APPROXIMATE ANALYTICAL SOLUTION FOR THE OPTIMAL CLEANING SCHEDULE OF PHOTOVOLTAIC SYSTEMS DURING DRY SEASONS
REGISTRO DOI: 10.69849/revistaft/ra10202602271438
Emily Luana Vieira da Silva1
Rafael Paraguassú Marcelino Pereira da Silva2
Ligia Silvéria Vieira da Silva3
Raian Sander Freitas da Silva4
José Diogo Forte de Oliveira Luna5
Resumo
O acúmulo de poeira em painéis fotovoltaicos representa um desafio para a eficiência energética em sistemas de geração solar, especialmente em períodos de estiagem. A determinação do intervalo de limpeza ideal é um problema de otimização econômica que equilibra os custos de manutenção com a receita perdida pela subgeração. Enquanto os trabalhos existentes na literatura fundamentam-se em modelos empíricos baseados em dados, este trabalho utiliza o modelo fenomenológico de Dahham et al. (2023), que descreve a dinâmica da cobertura de poeira a partir de um balanço de forças físicas. O objetivo principal é propor uma solução analítica aproximada para o cálculo do período ótimo de limpeza, eliminando a necessidade de métodos numéricos iterativos. Através de uma simplificação matemática fundamentada no regime de acúmulo inicial, desenvolveu-se uma formulação direta que depende de variáveis meteorológicas e parâmetros de custo. Os resultados para o estudo de caso simulado demonstram que a solução analítica proposta apresenta uma precisão adequada, com um desvio de apenas 0,13% em relação ao ótimo global obtido numericamente. Conclui-se que o método oferece uma diretriz prática e fisicamente embasada para a operação de sistemas fotovoltaicos, sendo particularmente útil para o planejamento preventivo em climas com períodos secos definidos.
Palavras-chave: Energia solar fotovoltaica. Sujidade. Otimização.
Abstract
Dust deposition on photovoltaic panels represents a challenge for energy efficiency in solar generation systems, particularly during dry seasons. Determining the optimal cleaning interval is an economic optimization problem that balances maintenance costs against the revenue lost due to undergeneration. While existing literature is primarily based on data-driven empirical models, this work employs the phenomenological model by Dahham et al. (2023), which describes dust coverage dynamics through a physical force balance. The objective is to propose an approximate analytical solution for calculating the optimal cleaning period, eliminating the need for iterative numerical methods. Through a mathematical simplification grounded in the initial accumulation regime, a direct formulation was developed, depending on meteorological variables and cost parameters. Results for the simulated case study demonstrate that the proposed analytical solution exhibits acceptable accuracy, with a deviation of only 0.13% compared to the numerically obtained global optimum. It is concluded that the method offers a practical and physically-based guideline for the operation of photovoltaic systems, being particularly useful for preventive planning in climates with defined dry periods.
Keywords: Solar photovoltaic energy. Soiling. Optimization.
1 INTRODUÇÃO
A expansão da matriz fotovoltaica global trouxe consigo o desafio de manter a eficiência operacional diante de variáveis ambientais adversas. Entre essas variáveis, o acúmulo de poeira e partículas sobre a superfície dos módulos, descrito como sujidade, destaca-se como um dos principais fatores de perda de rendimento (KALDELLIS; KAPSALI, 2011). A deposição de partículas cria uma barreira que reduz a transmitância do vidro, podendo degradar a performance do sistema em taxas severas durante períodos sem precipitação (GUO et al., 2015; SAYYAH; HORENSTEIN; MAZUMDER, 2014).
A mitigação dessas perdas ocorre majoritariamente por meio de intervenções de limpeza. No entanto, a definição da periodicidade dessas ações impõe um dilema econômico: se a frequência de limpeza for excessivamente alta, os custos operacionais de mão de obra e água superam o ganho marginal de energia; por outro lado, uma frequência muito baixa resulta em desperdício de receita devido à subgeração dos painéis (JONES et al., 2016; SHAH et al., 2020). Autores como Mohamed et al. (2020) e Micheli et al. (2020) ressaltam que a otimização desse intervalo é fundamental para a viabilidade financeira de usinas de larga escala.
