega-se ao resultado:

E segundo lugar, calcula-se a média aritmética para a idade fck = 28 dias dos 4 experimentos:
x= (46,90 +45,52 + 39,15 + 23,62) ÷ (4)
x = 38,8 MPa
Posteriormente, utilizando-se da equação do desvio padrão chega-se ao resultado:

TABELA 6. Tabela referente ao cálculo do desvio padrão.
| IDADE | Média | Desvio Padrão |
| 7 dias | 32,4 Mpa | 8,74 Mpa |
| 28 dias | 38,8 MPa | 9,24 Mpa |
Fonte: Elaborado pelo autor, 2025
Quanto maior o desvio-padrão, mais dispersos são os dados do conjunto (menos regular, menos homogêneo). quanto mais próximo de 0 for o desvio-padrão, menos dispersos são os dados daquele conjunto. Para encontrar o desvio padrão da média, ou seja, o erro ou incerteza da medida utiliza-se as fórmulas (3) da página 26, para os 7 e 28 dias, respectivamente:
Aos 7 dias,

Aos 28 dias,

Desta forma, as medidas deverão ser representadas como descrita na fórmula (4) da página 26, onde a representação da medida é dada por: (Representação = média ± desvio padrão da média) unidade.
TABELA 7. Representação das medidas.
| IDADE | (Média ± Desvio padrão da média) unidade |
| 7 dias | (32,4 ± 16,2) Mpa |
| 28 dias | (38,8 ± 19,4) Mpa |
Fonte: Elaborado pelo autor, 2025
3.3 Discussão dos Resultados:
A substituição evidenciou-se viável na proporção de até 20% de CBC em relação a massa do cimento, segundo os experimentos de Silveira, De Paula e Souto. Já no experimento de Lopes (2010), os testes de resistência à compressão mostraram que com substituição do cimento por 20% de CBC os corpos de prova resistiram em média 18,14 MPa aos 7 dias e 23,62 MPa aos 28 dias, portanto menos de 30 MPa. Isso pode ocorrer devido a vários fatores como uma maior dosagem da água no traço do concreto. A resistência do concreto estrutural pode ser de 20MPa até mais de 100MPa. Usualmente a resistência de obras residenciais de até 3 pavimentos fica em torno de 20MPa a 25MPa.
GRÁFICO 5. Gráfico da resistência média com 20% de CBC e margem de erro.

Fonte: Elaborado pelo autor, 2025
As medidas analisadas nos experimentos têm margem de erro e incerteza, verificando que os resultados obtidos não são os mesmos, embora sejam próximos, distribuem-se dentro de uma margem da média do desvio padrão. A incerteza de uma medida exprime-se por uma faixa de valores que é, provavelmente, perto do valor real. Por exemplo, o valor da medida da resistência à compressão do concreto (fck) será representada pela média de suas medidas ± o valor do erro ou desvio padrão médio, aos 7 dias de idade fck = (32,4 ±16,2) MPa e aos 28 dias de idade obteve-se fck = (38,8 ± 19,4) MPa. Estas medidas foram encontradas para substituição de 20% do cimento por CBC.
4. CONSIDERAÇÕES FINAIS
Analisando os resultados, pode-se concluir que os objetivos do trabalho foram alcançados. Com base na literatura e cálculos, foi possível definir uma referência para as substituições parciais de cimento Portland por cinzas do bagaço, de até 20% de CBC (ideal), no traço do concreto . Em relação a pozolanicidade das cinzas do bagaço de cana-de-açúcar, de acordo com Cordeiro et al. (2009), experimentos indicam que o índice de atividade pozolânica aumenta com a temperatura de calcinação em que a CBC é submetida, devido a remoção do carbono. Entretanto, autores ressaltam que a queima da CBC em temperatura acima de 800°C possibilita a formação de compostos cristalinos. Segundo TOLEDO, 2007, o emprego de apenas 20% de CBC na produção do cimento evitaria o lançamento de aproximadamente 600.000 toneladas de CO2 na atmosfera. A utilização das cinzas do bagaço de cana-de-açúcar na construção civil mostra-se uma alternativa para uma destinação final e consciente destes resíduos, contribuindo também dentro do grande mercado da construção com a redução dos seus impactos ambientais. Este estudo deve ser mais aprofundado variando o percentual de cinzas em substituição ao cimento e a relação água/cimento para, de fato, verificar a real viabilidade técnica e econômica para que o uso da cinza de bagaço de cana-de-açúcar como material de construção civil em substituição parcial em concretos seja confiável.