Grande parte da literatura atual fundamenta suas estratégias de manutenção em modelos baseados em dados ou curvas empíricas (NAEEM; TAMIZHMANI, 2014; YAZDANI; YAGHOUBI, 2022). Embora eficazes, esses modelos carecem de generalização física, pois dependem de medições experimentais prévias para cada cenário. Em contrapartida, o trabalho de Dahham et al. (2023) introduziu um modelo fenomenológico que descreve a evolução da cobertura de poeira a partir de um balanço dinâmico de forças (gravidade, arraste aerodinâmico e forças de adesão). Apesar de sua precisão, a natureza não linear das equações resultantes tipicamente exige o uso de métodos numéricos computacionalmente intensivos para a determinação do ponto ótimo de limpeza.
O objetivo deste trabalho é encontrar uma solução analítica aproximada para o problema do período ótimo de limpeza dos painéis solares durante o período de estiagem, baseando-se no modelo dinâmico de Dahham et al. (2023). A principal contribuição reside em dispensar o uso de algoritmos numéricos iterativos por meio de uma simplificação matemática fundamentada em pressupostos razoáveis, permitindo que operadores e projetistas estimem o intervalo de manutenção ideal de forma direta e rápida, mantendo a fundamentação física do fenômeno.
Este artigo está organizado da seguinte forma: a Seção 2 apresenta a fundamentação teórica e a modelagem de acúmulo de poeira; a Seção 3 descreve o desenvolvimento da solução analítica proposta e as aproximações utilizadas; a Seção 4 apresenta os resultados obtidos e a validação frente a modelos numéricos; e, por fim, a Seção 5 apresenta as conclusões e sugestões para trabalhos futuros.
2 REVISÃO DA LITERATURA E FUNDAMENTAÇÃO TÉORICA
O impacto da sujidade na eficiência de sistemas fotovoltaicos tem sido objeto de investigação, evoluindo de observações experimentais para modelagens físicas e econômicas. No início da década passada, trabalhos como o de Kaldellis e Kapsali (2011) consolidaram a compreensão experimental das perdas energéticas, quantificando como diferentes tipos de partículas reduzem a transmitância óptica dos módulos. Essa base experimental permitiu o surgimento de modelos de simulação, como o proposto por Guo et al. (2015), que correlacionou dados meteorológicos de longo prazo no Qatar com a degradação sistemática da performance. Sayyah, Horenstein e Mazumder (2014) oferecem uma base teórica sobre as perdas de rendimento energético, enfatizando que a deposição de poeira em sistemas de painéis fixos exige estratégias de mitigação baseadas no custo-benefício local.
Alguns trabalhos abordam o problema utilizando modelos fenomenológicos ao invés de modelos experimentais. Lu e Hajimirza (2017) introduziram modelagens focadas na força da gravidade como agente de autolimpeza, otimizando ângulos de rastreamento solar para favorecer a queda natural da poeira. Essa abordagem mecânica foi aprimorada por Dahham et al. (2023), que detalharam o balanço de forças microscópicas e macroscópicas, incluindo forças de Van der Waals, eletrostáticas e de arrasto aerodinâmico, para prever a fração de cobertura de poeira sob a influência do vento e da inclinação.
Estudos recentes também exploraram as propriedades ópticas e espectrais da camada de poeira. Konyu et al. (2020) demonstraram que a sujeira não obstrui a luz de forma uniforme, causando uma atenuação seletiva que impacta diferentemente as tecnologias de células solares conforme o espectro de absorção. Complementando a análise técnica, Kazem et al. (2020) forneceram uma revisão crítica sobre os métodos de limpeza disponíveis, contrastando a eficácia de sistemas manuais frente a soluções automatizadas e eletrostáticas. No âmbito do controle automático, Hamid et al. (2021) discutiram como a variação da carga e do sombreamento parcial induzido pela poeira exige técnicas avançadas de controle de tensão para manter a estabilidade do sistema.