CRONOGRAMA
O presente cronograma permite organizar as etapas do projeto de pesquisa de Estágio dentro de um prazo, portanto é a representação gráfica do tempo disponível para a realização do projeto de pesquisa. Todas as tarefas que precisaram ser realizadas durante o projeto pesquisa devem aparecer no cronograma, pois assim o andamento do desenvolvimento do relatório pode ser controlado.
QUADRO 3. Cronograma das etapas do Projeto de Pesquisa de Estágio.

Fonte: Elaborado pelo Autor (2025)
ORÇAMENTO
QUADRO 4. Quadro de materiais utilizados com respectivo orçamento.
| QUADRO DE MATERIAIS UTILIZADOS | |||
| DESCRIÇÃO | MATERIAL | QUANTIDADE | ORÇAMENTO |
| Saco | Cimento | 1 | R$ 36,90 (saco de 50 kg) |
| Balde | Areia | 3 | R$ 5,00 o balde |
| Balde | Brita Um | 3 | R$ 6,60 o balde |
| CBC (kg) | Cinzas do Bagaço de cana | 10 | – |
| Saco | Cal Hidratada | 1 | R$ 10,00 (saco de 20 kg) |
Fonte: Elaborado pelo autor (2025)
REFERÊNCIAS
AGOPYAN, V; JOHN, V. M. O Desafio da Sustentabilidade na Construção Civil. Vol. 5. São Paulo: Blucher, 2011 – (Série Sustentabilidade).
ALCARDE, A. R. Processamento da cana-de-açúcar. Disponível em: <http://www.agencia.cnptia.embrapa.br/gestor/cana-de-acucar/arvore/CONTAG01_102_22122006154841.html>. Acesso em: 01 de Maio de 2025
ASPLAN – ASSOCIAÇÃO DE PLANTADORES DE CANA DA PARAÍBA. Variedades cultivadas na Paraíba. Disponível em: <http://www.asplanpb.com.br/asplan/arquivos/Materiais/Variedades_Cana.pdf>. Acesso em 09 de Abril de 2025.
ASSOCIAÇÃO BRASILEIRA DE NORMAS TÉCNICAS NBR 5738 – Moldagem e cura de corpos-de-prova cilíndricos ou prismáticos de concreto. Rio de Janeiro, 2015 (Versão Corrigida 28.06.2016), 12p.
ASSOCIAÇÃO BRASILEIRA DE NORMAS TÉCNICAS NBR 5739 – Ensaio de compressão de corpo cilíndrico. Rio de Janeiro, 2018, 6p.
ASSOCIAÇÃO BRASILEIRA DE NORMAS TÉCNICAS NBR 5751. Esta Norma especifica o método para determinação da atividade pozolânica com cal, aos sete dias, de materiais pozolânicos. Rio de Janeiro, 2014, 4p.
ASSOCIAÇÃO BRASILEIRA DE NORMAS TÉCNICAS NBR 5752. Esta Norma especifica um método para determinação do índice de desempenho de materiais pozolânicos com cimento Portland aos 28 dias. Esta Norma não se aplica a sílica ativa e metacaulim. Rio de Janeiro, 2014, 3p.
ASSOCIAÇÃO BRASILEIRA DE NORMAS TÉCNICAS NBR 5753. ABNT/CB-018 Cimento, Concreto e Agregados, Rio de Janeiro, 2016, 11p.
ASSOCIAÇÃO BRASILEIRA DE NORMAS TÉCNICAS NBR 7215. Cimento Portland – Determinação da resistência à compressão, Rio de Janeiro, 2019, 1p.
ASSOCIAÇÃO BRASILEIRA DE NORMAS TÉCNICAS NBR 12653. Esta Norma estabelece os requisitos para materiais pozolânicos destinados ao uso com cimento Portland em concreto, argamassa e pasta. Esta Norma não se aplica a sílica ativa e metacaulim e também a materiais pozolânicos empregados como adição durante a fabricação do cimento Portland. Rio de Janeiro, 2015, 6p.