A necessidade de gerenciar essas perdas sob uma ótica financeira levou ao desenvolvimento de modelos de otimização de manutenção. Nesse contexto, o trabalho de Jones et al. (2016) destaca-se ao propor um modelo econômico-matemático para determinar o cronograma de limpeza ideal. Ao analisar plantas na Arábia Saudita, os autores demonstraram que o intervalo de limpeza ótimo é aquele que minimiza a soma do custo do serviço de limpeza com o custo de oportunidade da energia não gerada, utilizando um modelo exponencial para a evolução da degradação. Paralelamente, Al-Waeli et al. (2017) expandiram essa visão ao revisar como o acúmulo de poeira interage com o gerenciamento térmico dos painéis, influenciando não apenas a geração imediata, mas a vida útil dos sistemas solares.
Na literatura recente, diversos autores têm explorado essa otimização da frequência de limpeza sob diferentes prismas climáticos e tecnológicos. Por exemplo, em ambientes de clima árido e desértico, Shah et al. (2020) demonstraram que a frequência de limpeza impacta drasticamente as perdas de potência, sugerindo que intervalos otimizados são cruciais para a viabilidade econômica de plantas nos Emirados Árabes Unidos. Complementarmente, Mohamed et al. (2020) aplicaram algoritmos de otimização para identificar o ponto exato onde o acúmulo de poeira torna a intervenção de limpeza financeiramente imperativa, reforçando a natureza dinâmica dessa decisão, utilizando modelos baseados em dados e testando descrições baseadas em equações polinomiais e exponenciais.
A complexidade desta otimização é ampliada quando se considera a degradação natural dos módulos. Micheli et al. (2020) introduziram uma análise que integra os padrões de taxa de degradação ao cálculo da frequência de limpeza, argumentando que a eficácia da manutenção diminui ao longo do tempo devido ao envelhecimento do hardware. No âmbito regional, Yazdani e Yaghoubi (2022) utilizaram uma abordagem combinada experimental-numérica em ambiente semiárido para refinar a precisão das previsões de perda de potência , enquanto Naeem e TamizhMani (2014) concluíram que, em certas condições de inclinação no Arizona, a limpeza frequente pode não ser economicamente justificável devido à baixa taxa de deposição diária e aos custos operacionais. Mais recentemente, Kaiss e Hassan (2024) avançaram na generalização desses modelos através de análises numéricas que incorporam condições meteorológicas variáveis para maximizar o ganho de potência líquido.
Diferente do modelo fenomenológico visto em Lu e Hajimirza (2017) e Dahham et al. (2023), que se baseia na descrição de fenômenos mecânicos para prever a evolução da sujidade a partir de princípios fundamentais, a maioria dos trabalhos citados, como os de Jones et al. (2016), Yazdani e Yaghoubi (2022) e Naeem e TamizhMani (2014), utiliza modelos baseados em dados ou empíricos. Nesses casos, a taxa de acúmulo é extraída de observações experimentais e ajustada a curvas (frequentemente lineares ou exponenciais simples) para alimentar a lógica de otimização de custos.
2.1 Modelagem do acúmulo de poeira
A modelagem do acúmulo de poeira em painéis fotovoltaicos, adotada aqui, foi proposta por Dahham et al. (2023) e baseia-se na análise de partículas de poeira em uma superfície inclinada. O modelo assume que a poeira se acumula em forma de monocamada, uma vez que a instabilidade das camadas superiores impede a formação de multicamadas estáveis. A adesão inicial e a permanência das partículas são governadas por um balanço entre forças macroscópicas (gravidade e vento) e forças microscópicas de interação superfície-partícula (Van der Waals e eletrostática).
Inicialmente, considera-se uma partícula em repouso sobre o painel com um ângulo de inclinação . A força da gravidade (mg) é decomposta em dois componentes fundamentais: a força de deslizamento Fs, paralela à superfície, que atua no sentido de remover a partícula por gravidade; e a força ortogonal, que atua no sentido de aderir a partícula ao painel. Somam-se a este componente ortogonal as forças de Van der Waals Fv e eletrostáticas Fe, resultando na força de retenção FR, conforme ilustrado na Figura 1.

Figura 1: Partícula de poeira em um painel fotovoltaico inclinado sob ação da força da gravidade.
O autor também considera os efeitos do vento, que causa que as partículas fiquem sujeitas a forças de arrasto Fd e sustentação Fl, que dependem da velocidade de fricção da superfície vsCww, onde w é a velocidade do vento e Cw é um coeficiente de transferência de momento. O modelo de Dahham et al. (2023) estabelece ainda que a remoção ou deposição depende do diâmetro da partícula d: partículas grandes tendem a deslizar, enquanto partículas finas podem entrar em suspensão devido à força de sustentação.
A integração de todas as influências resulta em expressões para as forças resultantes paralela e ortogonal à superfície do painel. A força de deslizamento, responsável pela remoção, é definida pela Equação (1):

onde kl e kd são os coeficientes de sustentação e arrasto, respectivamente. Simultaneamente, a força de retenção, que mantém a poeira aderida, é descrita pela Equação (2), incluindo as interações eletrostáticas detalhadas:

Nesta formulação, as forças de Van der Waals são modeladas em função da constante de Lifshitz hw e da distância média entre a partícula e a superfície z0. O balanço entre FS e FR determina a taxa de variação temporal da fração de cobertura de poeira , permitindo a estimativa da degradação de performance do sistema ao longo do tempo, a qual será utilizada na próxima seção.
3 METODOLOGIA
Considere a dinâmica da fração de superfície coberta por poeira (Dahham, 2023):

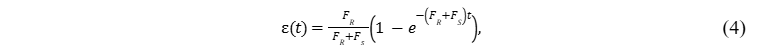
onde é a fração de cobertura. FR e FS são assumidos constantes, implicando o uso de A solução para ε(t) partindo de um painel limpo 0=0 e considerando que a força de retenção e de escorregamento sejam constantes, é:

de modo que em regime permanente, a fração de cobertura é dada por 0=FR/(FR+Fs).
Assumindo uma cobertura uniforme no sistema fotovoltaico, a potência gerada em um dado instante é:

onde P é a potência, 0 é a eficiência elétrica do módulo, é um coeficiente de degradação ligado ao índice de transmissão da camada de poeira, A é a área do sistema fotovoltaico e I a irradiância. A perda de potência em relação a um painel perfeitamente limpo pode ser dada por:

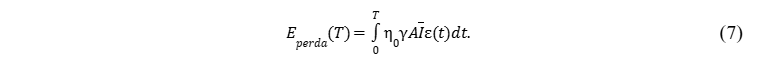
Por sua vez, a energia pedida no intervalo T entre duas limpezas pode ser computada integrando a equação 6:

Como o intervalo entre limpezas usualmente está na escala de dias, a irradiância é substituída pela irradiância média diária I. Adicionalmente, considerando que o intervalo entre limpeza seja pequeno o suficiente para manter a fração de cobertura pequena (ε≈0), a equação (3) é dominada pela força de retenção, conforme ilustrado na Figura 2:

de modo que a evolução da fração de cobertura pode ser aproximada por uma resposta de um integrador de primeira ordem:


Figura 2: Comparação entre a solução exata e a aproximada da equação diferencial, ilustrando sua validade para valores pequenos de cobertura de poeira.
Assim, a equação (7) se torna:

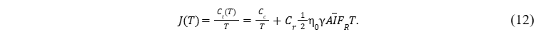
O custo total Ct de operação do sistema no período T será dado pelo custo da limpeza Cc no início do período somada com o custo de energia não gerada pelo sistema solar por conta da sujidade acumulada nos painéis que terá de ser suprida por energia comprada da distribuidora:

onde Cr é o custo de compra de energia da concessionária, aqui assumido como uma tarifa constante. O custo por unidade de tempo J(T) pode ser calculado, então:

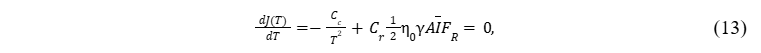
Para encontrar o período T que minimiza o custo de operação, deriva-se J igualando a zero:

isolando o período ao quadrado e extraindo a raiz de ambos os lados:

Sendo T* o período ótimo de limpeza, o qual, notadamente, é inversamente proporcional à raiz quadrada da força de retenção, portanto, a medida em quem FR aumenta, o período diminui, exigindo limpezas mais frequentes.
É importante notar que, embora a solução analítica proposta ofereça agilidade e baixo custo computacional para a gestão de manutenção, sua validade é restrita ao regime de acúmulo inicial com frações de cobertura reduzidas, onde a aproximação linear é representativa da dinâmica fenomenológica. Além disso, diferente de abordagens baseadas em dados que integram sazonalidade e autolimpeza por chuva via regressões empíricas, este modelo foca exclusivamente na deposição seca e simplifica variáveis meteorológicas estocásticas por meio de médias diárias.
4 RESULTADOS E DISCUSSÕES

Tabela 1 – Parâmetros utilizados para o exemplo numérico e simulações, baseados nos valores adotados em Dahham et al. (2023).