ASSOCIAÇÃO BRASILEIRA DE NORMAS TÉCNICAS NBR NM 67. Concreto – Determinação da consistência pelo abatimento do tronco de cone. Rio de Janeiro. Fevereiro/1998. 8p.
BARROSO, R. T. Estudo da Atividade Pozolânica e da Aplicação em Concreto de Cinzas do Bagaço de Cana-de-Açúcar com Diferentes Características Físico-Químicas. Projeto de Dissertação; Centro de Ciência e Tecnologia – CCT, Universidade Estadual do Norte Fluminense – UENF, Campos dos Goytacazes – RJ, Novembro de 2011.
CARVALHO MATOS, W. E. C.; SILVA, H. J. B.; PAZ, G. M., et al. Utilização de cinzas do bagaço de cana-de-açúcar como material de preenchimento estrutural ou pozolânico para a produção de argamassas cimentícias: uma revisão. Revista Matéria. v.26, n.4, ISSN 1517-7076 artigos, 2021.
Como é feito o processamento da cana-de-açúcar nas usinas. Disponível em: https://www.novacana.com/usina/como-e-feito-processamento-cana-de-acucar/. Acesso em: 01 de Maio de 2025.
COMPANHIA NACIONAL DE ABASTECIMENTO – CONAB. Projeção da Conab para safra 2024/2025. Disponível em: < https://www.conab.gov.br/ultimas-noticias/5841-producao-de-cana-de-acucar-na-safra-2024-25-sofre-reducao-devido-a-condicoes-climaticas-adversas#:~:text=A%20produ%C3%A7%C3%A3o%20de%20cana%2Dde,em%20rela%C3%A7%C3%A3o%20%C3%A0%20safra%20anterior.>Acesso em: 09 de Abril de 2025.
CORDEIRO, G C. Utilização de cinzas ultrafinas do bagaço de cana-de-açúcar e da casca de arroz como aditivos minerais em concreto. 2006. 485 f. Tese (Doutorado) – Curso de Engenharia Civil, Universidade Federal do Rio de Janeiro, Rio de Janeiro, 2006.
DE PAULA, M. O. et al. Potencial da cinza do bagaço da cana-de-açúcar como material de substituição parcial de cimento Portland. Revista Brasileira de Engenharia Agrícola e Ambiental v.13, n.3, p.353–357, 2009 Campina Grande, PB, UAEA/UFCG.
Desvio padrão. Disponível em: http://pt.wikipedia.org/wiki/Desvio_padr%C3%A3o. Acessado em 16 de Maio de 2025.
Desvio padrão médio. Disponível em: http://pt.wikipedia.org/wiki/Incerteza. Acessado em 16 de Maio de 2025.
Erro e incerteza. Disponível em: http://www.ifi.unicamp.br/leb/f32909/erros%20ou%20incertezas%20e%20dicas%20sobre%20relatorios.pdf. Acessado em 16 de Maio de 2025.
FIEPB. Usinas Sucroalcooleiras no Estado da Paraíba. Disponível em: <http://www.fiepb.com.br/industria/empresas?avancado=1&prefix=232&ramo=grupo& nomeramo=Fabrica%C3%A7%C3%A3o%20de%20cimento>. Acesso em: 01 de Maio de 2025.
GOBBI, A. Cinza do bagaço de cana de açúcar como adição para concreto: investigação sobre a atividade pozolânica. Trabalho de Conclusão de Curso, Departamento de Construção Civil – DCC, UFPR, Curitiba, 2010.
LIMA, K. L. Estudo da viabilidade técnica do concreto autoadensável com aplicação da cinza do bagaço da cana-de-açúcar. Monografia (em Engenharia Civil) – Instituto Federal Goiano (IFGO), Campus Rio Verde, 2020. 60 p.
LIMA, S. R. R. de; ARAGÃO, P. O. R. de. Modernização e crise do setor sucroalcooleiro da Paraíba. Raízes, Ano XVIII, nº 19, p. 88-100, maio de 1999.
LOPES, B. C. S. et al. Análise da viabilidade da utilização da cinza de bagaço de cana-de-açúcar como substituição parcial do cimento Portland. REEC – Revista Eletrônica de Engenharia Civil. Vol 9, p. 32-40, nº 3, (2014).