Aplicando a Equação (14) para este caso, obtém-se um período ótimo de limpeza T*= 126 dias. O sistema pode ser simulado numericamente com esta política de limpeza, resolvendo a equação diferencial com integração numérica. Adotou-se um passo de integração de 600 segundos num período de 365 dias. Para o cenário de simulação, adotou-se um perfil ideal de irradiância, sem a interferência de nuvens ou sombreamento sobre o sistema fotovoltaico. O resultado pode ser visto na Figura 3, onde a fração de cobertura de poeira do módulo cresce até o momento da limpeza. Nota-se, também, a degradação a potência gerada por conta da sujidade acumulada, no dia anterior a limpeza, a fração de cobertura atinge 18,53% e o sistema gera 48,06 kWp, contra os 50,0 kWp que seriam esperados para o sistema limpo.

Figura 3: Topo: curva da evolução da cobertura de poeira no sistema ao longo do ano. Baixo: geração diária de energia do sistema comparada com o valor a ser gerado pelo sistema limpo.
Para avaliar o grau de conservadorismo associado à aproximação adotada na solução analítica proposta, realizou-se um método numérico para encontrar, por busca, o mínimo global, que indica uma limpeza periódica a cada 137 dias, um período mais longo que os 126 calculados com o uso da aproximação. Na Figura 4, apresenta-se o custo médio anual médio, considerando o custo de limpeza mais a energia comprada para suprir a geração perdida, considerando um cenário simulado de 10 anos, comparando, além das duas políticas mencionadas, o custo de limpeza com periodicidade de 30, 45, 60, 90, 150, 180 e 250 dias. Neste cenário, a limpeza com periodicidade de 126 dias, calculada utilizando a aproximação, resulta em um custo médio anual de 7626,67 u.m., enquanto a condução da limpeza a cada 137 dias resulta num custo médio anual de 7616,70 u.m., uma diferença de 9,97 u.m., que percentualmente representa uma custo de apenas 0,13% subótimo.

Figura 4: Custo médio anual para diferentes políticas de limpeza.
O período mais curto, obtido pela aproximação, é justificado pelo modelo simplificado assumir um crescimento da fração de cobertura de poeira com uma velocidade constante ao longo do intervalo de tempo, enquanto a solução exata mostra uma desaceleração a medida que a superfície vai sendo saturada, até alcançar o equilíbrio em ε=0, conforme ilustrado anteriormente na Figura 2. Isto faz com que a solução aproximada proposta seja mais conservadora, indicando uma frequência maior do que a frequência ótima. Todavia, o resultado ilustrativo mostrou que, mesmo para um cenário onde o período é superior a quatro meses, afastando-se do pressuposto de uma baixa cobertura de sujidade no sistema, a estratégia proposta encontrou uma solução com um erro de apenas 7,72% do ótimo obtido numericamente.
5 CONSIDERAÇÕES FINAIS
Este trabalho apresentou uma solução analítica aproximada para a determinação do período ótimo de limpeza de painéis fotovoltaicos, fundamentada no modelo dinâmico e fenomenológico de Dahham et al. (2023). O objetivo de fornecer uma alternativa aos métodos numéricos computacionalmente intensivos foi atingido, demonstrando que é possível obter estimativas de manutenção precisas por meio de uma formulação simplificada, equilibrando o custo de limpeza e perdas por subgeração. A aplicabilidade do método foi corroborada pelos resultados do exemplo numérico, onde a solução aproximada apresentou um desvio de apenas 0,13% em relação ao ótimo global, mesmo para um intervalo de limpeza superior a quatro meses. Tal resultado, embora anedótico, reforça o valor prático da ferramenta.
Contudo, o estudo apresenta limitações que delimitam seu escopo de aplicação. A formulação proposta assume uma cobertura de poeira uniforme em todo o sistema e ignora os efeitos espectrais da sujeira nos diferentes comprimentos de onda. Embora a restrição da uniformidade possa ser contornada pela adoção de valores médios ou pela segmentação do sistema em diferentes regiões, a ausência do efeito de precipitação restringe o uso do modelo analítico ao período de estiagem. No contexto de climas com efeitos marcantes de precipitação, o modelo não contempla a lavagem natural nem a incrustação de lama decorrente das chuvas, fenômenos que alteram a dinâmica da sujidade.
Deste modo, as contribuições teóricas e práticas aqui estabelecidas servem como base para trabalhos futuros, nos quais se pode abordar a inclusão do efeito da chuva no modelo dinâmico. A integração de parâmetros de precipitação permitirá a evolução para uma formulação híbrida, capaz de cobrir tanto os períodos secos quanto os chuvosos, garantindo uma ferramenta de otimização de manutenção válida para o ciclo anual completo de operação das plantas fotovoltaicas.
REFERÊNCIAS
AL-WAELI, A. H. A. et al. Photovoltaic/Thermal (PV/T) systems: Status and future prospects. Renewable and Sustainable Energy Reviews, v. 77, p. 109-130, 2017.
DAHHAM, I. A. et al. Modeling the Effect of Dust and Wind Speed on Solar Panel Performance in Iraq. Energies, v. 16, n. 17, 6397, 2023.
GUO, B. et al. Effect of dust and weather conditions on photovoltaic performance in Doha, Qatar. In: First Workshop on Smart Grid and Renewable Energy (SGRE). Doha: IEEE, 2015. p. 1-6.
HAMID, N. F. A. et al. Self-Charging Technique for DC-Link Capacitor Voltage Control: A Review. In: International Conference on Electrical Engineering and Informatics (ICEEI). Terengganu: IEEE, 2021. p. 1-6.
JONES, R. K. et al. Optimized Cleaning Cost and Schedule Based on Observed Soiling Conditions for Photovoltaic Plants in Central Saudi Arabia. IEEE Journal of Photovoltaics, v. 6, n. 3, p. 730-738, 2016.
KAISS, E. A.; HASSAN, N. M. Optimizing the cleaning frequency of solar photovoltaic (PV) systems using numerical analysis and empirical models. Renewable Energy, v. 228, 120691, 2024.
KALDELLIS, J. K.; KAPSALI, M. Simulating the dust effect on the energy performance of photovoltaic generators based on experimental measurements. Energy, v. 36, n. 8, p. 5154-5161, 2011.
KAZEM, H. A. et al. A review of dust accumulation and cleaning methods for solar photovoltaic systems. Journal of Cleaner Production, v. 276, 123187, 2020.
KONYU, M. et al. Effect of dust on the solar spectrum and electricity generation of a photovoltaic module. IET Renewable Power Generation, v. 14, n. 14, p. 2759-2764, 2020.
LU, J.; HAJIMIRZA, S. Optimizing sun-tracking angle for higher irradiance collection of PV panels using a particle-based dust accumulation model with gravity effect. Solar Energy, v. 158, p. 71-82, 2017.
MICHELI, L. et al. Photovoltaic cleaning frequency optimization under different degradation rate patterns. Renewable Energy, v. 166, p. 136-146, 2020.
MOHAMED, M. et al. Optimization of cleaning frequency and dust accumulation effect on photovoltaic panels. Journal of Interdisciplinary Mathematics, v. 23, n. 1, p. 53-68, 2020.
NAEEM, M.; TAMIZHMANI, G. Cleaning Frequency Optimization for Soiled Photovoltaic Modules. Mesa: Arizona State University Photovoltaic Reliability Laboratory (ASU-PRL), 2014.
SAYYAH, A.; HORENSTEIN, M. N.; MAZUMDER, M. K. Energy yield loss caused by dust deposition on photovoltaic panels. Solar Energy, v. 107, p. 576-604, 2014.
SHAH, A. H. et al. The Influence of Cleaning Frequency of Photovoltaic Modules on Power Losses in the Desert Climate. Sustainability, v. 12, n. 23, 9750, 2020.
YAZDANI, H.; YAGHOUBI, M. Dust deposition effect on photovoltaic modules performance and optimization of cleaning period: A combined experimental-numerical study. Sustainable Energy Technologies and Assessments, v. 51, 101946, 2022.
1Discente do Curso Superior de Engenharia Química do Instituto Federal de Rondônia Campus Porto Velho Calama, e-mail: emilyluana498@gmail.com.
2Discente do Curso Técnico em Eletrotécnica do Instituto Federal de Rondônia Campus Porto Velho Calama, e-mail: raizaparaguassumarcelino@gmail.com.
3Coordenação do Curso Técnico em Eletrotécnica, Instituto Federal de Rondônia Campus Porto Velho Calama, e-mail: ligia.silva@ifro.edu.br.
4Coordenação do Curso Técnico em Eletrotécnica, Instituto Federal de Rondônia Campus Porto Velho Calama, e-mail: raian.silva@ifro.edu.br
5Coordenação de Engenharia de Controle e Automação, Instituto Federal de Rondônia Campus Porto Velho Calama, e-mail: jose.luna@ifro.edu.br
Este trabalho foi financiado pelo Instituto Federal de Rondônia (IFRO) pelo EDITAL Nº 7/2024/REIT/PROPESP/IFRO.