MELO, P. A. S. Avaliação da cultura da cana-de-açúcar na Paraíba: um estudo de série temporal / Pedro Antônio da Silva Melo. Trabalho de Conclusão de Curso (Graduação em Agronomia) – Faculdade Nova Esperança FACENE – João Pessoa, 2024. 22f.; il.
MINISTÉRIO DO DESENVOLVIMENTO AGRÁRIO E AGRICULTURA FAMILIAR. Safra 2024/25 de cana-de-açúcar encerra com produção estimada em 676,96 milhões de toneladas. Disponível em: <https://www.gov.br/conab/pt-br/assuntos/noticias/safra-2024-25-de-cana-de-acucar-encerra-com-producao-estimada-em-676-96-milhoes-de-toneladas>. Acesso em: 03 de Maio de 2025.
MINISTÉRIO DO MEIO AMBIENTE. Sustentabilidade e Meio Ambiente. Disponível em: <http://www.mma.gov.br/cidades-sustentaveis/urbanismo-sustentavel/constru%C3%A7%C3%A3o-sustent%C3%A1vel>. Acesso em: 09 de Abril de 2025.
O que é desvio padrão? Disponível em: http://www.ipea.gov.br/desafios/index.php?option=com_content&view=article&id=2104:catid=28&Itemid=23. Acessado em 16 de Maio de 2025.
OLIVEIRA, J. R. S. Produção de Cana de Açúcar no Brejo Paraibano para Produção de Cachaça. Congresso Técnico Científico da Engenharia e da Agronomia CONTECC Palmas/TO 17 a 19 de setembro de 2019.
PAIXÃO, M. C. S.; FONSECA, M. B. da. A produção de etanol de cana no Estado da Paraíba: alternativas de sustentabilidade. Revista Desenvolvimento e Meio Ambiente, n. 24, p. 171-184, jul./dez. 2011. Editora UFPR.
SALES, A. et al. Análise da redução de consumo do cimento em pavers fabricados com cinza do bagaço de cana de açúcar em substituição a do agregado miúdo. Anais Eletrônico. IX EPCC – Encontro Internacional de Produção Científica UniCesumar Nov. 2015, n. 9, p.4-8
SALGADO, J. C. P. Técnicas e Práticas Construtivas para Edificação. 3ª ed. – São Paulo: Érica, 2014.
SILVEIRA, D. A. Influência da Substituição Parcial do Cimento Portland pela Cinza do Bagaço de Cana-de-Açúcar (CBC) Residual no Concreto. Dissertação (Mestrado). Escola de Engenharia Civil da Universidade Federal de Goiás – UFGO. Goiânia – 2010. xv, 109 f. : il., tabs.
SINDICATO NACIONAL DA INDÚSTRIA DO CIMENTO. Consumo aparente do cimento no Brasil. Relatório Anual. Jaguaré – São Paulo – SP. 16p. 2023. Disponível em: <http://snic.org.br/numeros-relatorio-anual.php/>. Acesso em: 01 de Maio de 2025.
SOLON, A. S. Análise matemática para determinação de modelo para elevar o teor alcoólico de etanol da cana-de-açúcar. (Tese de Doutorado) – Universidade Federal de Uberlândia – Programa de Pós-Graduação de Biocombustíveis. Ano 2017. 93 f. : il.
SOUTO, J. M. F. Avaliação de desempenho da cinza do bagaço de cana-de-açúcar na produção de concreto. Dissertação (mestrado) – Universidade Estadual de Maringá – Programa de Pós-Graduação em Engenharia Urbana – Paraná, Maringá, 2010. 105 f. : il.
VENCESLAU, B. H. Diversificação das Aplicações do Bagaço de Cana de Açúcar. Monografia (Graduação) UFPB/CTRD – João Pessoa, 2018. 40 f.: il.
WANDERLEY, B. Paraíba é o segundo maior produtor de etanol do NE. Jornal A União, 24 de julho de 2024. Disponível em: <https://auniao.pb.gov.br/noticias/economia/paraiba-e-segundo-maior-produtordeetanoldone#:~:text=Em%20rela%C3%A7%C3%A3o%20%C3%A0%20gera%C3%A7%C3%A3o%20de,setor%20opera%20em%20ciclos%20safristas>. Acesso em: 03 de Maio de 2025.
